Zhou Rongfan, Wu Xintong, Bao Xiaohui, Wu Fangyi, Han Xiaoshuai, Wang Jiangbo
School of Materials and Chemical Engineering, Ningbo University of Technology, Ningbo315211, China.
Jiangsu Co-Innovation Center of Efficient Processing and Utilization of Forest Resources, International Innovation Center for Forest Chemicals and Materials, College of Materials Science and Engineering, Nanjing Forestry University, Nanjing210037, China.
ACS Omega. 2023 Jan 2;8(2):2077-2084. doi: 10.1021/acsomega.2c05817. eCollection 2023 Jan 17.
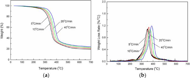
Polyepoxyphenylsilsesquioxane (PEPSQ) and diethyl bis(2-hydroxyethyl) aminomethylphosphonate (DBAMP) can improve the flame retardancy of epoxy resin (EP). In this paper, the results of the limiting oxygen index (LOI) and UL94 tests exhibited that PEPSQ and DBAMP had good synergistic flame retardancy. The non-isothermal degradation kinetics of EP containing PEPSQ and DBAMP was investigated by the Kissinger and Flynn-Wall-Ozawa methods. The results of the Kissinger method displayed that the addition of two flame retardants, PEPSQ and DBAMP, can slightly enhance the activation energy of EP, indicating that the additives delayed the thermal degradation of EP. The Flynn-Wall-Ozawa method further confirmed that the activation energy of EP during the whole thermal degradation process can be significantly increased by addition of the two flame retardants PEPSQ and DBAMP. When the degree of conversion exceeded 80%, the increase was more significant. This illustrated that the flame retardants finally achieved the purpose of improving the flame retardancy of EP by stabilizing the char layer.
聚环氧苯基倍半硅氧烷(PEPSQ)和二乙基双(2-羟乙基)氨基甲基膦酸酯(DBAMP)可以提高环氧树脂(EP)的阻燃性能。本文中,极限氧指数(LOI)和UL94测试结果表明,PEPSQ和DBAMP具有良好的协同阻燃性。采用基辛格法和弗林-沃尔-小泽法研究了含PEPSQ和DBAMP的EP的非等温降解动力学。基辛格法的结果表明,添加两种阻燃剂PEPSQ和DBAMP可以略微提高EP的活化能,这表明添加剂延缓了EP的热降解。弗林-沃尔-小泽法进一步证实,添加两种阻燃剂PEPSQ和DBAMP可以显著提高EP在整个热降解过程中的活化能。当转化率超过80%时,这种增加更为显著。这说明阻燃剂最终通过稳定炭层达到了提高EP阻燃性的目的。