• 文献检索
  • 文档翻译
  • 深度研究
  • 学术资讯
  • Suppr Zotero 插件Zotero 插件
  • 邀请有礼
  • 套餐&价格
  • 历史记录
应用&插件
Suppr Zotero 插件Zotero 插件浏览器插件Mac 客户端Windows 客户端微信小程序
定价
高级版会员购买积分包购买API积分包
服务
文献检索文档翻译深度研究API 文档MCP 服务
关于我们
关于 Suppr公司介绍联系我们用户协议隐私条款
关注我们

Suppr 超能文献

核心技术专利:CN118964589B侵权必究
粤ICP备2023148730 号-1Suppr @ 2026

文献检索

告别复杂PubMed语法,用中文像聊天一样搜索,搜遍4000万医学文献。AI智能推荐,让科研检索更轻松。

立即免费搜索

文件翻译

保留排版,准确专业,支持PDF/Word/PPT等文件格式,支持 12+语言互译。

免费翻译文档

深度研究

AI帮你快速写综述,25分钟生成高质量综述,智能提取关键信息,辅助科研写作。

立即免费体验

范可尼贫血互补组E的预后和免疫作用的泛癌分析

Pan-cancer analysis of the prognostic and immunological role of Fanconi anemia complementation group E.

作者信息

Zhou Zhixian, Yin Huan, Suye Suye, He Jiarong, Fu Chun

机构信息

Department of Obstetrics and Gynecology, Second Xiangya Hospital, Central South University, Changsha, China.

Department of Neurosurgery, Second Xiangya Hospital, Central South University, Changsha, China.

出版信息

Front Genet. 2023 Jan 4;13:1024989. doi: 10.3389/fgene.2022.1024989. eCollection 2022.

DOI:10.3389/fgene.2022.1024989
PMID:36685883
原文链接:https://pmc.ncbi.nlm.nih.gov/articles/PMC9846156/
Abstract

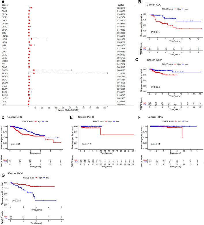
Fanconi anemia (FA) genes contribute to tumorigenesis by regulating DNA repair. Despite its importance for assembly and functionality of the FA core complex, no pan-cancer analysis of was performed. We aimed to provide a comprehensive understanding of the role of in cancers. Based on The Cancer Genome Atlas (TCGA), Cancer Cell Line Encyclopedia (CCLE), Genotype Tissue-Expression (GTEx), Human Protein Atlas (HPA), Gene Expression Omnibus (GEO), and Cancer Single-cell Atlas (CancerSEA) databases, we investigated the carcinogenicity of using various bioinformatics methods, including expression and prognosis, immune invasion, tumor mutation burden, microsatellite instability, and neoantigens. We monitored mutations in mice that caused tumorigenesis. expression and activity scores were upregulated in 15 and 21 cancers. High expression of affected shorter overall survival (OS) in seven cancers and longer overall survival in three cancers. It was correlated with shorter overall survival and progression-free interval (PFI) in endometrial cancer and longer overall survival and PFI in cervical cancer. expression negatively correlated with stromal/immune scores in 21 cancers including cervical cancer, endometrial cancer, and ovarian cancer. expression negatively correlated with CD8 T cells in endometrial cancer and positively correlated with M1 macrophages in cervical cancer, possibly related to cancer prognosis. positively correlated with immune checkpoint inhibitors PD-1, PD-L1, and CTLA4 in endometrial cancer and ovarian cancer. expression positively correlated with microsatellite instability, tumor mutational burden, and neoantigens in 7, 22, and five cancers, especially in endometrial cancer, potentially increasing the effectiveness of immunotherapy. Single-cell sequencing data showed was primarily expressed in cancer cells in cervical and ovarian cancer, and in fibroblasts in endometrial cancer. heterozygous mutant mice had increased tumor incidences and shorter overall survival and tumor-free survival (TFS) than homozygous mutant mice and wild-type mice. Conclusively, potential to serve as a biomarker for cancer prognosis and may predict cancer immunotherapy responses. heterozygous mutant resulted in increased tumorigenesis and poor prognosis in mice.

摘要

范可尼贫血(FA)基因通过调节DNA修复促进肿瘤发生。尽管其对FA核心复合物的组装和功能很重要,但尚未对其进行泛癌分析。我们旨在全面了解其在癌症中的作用。基于癌症基因组图谱(TCGA)、癌细胞系百科全书(CCLE)、基因型组织表达(GTEx)、人类蛋白质图谱(HPA)、基因表达综合数据库(GEO)和癌症单细胞图谱(CancerSEA)数据库,我们使用多种生物信息学方法研究了其致癌性,包括其表达和预后、免疫浸润、肿瘤突变负担、微卫星不稳定性和新抗原。我们监测了导致肿瘤发生的小鼠中的突变。在15种和21种癌症中表达和活性评分上调。其高表达在7种癌症中影响较短的总生存期(OS),在3种癌症中影响较长的总生存期。它与子宫内膜癌较短的总生存期和无进展生存期(PFI)相关,与宫颈癌较长的总生存期和PFI相关。在包括宫颈癌、子宫内膜癌和卵巢癌在内的21种癌症中,其表达与基质/免疫评分呈负相关。在子宫内膜癌中,其表达与CD8 T细胞呈负相关,在宫颈癌中与M1巨噬细胞呈正相关,这可能与癌症预后有关。在子宫内膜癌和卵巢癌中,其与免疫检查点抑制剂PD-1、PD-L1和CTLA4呈正相关。在7种、22种和5种癌症中,尤其是在子宫内膜癌中,其表达与微卫星不稳定性、肿瘤突变负担和新抗原呈正相关,这可能会提高免疫治疗的有效性。单细胞测序数据显示,在宫颈癌和卵巢癌中主要在癌细胞中表达,在子宫内膜癌中在成纤维细胞中表达。杂合突变小鼠比纯合突变小鼠和野生型小鼠具有更高的肿瘤发生率、更短的总生存期和无瘤生存期(TFS)。总之,有潜力作为癌症预后的生物标志物,并可能预测癌症免疫治疗反应。杂合突变导致小鼠肿瘤发生增加和预后不良。

https://cdn.ncbi.nlm.nih.gov/pmc/blobs/4860/9846156/9f52860204b3/fgene-13-1024989-g013.jpg
https://cdn.ncbi.nlm.nih.gov/pmc/blobs/4860/9846156/96c11cfba21c/fgene-13-1024989-g001.jpg
https://cdn.ncbi.nlm.nih.gov/pmc/blobs/4860/9846156/4df5bd92532a/fgene-13-1024989-g002.jpg
https://cdn.ncbi.nlm.nih.gov/pmc/blobs/4860/9846156/62a95b4ce735/fgene-13-1024989-g003.jpg
https://cdn.ncbi.nlm.nih.gov/pmc/blobs/4860/9846156/73e6d20c55d7/fgene-13-1024989-g004.jpg
https://cdn.ncbi.nlm.nih.gov/pmc/blobs/4860/9846156/fa0d5167ff9a/fgene-13-1024989-g005.jpg
https://cdn.ncbi.nlm.nih.gov/pmc/blobs/4860/9846156/9b9878cc9391/fgene-13-1024989-g006.jpg
https://cdn.ncbi.nlm.nih.gov/pmc/blobs/4860/9846156/3ba1e240efef/fgene-13-1024989-g007.jpg
https://cdn.ncbi.nlm.nih.gov/pmc/blobs/4860/9846156/89ab258c7f8c/fgene-13-1024989-g008.jpg
https://cdn.ncbi.nlm.nih.gov/pmc/blobs/4860/9846156/a11ddfb98f61/fgene-13-1024989-g009.jpg
https://cdn.ncbi.nlm.nih.gov/pmc/blobs/4860/9846156/fc98375bcf27/fgene-13-1024989-g010.jpg
https://cdn.ncbi.nlm.nih.gov/pmc/blobs/4860/9846156/71f1c78ba889/fgene-13-1024989-g011.jpg
https://cdn.ncbi.nlm.nih.gov/pmc/blobs/4860/9846156/51f62885b6cc/fgene-13-1024989-g012.jpg
https://cdn.ncbi.nlm.nih.gov/pmc/blobs/4860/9846156/9f52860204b3/fgene-13-1024989-g013.jpg
https://cdn.ncbi.nlm.nih.gov/pmc/blobs/4860/9846156/96c11cfba21c/fgene-13-1024989-g001.jpg
https://cdn.ncbi.nlm.nih.gov/pmc/blobs/4860/9846156/4df5bd92532a/fgene-13-1024989-g002.jpg
https://cdn.ncbi.nlm.nih.gov/pmc/blobs/4860/9846156/62a95b4ce735/fgene-13-1024989-g003.jpg
https://cdn.ncbi.nlm.nih.gov/pmc/blobs/4860/9846156/73e6d20c55d7/fgene-13-1024989-g004.jpg
https://cdn.ncbi.nlm.nih.gov/pmc/blobs/4860/9846156/fa0d5167ff9a/fgene-13-1024989-g005.jpg
https://cdn.ncbi.nlm.nih.gov/pmc/blobs/4860/9846156/9b9878cc9391/fgene-13-1024989-g006.jpg
https://cdn.ncbi.nlm.nih.gov/pmc/blobs/4860/9846156/3ba1e240efef/fgene-13-1024989-g007.jpg
https://cdn.ncbi.nlm.nih.gov/pmc/blobs/4860/9846156/89ab258c7f8c/fgene-13-1024989-g008.jpg
https://cdn.ncbi.nlm.nih.gov/pmc/blobs/4860/9846156/a11ddfb98f61/fgene-13-1024989-g009.jpg
https://cdn.ncbi.nlm.nih.gov/pmc/blobs/4860/9846156/fc98375bcf27/fgene-13-1024989-g010.jpg
https://cdn.ncbi.nlm.nih.gov/pmc/blobs/4860/9846156/71f1c78ba889/fgene-13-1024989-g011.jpg
https://cdn.ncbi.nlm.nih.gov/pmc/blobs/4860/9846156/51f62885b6cc/fgene-13-1024989-g012.jpg
https://cdn.ncbi.nlm.nih.gov/pmc/blobs/4860/9846156/9f52860204b3/fgene-13-1024989-g013.jpg

相似文献

1
Pan-cancer analysis of the prognostic and immunological role of Fanconi anemia complementation group E.范可尼贫血互补组E的预后和免疫作用的泛癌分析
Front Genet. 2023 Jan 4;13:1024989. doi: 10.3389/fgene.2022.1024989. eCollection 2022.
2
Fanconi Anemia Complementation Group E, a DNA Repair-Related Gene, Is a Potential Marker of Poor Prognosis in Hepatocellular Carcinoma.范可尼贫血互补群 E,一种与 DNA 修复相关的基因,是肝细胞癌不良预后的潜在标志物。
Oncology. 2022;100(2):101-113. doi: 10.1159/000520582. Epub 2021 Nov 1.
3
Identification of SHCBP1 as a potential biomarker involving diagnosis, prognosis, and tumor immune microenvironment across multiple cancers.鉴定SHCBP1作为一种潜在的生物标志物,涉及多种癌症的诊断、预后及肿瘤免疫微环境。
Comput Struct Biotechnol J. 2022 Jun 18;20:3106-3119. doi: 10.1016/j.csbj.2022.06.039. eCollection 2022.
4
The carboxyl terminus of FANCE recruits FANCD2 to the Fanconi Anemia (FA) E3 ligase complex to promote the FA DNA repair pathway.FANCE 的羧基末端将 FANCD2 招募到范可尼贫血症 (FA) E3 连接酶复合物中,以促进 FA DNA 修复途径。
J Biol Chem. 2014 Mar 7;289(10):7003-7010. doi: 10.1074/jbc.M113.533976. Epub 2014 Jan 22.
5
A bioinformatics analysis of the clinicopathological and prognostic significance of mRNA expression in gynecological cancers.mRNA 表达在妇科癌症中的临床病理和预后意义的生物信息学分析。
J Obstet Gynaecol. 2023 Dec;43(1):2216280. doi: 10.1080/01443615.2023.2216280.
6
Analysis of a FANCE Splice Isoform in Regard to DNA Repair.关于DNA修复的FANCE剪接异构体分析
J Mol Biol. 2015 Sep 25;427(19):3056-73. doi: 10.1016/j.jmb.2015.08.004. Epub 2015 Aug 12.
7
Pan-Cancer Analysis Revealed as a New Biomarker for Prognosis and Immunotherapy.泛癌分析显示为一种用于预后和免疫治疗的新生物标志物。
J Oncol. 2022 Jan 12;2022:3477148. doi: 10.1155/2022/3477148. eCollection 2022.
8
Pan-Cancer Analysis Reveals the Multidimensional Expression and Prognostic and Immunologic Roles of in Cancer.泛癌分析揭示了[具体内容未给出]在癌症中的多维表达、预后及免疫作用。
Front Mol Biosci. 2022 Jan 27;8:792154. doi: 10.3389/fmolb.2021.792154. eCollection 2021.
9
Pan-Cancer Analysis of PARP1 Alterations as Biomarkers in the Prediction of Immunotherapeutic Effects and the Association of Its Expression Levels and Immunotherapy Signatures.泛癌分析 PARP1 改变作为预测免疫治疗效果的生物标志物及其表达水平与免疫治疗特征的关联。
Front Immunol. 2021 Aug 31;12:721030. doi: 10.3389/fimmu.2021.721030. eCollection 2021.
10
FANCC, FANCE, and FANCD2 form a ternary complex essential to the integrity of the Fanconi anemia DNA damage response pathway.FANCC、FANCE和FANCD2形成一个三元复合物,这对范可尼贫血DNA损伤反应途径的完整性至关重要。
J Biol Chem. 2005 Oct 28;280(43):36118-25. doi: 10.1074/jbc.M507758200. Epub 2005 Aug 26.

引用本文的文献

1
Potential role of Fanconi anemia pathway in the pathogenesis of endometrial cancer (Review).范可尼贫血通路在子宫内膜癌发病机制中的潜在作用(综述)
Mol Med Rep. 2025 Nov;32(5). doi: 10.3892/mmr.2025.13660. Epub 2025 Aug 24.
2
Integrated analysis of FANCE expression and its regulatory role in the immune microenvironment of oral squamous cell carcinoma.FANCE在口腔鳞状细胞癌免疫微环境中的表达及其调控作用的综合分析
Oncol Lett. 2025 Jan 24;29(3):160. doi: 10.3892/ol.2025.14906. eCollection 2025 Mar.
3
Somatic gene mutations involved in DNA damage response/Fanconi anemia signaling are tissue- and cell-type specific in human solid tumors.

本文引用的文献

1
Influence of sex on survival rates of HPV-positive oropharyngeal cancers.性别对人乳头瘤病毒阳性口咽癌生存率的影响。
Front Oncol. 2022 Aug 10;12:917890. doi: 10.3389/fonc.2022.917890. eCollection 2022.
2
Trends in hospitalization and death rates among patients with head and neck cancer in Spain, 2009 to 2019.西班牙 2009 年至 2019 年头颈部癌症患者住院和死亡率趋势。
Hum Vaccin Immunother. 2022 Nov 30;18(5):2082192. doi: 10.1080/21645515.2022.2082192. Epub 2022 Aug 5.
3
Upregulation of Ferroptosis-Related Fanconi Anemia Group D2 is a Poor Prognostic Factor and an Indicator of Tumor Immune Cell Infiltration in Lung Adenocarcinoma.
参与DNA损伤反应/范可尼贫血信号传导的体细胞基因突变在人类实体瘤中具有组织和细胞类型特异性。
Front Med (Lausanne). 2024 Oct 3;11:1462810. doi: 10.3389/fmed.2024.1462810. eCollection 2024.
4
Treatment of tumor-associated macrophages with PD-1 monoclonal antibodies affects vascular generation in cervical cancer via the PD-1/IRE1α/SHP2/HIF1α signaling pathway.PD-1 单克隆抗体治疗肿瘤相关巨噬细胞通过 PD-1/IRE1α/SHP2/HIF1α 信号通路影响宫颈癌血管生成。
Aging (Albany NY). 2024 Aug 28;16(17):12335-12345. doi: 10.18632/aging.206090.
5
Fance deficiency inhibits primordial germ cell proliferation associated with transcription-replication conflicts accumulate and DNA repair defects.法氏囊缺失抑制原始生殖细胞增殖,与转录-复制冲突积累和 DNA 修复缺陷有关。
J Ovarian Res. 2023 Aug 10;16(1):160. doi: 10.1186/s13048-023-01252-9.
铁死亡相关范可尼贫血D2组蛋白的上调是肺腺癌预后不良的因素及肿瘤免疫细胞浸润的指标。
Front Genet. 2022 May 11;13:825685. doi: 10.3389/fgene.2022.825685. eCollection 2022.
4
Single-cell sequencing reveals the heterogeneity and intratumoral crosstalk in human endometrial cancer.单细胞测序揭示了人类子宫内膜癌的异质性和肿瘤内串扰。
Cell Prolif. 2022 Jun;55(6):e13249. doi: 10.1111/cpr.13249. Epub 2022 May 13.
5
Association of variations in the Fanconi anemia complementation group and prognosis in Non-small cell lung cancer patients with Platinum-based chemotherapy.Fanconi 贫血互补群的变异与铂类化疗的非小细胞肺癌患者预后的关系。
Gene. 2022 May 30;825:146398. doi: 10.1016/j.gene.2022.146398. Epub 2022 Mar 16.
6
Comprehensive analysis of the autophagy-dependent ferroptosis-related gene FANCD2 in lung adenocarcinoma.肺腺癌中自噬依赖性铁死亡相关基因 FANCD2 的综合分析。
BMC Cancer. 2022 Mar 2;22(1):225. doi: 10.1186/s12885-022-09314-9.
7
FANCI may serve as a prognostic biomarker for cervical cancer: A systematic review and meta-analysis.FANCI 可作为宫颈癌的预后生物标志物:系统评价和荟萃分析。
Medicine (Baltimore). 2021 Dec 23;100(51):e27690. doi: 10.1097/MD.0000000000027690.
8
Fanconi Anemia Pathway Genes Advance Cervical Cancer Immune Regulation and Cell Adhesion.范可尼贫血通路基因促进宫颈癌免疫调节和细胞黏附。
Front Cell Dev Biol. 2021 Nov 15;9:734794. doi: 10.3389/fcell.2021.734794. eCollection 2021.
9
Fanconi Anemia Complementation Group E, a DNA Repair-Related Gene, Is a Potential Marker of Poor Prognosis in Hepatocellular Carcinoma.范可尼贫血互补群 E,一种与 DNA 修复相关的基因,是肝细胞癌不良预后的潜在标志物。
Oncology. 2022;100(2):101-113. doi: 10.1159/000520582. Epub 2021 Nov 1.
10
Identification of Rad51 as a prognostic biomarker correlated with immune infiltration in hepatocellular carcinoma.鉴定 Rad51 作为与肝癌免疫浸润相关的预后生物标志物。
Bioengineered. 2021 Dec;12(1):2664-2675. doi: 10.1080/21655979.2021.1938470.