Suppr超能文献

接受异基因造血干细胞移植的ETP-ALL/LBL患者与非ETP-ALL患者的特征及结局比较。

Comparison of characteristics and outcomes on ETP-ALL/LBL and non-ETP ALL patients receiving allogeneic hematopoietic stem cell transplantation.

作者信息

Chen Juan, Liu Li, Ma Runzhi, Pang Aiming, Yang Donglin, Chen Xin, Wei Jialin, He Yi, Zhang Rongli, Zhai Weihua, Ma Qiaoling, Jiang Erlie, Han Mingzhe, Feng Sizhou

机构信息

State Key Laboratory of Experimental Hematology, National Clinical Research Center for Blood Diseases, Haihe Laboratory of Cell Ecosystem, Institute of Hematology and Blood Diseases Hospital, Chinese Academy of Medical Sciences and Peking Union Medical College, Tianjin, China.

Department of Hematology, The First Affiliated Hospital of Soochow University, National Clinical Research Center for Hematologic Diseases, Soochow University, Suzhou, China.

出版信息

Front Oncol. 2023 Jan 4;12:1025885. doi: 10.3389/fonc.2022.1025885. eCollection 2022.

Abstract

OBJECTIVE

This study aims to compare the characteristics of early T-cell precursor acute lymphoblastic leukemia/lymphoma (ETP-ALL/LBL) and non-ETP ALL patients and the outcomes of these patients after allogeneic hematopoietic stem cell transplantation (allo-HSCT).

METHOD

A total of 57 patients with T-cell acute lymphoblastic leukemia/lymphoma receiving allo-HSCT at our center between January 2016 and March 2022 were enrolled in the study. Twenty-eight patients were diagnosed as ETP-ALL/LBL (28/57, 49.12%) in the cohort.

RESULTS

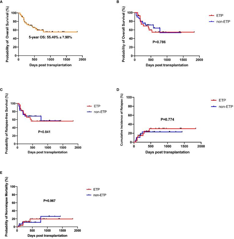
The baseline characteristic was not significantly different between the two groups. The median time for myeloid engraftment was 14 days (ranged from 11 to 21) 14 days (ranged from 10 to 20) ( = 0.067) and 18 days (ranged from 12 to 27) 15.5 days (ranged from 12 to 72) ( = 0.183) for platelet engraftment in the ETP-ALL/LBL and non-ETP ALL groups, respectively. There was no significant difference in 5-year overall survival (54.74% ± 10.33% . 64.20% ± 10.30%, = 0.786), relapse-free survival (56.22% ± 10.11% . 57.17% ± 12.71%, = 0.841), cumulative incidence of relapse (30.14% ± 9.85% . 22.79% ± 8.24%, = 0.774), and non-relapse mortality (19.52% ± 8.99% . 25.95% ± 14.44%, = 0.967) between the two groups. The incidence of acute graft host disease (aGVHD) ( = 0.922), II-IV aGVHD ( = 0.940), III-IV aGVHD ( = 0.664), cytomegalovirus infection ( = 0.862), Epstein-Barr virus infection ( = 0.610), and severe bacterial infection ( = 0.145) was also similar.

CONCLUSION

The prognosis of patients with ETP-ALL/LBL was similar to non-ETP ALL patients when they received allo-HSCT.

摘要

目的

本研究旨在比较早期T细胞前体急性淋巴细胞白血病/淋巴瘤(ETP-ALL/LBL)患者与非ETP-ALL患者的特征,以及这些患者接受异基因造血干细胞移植(allo-HSCT)后的结局。

方法

2016年1月至2022年3月期间在本中心接受allo-HSCT的57例T细胞急性淋巴细胞白血病/淋巴瘤患者纳入本研究。队列中有28例患者被诊断为ETP-ALL/LBL(28/57,49.12%)。

结果

两组患者的基线特征无显著差异。ETP-ALL/LBL组和非ETP-ALL组中性粒细胞植入的中位时间分别为14天(范围11至21天)和14天(范围10至20天)(P = 0.067),血小板植入的中位时间分别为18天(范围12至27天)和15.5天(范围12至72天)(P = 0.183)。两组患者的5年总生存率(54.74% ± 10.33% 对 64.20% ± 10.30%,P = 0.786)、无复发生存率(56.22% ± 10.11% 对 57.17% ± 12.71%,P = 0.841)、累积复发率(30.14% ± 9.85% 对 22.79% ± 8.24%,P = 0.774)和非复发死亡率(19.52% ± 8.99% 对 25.95% ± 14.44%,P = 0.967)无显著差异。急性移植物抗宿主病(aGVHD)(P = 0.922)、II-IV级aGVHD(P = 0.940)、III-IV级aGVHD(P = 0.664)、巨细胞病毒感染(P = 0.862)、EB病毒感染(P = 0.610)和严重细菌感染(P = 0.145)的发生率也相似。

结论

ETP-ALL/LBL患者接受allo-HSCT后的预后与非ETP-ALL患者相似。

https://cdn.ncbi.nlm.nih.gov/pmc/blobs/6f5e/9846781/8498ef6a7cbb/fonc-12-1025885-g001.jpg

文献AI研究员

20分钟写一篇综述,助力文献阅读效率提升50倍。

立即体验

用中文搜PubMed

大模型驱动的PubMed中文搜索引擎

马上搜索

文档翻译

学术文献翻译模型,支持多种主流文档格式。

立即体验