• 文献检索
  • 文档翻译
  • 深度研究
  • 学术资讯
  • Suppr Zotero 插件Zotero 插件
  • 邀请有礼
  • 套餐&价格
  • 历史记录
应用&插件
Suppr Zotero 插件Zotero 插件浏览器插件Mac 客户端Windows 客户端微信小程序
定价
高级版会员购买积分包购买API积分包
服务
文献检索文档翻译深度研究API 文档MCP 服务
关于我们
关于 Suppr公司介绍联系我们用户协议隐私条款
关注我们

Suppr 超能文献

核心技术专利:CN118964589B侵权必究
粤ICP备2023148730 号-1Suppr @ 2026

文献检索

告别复杂PubMed语法,用中文像聊天一样搜索,搜遍4000万医学文献。AI智能推荐,让科研检索更轻松。

立即免费搜索

文件翻译

保留排版,准确专业,支持PDF/Word/PPT等文件格式,支持 12+语言互译。

免费翻译文档

深度研究

AI帮你快速写综述,25分钟生成高质量综述,智能提取关键信息,辅助科研写作。

立即免费体验

基于随机细胞模型的结直肠腺瘤生长和癌变的形态特异性特征分析。

Shape-specific characterization of colorectal adenoma growth and transition to cancer with stochastic cell-based models.

机构信息

Institute of Radiation Medicine, Helmholtz Munich, Oberschleissheim, Germany.

Institute for Medical Information Processing, Biometry, and Epidemiology, Ludwig-Maximilians-Universität, Munich, Germany.

出版信息

PLoS Comput Biol. 2023 Jan 23;19(1):e1010831. doi: 10.1371/journal.pcbi.1010831. eCollection 2023 Jan.

DOI:10.1371/journal.pcbi.1010831
PMID:36689547
原文链接:https://pmc.ncbi.nlm.nih.gov/articles/PMC9894544/
Abstract

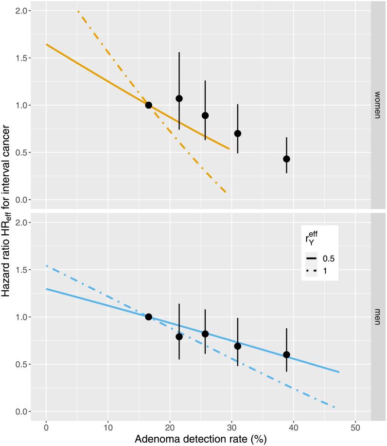
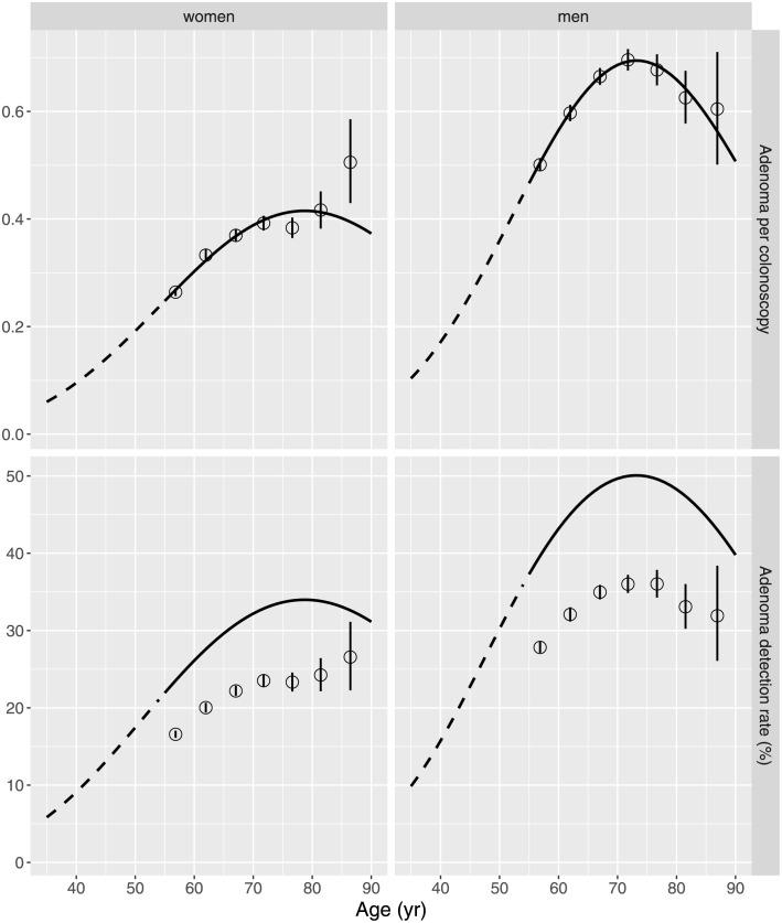
Colorectal adenoma are precursor lesions on the pathway to cancer. Their removal in screening colonoscopies has markedly reduced rates of cancer incidence and death. Generic models of adenoma growth and transition to cancer can guide the implementation of screening strategies. But adenoma shape has rarely featured as a relevant risk factor. Against this backdrop we aim to demonstrate that shape influences growth dynamics and cancer risk. Stochastic cell-based models are applied to a data set of 197,347 Bavarian outpatients who had colonoscopies from 2006-2009, 50,649 patients were reported with adenoma and 296 patients had cancer. For multi-stage clonal expansion (MSCE) models with up to three initiating stages parameters were estimated by fits to data sets of all shapes combined, and of sessile (70% of all adenoma), peduncular (17%) and flat (13%) adenoma separately for both sexes. Pertinent features of adenoma growth present themselves in contrast to previous assumptions. Stem cells with initial molecular changes residing in early adenoma predominantly multiply within two-dimensional structures such as crypts. For these cells mutation and division rates decrease with age. The absolute number of initiated cells in an adenoma of size 1 cm is small around 103, related to all bulk cells they constitute a share of about 10-5. The notion of very few proliferating stem cells with age-decreasing division rates is supported by cell marker experiments. The probability for adenoma transiting to cancer increases with squared linear size and shows a shape dependence. Compared to peduncular and flat adenoma, it is twice as high for sessile adenoma of the same size. We present a simple mathematical expression for the hazard ratio of interval cancers which provides a mechanistic understanding of this important quality indicator. We conclude that adenoma shape deserves closer consideration in screening strategies and as risk factor for transition to cancer.

摘要

结直肠腺瘤是癌症发生途径中的前体病变。在筛查结肠镜检查中切除这些腺瘤可显著降低癌症发病率和死亡率。腺瘤生长和向癌症转化的通用模型可以指导筛查策略的实施。但是,腺瘤的形状很少作为相关的危险因素出现。在此背景下,我们旨在证明形状会影响生长动态和癌症风险。我们应用随机细胞模型来分析 197347 名来自巴伐利亚州的门诊患者的数据,这些患者在 2006 年至 2009 年间接受了结肠镜检查,其中 50649 例报告有腺瘤,296 例有癌症。对于具有三个起始阶段的多阶段克隆扩张(MSCE)模型,通过将所有形状的数据集拟合到数据集中来估计参数,以及将息肉状(所有腺瘤的 70%)、带蒂(17%)和扁平(13%)腺瘤分别拟合到男女数据集中。与之前的假设相比,腺瘤生长的相关特征表现为,具有初始分子变化的干细胞主要在类器官等二维结构中倍增。对于这些细胞,突变和分裂率会随着年龄的增长而降低。大小为 1cm 的腺瘤中起始细胞的绝对数量很少,约为 10^3,与所有体细胞相比,它们构成了约 10^-5 的比例。随着年龄的增长,分裂率降低的增殖干细胞数量很少的观点得到了细胞标记实验的支持。腺瘤向癌症转化的概率随线性尺寸的平方增加而增加,并表现出形状依赖性。与带蒂和扁平腺瘤相比,相同大小的息肉状腺瘤的风险要高两倍。我们提出了一个用于计算间隔癌风险比的简单数学表达式,该表达式提供了对这一重要质量指标的机制理解。我们的结论是,在筛查策略中以及作为癌症转化的危险因素方面,腺瘤的形状值得更密切的考虑。

https://cdn.ncbi.nlm.nih.gov/pmc/blobs/8b9c/9894544/5bfddec5ecef/pcbi.1010831.g007.jpg
https://cdn.ncbi.nlm.nih.gov/pmc/blobs/8b9c/9894544/8d38a78311f7/pcbi.1010831.g001.jpg
https://cdn.ncbi.nlm.nih.gov/pmc/blobs/8b9c/9894544/0ffc40539451/pcbi.1010831.g002.jpg
https://cdn.ncbi.nlm.nih.gov/pmc/blobs/8b9c/9894544/f9087460633f/pcbi.1010831.g003.jpg
https://cdn.ncbi.nlm.nih.gov/pmc/blobs/8b9c/9894544/8ea6480e316e/pcbi.1010831.g004.jpg
https://cdn.ncbi.nlm.nih.gov/pmc/blobs/8b9c/9894544/4c5cba49f54b/pcbi.1010831.g005.jpg
https://cdn.ncbi.nlm.nih.gov/pmc/blobs/8b9c/9894544/391f35d860ef/pcbi.1010831.g006.jpg
https://cdn.ncbi.nlm.nih.gov/pmc/blobs/8b9c/9894544/5bfddec5ecef/pcbi.1010831.g007.jpg
https://cdn.ncbi.nlm.nih.gov/pmc/blobs/8b9c/9894544/8d38a78311f7/pcbi.1010831.g001.jpg
https://cdn.ncbi.nlm.nih.gov/pmc/blobs/8b9c/9894544/0ffc40539451/pcbi.1010831.g002.jpg
https://cdn.ncbi.nlm.nih.gov/pmc/blobs/8b9c/9894544/f9087460633f/pcbi.1010831.g003.jpg
https://cdn.ncbi.nlm.nih.gov/pmc/blobs/8b9c/9894544/8ea6480e316e/pcbi.1010831.g004.jpg
https://cdn.ncbi.nlm.nih.gov/pmc/blobs/8b9c/9894544/4c5cba49f54b/pcbi.1010831.g005.jpg
https://cdn.ncbi.nlm.nih.gov/pmc/blobs/8b9c/9894544/391f35d860ef/pcbi.1010831.g006.jpg
https://cdn.ncbi.nlm.nih.gov/pmc/blobs/8b9c/9894544/5bfddec5ecef/pcbi.1010831.g007.jpg

相似文献

1
Shape-specific characterization of colorectal adenoma growth and transition to cancer with stochastic cell-based models.基于随机细胞模型的结直肠腺瘤生长和癌变的形态特异性特征分析。
PLoS Comput Biol. 2023 Jan 23;19(1):e1010831. doi: 10.1371/journal.pcbi.1010831. eCollection 2023 Jan.
2
Colonoscopy surveillance following adenoma removal to reduce the risk of colorectal cancer: a retrospective cohort study.腺瘤切除术后结肠镜随访以降低结直肠癌风险:一项回顾性队列研究。
Health Technol Assess. 2022 May;26(26):1-156. doi: 10.3310/OLUE3796.
3
Colorectal Cancer Incidence and Mortality After Removal of Adenomas During Screening Colonoscopies.筛查结肠镜检查中切除腺瘤后结直肠癌的发病率和死亡率。
Gastroenterology. 2020 Mar;158(4):875-883.e5. doi: 10.1053/j.gastro.2019.09.011. Epub 2019 Sep 26.
4
Enhanced flat adenoma detection rate with high definition colonoscopy plus i-scan for average-risk colorectal cancer screening.高清结肠镜检查联合i-scan用于平均风险结直肠癌筛查可提高扁平腺瘤的检出率。
Rev Esp Enferm Dig. 2016 May;108(5):257-62. doi: 10.17235/reed.2016.4008/2015.
5
Long-Term Impact of the Dutch Colorectal Cancer Screening Program on Cancer Incidence and Mortality-Model-Based Exploration of the Serrated Pathway.荷兰结直肠癌筛查计划对癌症发病率和死亡率的长期影响——基于模型的锯齿状途径探索
Cancer Epidemiol Biomarkers Prev. 2016 Jan;25(1):135-44. doi: 10.1158/1055-9965.EPI-15-0592. Epub 2015 Nov 23.
6
Risk of Malignancy in Adenomas Detected During Screening Colonoscopy.筛查性结肠镜检查中发现的腺瘤的恶变风险。
Clin Gastroenterol Hepatol. 2018 Nov;16(11):1754-1761. doi: 10.1016/j.cgh.2018.05.043. Epub 2018 Jun 11.
7
High-definition chromocolonoscopy vs. high-definition white light colonoscopy for average-risk colorectal cancer screening.高清电子染色结肠镜与高清白光结肠镜用于一般风险结直肠癌筛查的比较。
Am J Gastroenterol. 2010 Jun;105(6):1301-7. doi: 10.1038/ajg.2010.51. Epub 2010 Feb 23.
8
Colonoscopist Performance and Colorectal Cancer Risk After Adenoma Removal to Stratify Surveillance: Two Nationwide Observational Studies.结肠镜检查医生的表现与腺瘤切除后的结直肠癌风险分层监测:两项全国性观察性研究。
Gastroenterology. 2021 Mar;160(4):1067-1074.e6. doi: 10.1053/j.gastro.2020.10.009. Epub 2020 Oct 14.
9
Increased Rate of Adenoma Detection Associates With Reduced Risk of Colorectal Cancer and Death.腺瘤检出率增高与结直肠癌发病风险和死亡风险降低相关。
Gastroenterology. 2017 Jul;153(1):98-105. doi: 10.1053/j.gastro.2017.04.006. Epub 2017 Apr 17.
10
Incidence of colorectal adenomas: birth cohort analysis among 4.3 million participants of screening colonoscopy.结直肠腺瘤的发病率:430万接受结肠镜筛查参与者的出生队列分析
Cancer Epidemiol Biomarkers Prev. 2014 Sep;23(9):1920-7. doi: 10.1158/1055-9965.EPI-14-0367. Epub 2014 Jul 10.

本文引用的文献

1
KRAS signaling in malignant pleural mesothelioma.KRAS 信号在恶性胸膜间皮瘤中的作用。
EMBO Mol Med. 2022 Feb 7;14(2):e13631. doi: 10.15252/emmm.202013631. Epub 2021 Dec 13.
2
Modeling Strategies to Optimize Cancer Screening in USPSTF Guideline-Noncompliant Women.优化美国预防服务工作组指南中不符合筛查标准女性癌症筛查的建模策略
JAMA Oncol. 2021 Jun 1;7(6):885-894. doi: 10.1001/jamaoncol.2021.0952.
3
Global Cancer Statistics 2020: GLOBOCAN Estimates of Incidence and Mortality Worldwide for 36 Cancers in 185 Countries.《全球癌症统计数据 2020:全球 185 个国家和地区 36 种癌症的发病率和死亡率估计》。
CA Cancer J Clin. 2021 May;71(3):209-249. doi: 10.3322/caac.21660. Epub 2021 Feb 4.
4
Screening for Colorectal Cancer.结直肠癌筛查。
Med Clin North Am. 2020 Nov;104(6):1023-1036. doi: 10.1016/j.mcna.2020.08.004.
5
Capturing the primordial Kras mutation initiating urethane carcinogenesis.捕获引发尿烷致癌的原始 Kras 突变。
Nat Commun. 2020 Apr 14;11(1):1800. doi: 10.1038/s41467-020-15660-8.
6
Predicting colorectal cancer risk from adenoma detection via a two-type branching process model.基于两重分支过程模型预测腺瘤检出率与结直肠癌风险
PLoS Comput Biol. 2020 Feb 5;16(2):e1007552. doi: 10.1371/journal.pcbi.1007552. eCollection 2020 Feb.
7
Polyp Genetics.息肉遗传学
Clin Colon Rectal Surg. 2016 Dec;29(4):289-295. doi: 10.1055/s-0036-1582442.
8
Cell division rates decrease with age, providing a potential explanation for the age-dependent deceleration in cancer incidence.细胞分裂速率随年龄的增长而降低,为癌症发病率随年龄增长而减缓提供了潜在解释。
Proc Natl Acad Sci U S A. 2019 Oct 8;116(41):20482-20488. doi: 10.1073/pnas.1905722116. Epub 2019 Sep 23.
9
Head-to-Head Comparison of the Performance of 17 Risk Models for Predicting Presence of Advanced Neoplasms in Colorectal Cancer Screening.头对头比较 17 种风险模型在预测结直肠癌筛查中晚期肿瘤存在的性能。
Am J Gastroenterol. 2019 Sep;114(9):1520-1530. doi: 10.14309/ajg.0000000000000370.
10
Global burden of colorectal cancer: emerging trends, risk factors and prevention strategies.全球结直肠癌负担:趋势、风险因素和预防策略。
Nat Rev Gastroenterol Hepatol. 2019 Dec;16(12):713-732. doi: 10.1038/s41575-019-0189-8. Epub 2019 Aug 27.