Suppr超能文献

肌内注射神经生长因子作为颞下颌关节紊乱病的模型:疼痛体验的性质、时间进程及性别差异

Intramuscular injection of nerve growth factor as a model of temporomandibular disorder: nature, time-course, and sex differences characterising the pain experience.

作者信息

Schabrun S M, Si E, Millard S K, Chiang A K I, Chen S, Chowdhury N S, Seminowicz D A

机构信息

Center for Pain IMPACT, Neuroscience Research Australia, Sydney, New South Wales, Australia.

School of Physical Therapy, University of Western Ontario, London, Canada.

出版信息

Neurobiol Pain. 2023 Jan 13;13:100117. doi: 10.1016/j.ynpai.2023.100117. eCollection 2023 Jan-Jul.

Abstract

BACKGROUND

Temporomandibular disorder (TMD) is a common condition that frequently transitions to chronic symptoms. Experimental pain models that mimic the symptoms of clinical TMD may be useful in understanding the mechanisms, and sex differences, present in this disorder. Here we aimed to comprehensively characterise the nature and time-course of pain, functional impairment and hyperalgesia induced by repeated intramuscular injection of nerve growth factor (NGF) into the masseter muscle, and to investigate sex differences in the NGF-induced pain experience.

METHODS

94 healthy individuals participated in a longitudinal study with 30-day follow-up. NGF was injected into the right masseter muscle on Day 0 and Day 2. Participants attended laboratory sessions to assess pain (Numerical Rating Scale; NRS), functional limitation (mouth opening distance, Jaw Functional Limitation Scale; JFLS) and mechanical sensitization (pressure pain thresholds; PPTs) on Days 0, 2 and 5 and completed twice daily electronic pain dairies from Day 0 to day 30.

RESULTS

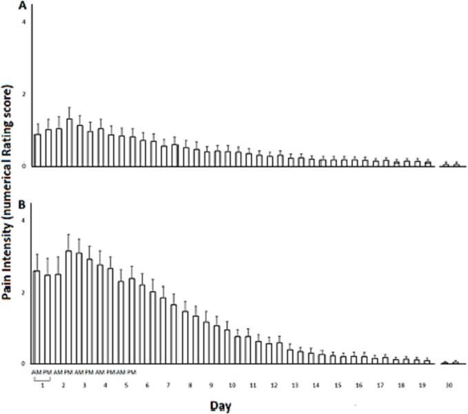
Peak pain averaged 2.0/10 (95 % CI: 1.6-2.4) at rest and 4.3/10 (95 % CI: 3.9-4.8) on chewing. Pain-free mouth opening distance reduced from 5.0 cm (95 % CI: 4.8-5.1 cm) on Day 0 to 3.7 cm (95 % CI: 3.5-3.9 cm) on Day 5. The greatest reduction in PPTs was observed over the masseter muscle. Females experienced higher pain, greater functional impairment, and greater sensitivity to mechanical stimuli than males.

CONCLUSION

Intramuscular injection of NGF is a useful model with which to explore the mechanisms, and sex differences, present in clinical TMD.

摘要

背景

颞下颌关节紊乱病(TMD)是一种常见疾病,常转变为慢性症状。模拟临床TMD症状的实验性疼痛模型可能有助于理解该疾病的机制及性别差异。本研究旨在全面描述反复向咬肌内注射神经生长因子(NGF)所诱发的疼痛、功能障碍及痛觉过敏的性质和时间进程,并探究NGF诱发的疼痛体验中的性别差异。

方法

94名健康个体参与了一项为期30天随访的纵向研究。在第0天和第2天,将NGF注射到右侧咬肌中。参与者在第0天、第2天和第5天参加实验室检查,以评估疼痛(数字评分量表;NRS)、功能受限(开口距离、下颌功能受限量表;JFLS)和机械性敏感化(压力痛阈;PPTs),并从第0天到第30天每天完成两次电子疼痛日记。

结果

静息时疼痛峰值平均为2.0/10(95%CI:1.6 - 2.4),咀嚼时为4.3/10(95%CI:3.9 - 4.8)。无痛开口距离从第0天的5.0 cm(95%CI:4.8 - 5.1 cm)减少到第5天的3.7 cm(95%CI:3.5 - 3.9 cm)。在咬肌上观察到PPTs的最大降低。女性比男性经历更高的疼痛、更大的功能障碍以及对机械刺激更敏感。

结论

肌内注射NGF是一种用于探索临床TMD机制及性别差异的有用模型。

https://cdn.ncbi.nlm.nih.gov/pmc/blobs/4e3e/9852786/30b1eb743cff/gr1.jpg

文献AI研究员

20分钟写一篇综述,助力文献阅读效率提升50倍。

立即体验

用中文搜PubMed

大模型驱动的PubMed中文搜索引擎

马上搜索

文档翻译

学术文献翻译模型,支持多种主流文档格式。

立即体验