Suppr超能文献

扩散受限混合的电特征:来自微流体示踪实验的见解。

Electrical Signatures of Diffusion-Limited Mixing: Insights from a Milli-fluidic Tracer Experiment.

作者信息

Fernandez Visentini Alejandro, de Anna Pietro, Jougnot Damien, Le Borgne Tanguy, Méheust Yves, Linde Niklas

机构信息

Institute of Earth Sciences, University of Lausanne, CH-1015 Lausanne, Switzerland.

Sorbonne Université, CNRS, EPHE, UMR 7619 METIS, Paris, France.

出版信息

Transp Porous Media. 2023;146(1-2):435-461. doi: 10.1007/s11242-021-01607-0. Epub 2021 May 24.

Abstract

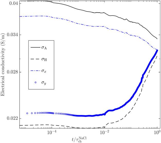
We investigate how diffusion-limited mixing of a layered solute concentration distribution within a porous medium impacts bulk electrical conductivity. To do so, we perform a milli-fluidic tracer test by injecting a fluorescent and electrically conductive tracer in a quasi two-dimensional (2D) water-saturated porous medium. High resolution optical- and geoelectrical monitoring of the tracer is achieved by using a fluorimetry technique and equipping the flow cell with a resistivity meter, respectively. We find that optical and geoelectrical outputs can be related by a temporal re-scaling that accounts for the different diffusion rates of the optical and electrical tracers. Mixing-driven perturbations of the electrical equipotential field lines cause apparent electrical conductivity time-series, measured perpendicularly to the layering, to peak at times that are in agreement with the diffusion transport time-scale associated with the layer width. Numerical simulations highlight high sensitivity of such electrical data to the layers' degree of mixing and their distance to the injection electrodes. Furthermore, the electrical data correlate well with time-series of two commonly used solute mixing descriptors: the concentration variance and the scalar dissipation rate.

摘要

我们研究了多孔介质中分层溶质浓度分布的扩散受限混合如何影响整体电导率。为此,我们通过在准二维(2D)水饱和多孔介质中注入荧光和导电示踪剂来进行微流体示踪剂测试。分别使用荧光测定技术和在流动池中配备电阻率仪,实现了对示踪剂的高分辨率光学和地电监测。我们发现,光学和地电输出可以通过时间重新缩放来关联,该缩放考虑了光学和电示踪剂的不同扩散速率。混合驱动的等电位场线扰动导致垂直于分层测量的表观电导率时间序列在与层宽度相关的扩散传输时间尺度一致的时间达到峰值。数值模拟突出了此类电数据对层的混合程度及其与注入电极距离的高度敏感性。此外,电数据与两个常用溶质混合描述符的时间序列密切相关:浓度方差和标量耗散率。

https://cdn.ncbi.nlm.nih.gov/pmc/blobs/82c7/9849185/cb93050dcf3e/11242_2021_1607_Fig1_HTML.jpg

文献AI研究员

20分钟写一篇综述,助力文献阅读效率提升50倍。

立即体验

用中文搜PubMed

大模型驱动的PubMed中文搜索引擎

马上搜索

文档翻译

学术文献翻译模型,支持多种主流文档格式。

立即体验