• 文献检索
  • 文档翻译
  • 深度研究
  • 学术资讯
  • Suppr Zotero 插件Zotero 插件
  • 邀请有礼
  • 套餐&价格
  • 历史记录
应用&插件
Suppr Zotero 插件Zotero 插件浏览器插件Mac 客户端Windows 客户端微信小程序
定价
高级版会员购买积分包购买API积分包
服务
文献检索文档翻译深度研究API 文档MCP 服务
关于我们
关于 Suppr公司介绍联系我们用户协议隐私条款
关注我们

Suppr 超能文献

核心技术专利:CN118964589B侵权必究
粤ICP备2023148730 号-1Suppr @ 2026

文献检索

告别复杂PubMed语法,用中文像聊天一样搜索,搜遍4000万医学文献。AI智能推荐,让科研检索更轻松。

立即免费搜索

文件翻译

保留排版,准确专业,支持PDF/Word/PPT等文件格式,支持 12+语言互译。

免费翻译文档

深度研究

AI帮你快速写综述,25分钟生成高质量综述,智能提取关键信息,辅助科研写作。

立即免费体验

评估选定应激因素对单核细胞增生李斯特菌生长和存活的影响。

Assessment of the influence of selected stress factors on the growth and survival of Listeria monocytogenes.

机构信息

Department of Microbiology, Ludwik Rydygier Collegium Medicum in Bydgoszcz, Nicolaus Copernicus University, Toruń, Poland.

Department of Food Hygiene and Consumer Health, Wrocław University of Environmental and Life Sciences, Wrocław, Poland.

出版信息

BMC Microbiol. 2023 Jan 24;23(1):27. doi: 10.1186/s12866-023-02766-4.

DOI:10.1186/s12866-023-02766-4
PMID:36690941
原文链接:https://pmc.ncbi.nlm.nih.gov/articles/PMC9872351/
Abstract

BACKGROUND

Listeria monocytogenes are Gram-positive rods, which are the etiological factor of listeriosis. L. monocytogenes quickly adapts to changing environmental conditions. Since the main source of rods is food, its elimination from the production line is a priority. The study aimed to evaluate the influence of selected stress factors on the growth and survival of L. monocytogenes strains isolated from food products and clinical material.

RESULTS

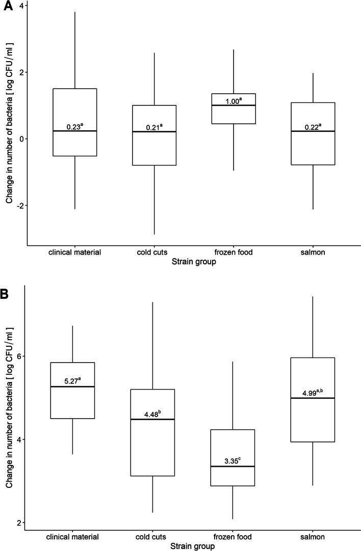
We distinguished fifty genetically different strains of L. monocytogenes (PFGE method). Sixty-two percent of the tested strains represented 1/2a-3a serogroup. Sixty percent of the rods possessed ten examined virulence genes (fbpA, plcA, hlyA, plcB, inlB, actA, iap, inlA, mpl, prfA). Listeria Pathogenicity Island 1 (LIPI-1) was demonstrated among 38 (76.0%) strains. Majority (92.0%) of strains (46) were sensitive to all examined antibiotics. The most effective concentration of bacteriophage (inhibiting the growth of 22 strains; 44.0%) was 5 × 10 PFU. In turn, the concentration of 8% of NaCl was enough to inhibit the growth of 31 strains (62.0%). The clinical strain tolerated the broadest pH range (3 to 10). Five strains survived the 60-min exposure to 70˚C, whereas all were alive at each time stage of the cold stress experiment. During the stress of cyclic freezing-defrosting, an increase in the number of bacteria was shown after the first cycle, and a decrease was only observed after cycle 3. The least sensitive to low nutrients content were strains isolated from frozen food. The high BHI concentration promoted the growth of all groups.

CONCLUSIONS

Data on survival in stress conditions can form the basis for one of the hypotheses explaining the formation of persistent strains. Such studies are also helpful for planning appropriate hygiene strategies within the food industry.

摘要

背景

单核细胞增生李斯特菌是革兰氏阳性杆菌,是李斯特菌病的病因。单核细胞增生李斯特菌能迅速适应环境条件的变化。由于其主要来源是食物,因此从生产线上消除它是当务之急。本研究旨在评估选定应激因素对从食品和临床材料中分离出的单核细胞增生李斯特菌菌株的生长和存活的影响。

结果

我们区分了五十种不同的单核细胞增生李斯特菌遗传菌株(PFGE 方法)。62%的测试菌株代表 1/2a-3a 血清群。60%的杆菌具有十个检查的毒力基因(fbpA、plcA、hlyA、plcB、inlB、actA、iap、inlA、mpl、prfA)。38 株(76.0%)单核细胞增生李斯特菌菌株中存在李斯特菌致病性岛 1(LIPI-1)。92.0%(46 株)的菌株对所有检查的抗生素均敏感。噬菌体的最有效浓度(抑制 22 株菌的生长;44.0%)为 5×10 PFU。相反,8%的 NaCl 浓度足以抑制 31 株菌(62.0%)的生长。临床菌株耐受的 pH 值范围最广(3 至 10)。5 株菌在 70˚C 下暴露 60 分钟后存活,而在冷应激实验的每个时间阶段,所有菌均存活。在循环冷冻-解冻应激中,在第一个循环后观察到细菌数量增加,仅在第三个循环后观察到减少。对冷冻食品中分离出的菌株来说,低营养含量最不敏感。高 BHI 浓度促进了所有组的生长。

结论

对压力条件下存活的数据可以作为解释持续菌株形成的假设之一的基础。这些研究还有助于在食品工业中规划适当的卫生策略。

https://cdn.ncbi.nlm.nih.gov/pmc/blobs/818d/9872351/dcdd2e4bd116/12866_2023_2766_Fig9_HTML.jpg
https://cdn.ncbi.nlm.nih.gov/pmc/blobs/818d/9872351/22a2abb71bc0/12866_2023_2766_Fig1_HTML.jpg
https://cdn.ncbi.nlm.nih.gov/pmc/blobs/818d/9872351/686916cb0efb/12866_2023_2766_Fig2_HTML.jpg
https://cdn.ncbi.nlm.nih.gov/pmc/blobs/818d/9872351/60f2bae707d5/12866_2023_2766_Fig3_HTML.jpg
https://cdn.ncbi.nlm.nih.gov/pmc/blobs/818d/9872351/9f30a979bd15/12866_2023_2766_Fig4_HTML.jpg
https://cdn.ncbi.nlm.nih.gov/pmc/blobs/818d/9872351/ff52845f431c/12866_2023_2766_Fig5_HTML.jpg
https://cdn.ncbi.nlm.nih.gov/pmc/blobs/818d/9872351/724a7a93245d/12866_2023_2766_Fig6_HTML.jpg
https://cdn.ncbi.nlm.nih.gov/pmc/blobs/818d/9872351/f8299374b340/12866_2023_2766_Fig7_HTML.jpg
https://cdn.ncbi.nlm.nih.gov/pmc/blobs/818d/9872351/0b4532bb1394/12866_2023_2766_Fig8_HTML.jpg
https://cdn.ncbi.nlm.nih.gov/pmc/blobs/818d/9872351/dcdd2e4bd116/12866_2023_2766_Fig9_HTML.jpg
https://cdn.ncbi.nlm.nih.gov/pmc/blobs/818d/9872351/22a2abb71bc0/12866_2023_2766_Fig1_HTML.jpg
https://cdn.ncbi.nlm.nih.gov/pmc/blobs/818d/9872351/686916cb0efb/12866_2023_2766_Fig2_HTML.jpg
https://cdn.ncbi.nlm.nih.gov/pmc/blobs/818d/9872351/60f2bae707d5/12866_2023_2766_Fig3_HTML.jpg
https://cdn.ncbi.nlm.nih.gov/pmc/blobs/818d/9872351/9f30a979bd15/12866_2023_2766_Fig4_HTML.jpg
https://cdn.ncbi.nlm.nih.gov/pmc/blobs/818d/9872351/ff52845f431c/12866_2023_2766_Fig5_HTML.jpg
https://cdn.ncbi.nlm.nih.gov/pmc/blobs/818d/9872351/724a7a93245d/12866_2023_2766_Fig6_HTML.jpg
https://cdn.ncbi.nlm.nih.gov/pmc/blobs/818d/9872351/f8299374b340/12866_2023_2766_Fig7_HTML.jpg
https://cdn.ncbi.nlm.nih.gov/pmc/blobs/818d/9872351/0b4532bb1394/12866_2023_2766_Fig8_HTML.jpg
https://cdn.ncbi.nlm.nih.gov/pmc/blobs/818d/9872351/dcdd2e4bd116/12866_2023_2766_Fig9_HTML.jpg

相似文献

1
Assessment of the influence of selected stress factors on the growth and survival of Listeria monocytogenes.评估选定应激因素对单核细胞增生李斯特菌生长和存活的影响。
BMC Microbiol. 2023 Jan 24;23(1):27. doi: 10.1186/s12866-023-02766-4.
2
The occurrence, transmission, virulence and antibiotic resistance of Listeria monocytogenes in fish processing plant.鱼类加工厂中单核细胞增生李斯特菌的发生、传播、毒力和抗生素耐药性。
Int J Food Microbiol. 2018 Oct 3;282:71-83. doi: 10.1016/j.ijfoodmicro.2018.06.011. Epub 2018 Jun 13.
3
Virulence characterization and comparative genomics of Listeria monocytogenes sequence type 155 strains.单核细胞增生李斯特菌序列类型155菌株的毒力特性及比较基因组学
BMC Genomics. 2020 Nov 30;21(1):847. doi: 10.1186/s12864-020-07263-w.
4
[Virulent gene prevalence of foodborne Listeria monocytogenes in China in 2005].2005年中国食源性单核细胞增生李斯特菌毒力基因流行情况
Zhonghua Yu Fang Yi Xue Za Zhi. 2010 Dec;44(12):1097-101.
5
Prevalence, virulence characterization, and genetic relatedness of Listeria monocytogenes isolated from chicken retail points and poultry slaughterhouses in Turkey.从土耳其鸡肉零售点和家禽屠宰场分离的单核细胞增生李斯特菌的流行情况、毒力特征及遗传相关性。
Braz J Microbiol. 2019 Oct;50(4):1063-1073. doi: 10.1007/s42770-019-00133-y. Epub 2019 Sep 2.
6
Polymorphism of actA gene is not related to in vitro virulence of Listeria monocytogenes.actA 基因多态性与李斯特菌的体外毒力无关。
Int J Food Microbiol. 2010 Jan 31;137(1):100-5. doi: 10.1016/j.ijfoodmicro.2009.10.019. Epub 2009 Oct 29.
7
Listeria monocytogenes isolated from food samples from a Romanian black market show distinct virulence profiles.从罗马尼亚黑市食品样本中分离出的单增李斯特菌显示出明显的毒力特征。
Int J Food Microbiol. 2015 Sep 16;209:44-51. doi: 10.1016/j.ijfoodmicro.2014.08.035. Epub 2014 Aug 30.
8
Characteristics of Strains Isolated from Milk and Humans and the Possibility of Milk-Borne Strains Transmission.从牛奶和人体中分离出的菌株的特征以及菌株通过牛奶传播的可能性。
Pol J Microbiol. 2019 Sep;68(3):353-369. doi: 10.33073/pjm-2019-038. Epub 2019 Sep 3.
9
Detection of Virulence Genes and Growth Potential in Listeria monocytogenes Strains Isolated from Ricotta Salata Cheese.从乳清干酪中分离出的单核细胞增生李斯特菌菌株中毒力基因及生长潜力的检测
J Food Sci. 2016 Jan;81(1):M114-20. doi: 10.1111/1750-3841.13173. Epub 2015 Dec 14.
10
Characterization of Listeria monocytogenes serovar 1/2a, 1/2b, 1/2c and 4b by high resolution melting analysis for epidemiological investigations.应用高分辨率熔解曲线分析技术对产单核李斯特菌 1/2a、1/2b、1/2c 和 4b 血清型进行流行病学研究。
Int J Food Microbiol. 2019 Nov 16;310:108289. doi: 10.1016/j.ijfoodmicro.2019.108289. Epub 2019 Aug 6.

引用本文的文献

1
and Listeriosis: The Global Enigma.以及李斯特菌病:全球谜团。
Foods. 2025 Apr 3;14(7):1266. doi: 10.3390/foods14071266.
2
Exogenous indole modulates several CpxRA-mediated virulence-related parameters of in vitro.外源性吲哚可在体外调节几种由CpxRA介导的与毒力相关的参数。
Mar Life Sci Technol. 2024 Jul 10;6(4):665-678. doi: 10.1007/s42995-024-00238-w. eCollection 2024 Nov.
3
Unveiling the persistent threat: recent insights into adaptation, biofilm formation, and pathogenicity in foodborne infections.揭示持续存在的威胁:食源性感染中适应性、生物膜形成和致病性的最新见解

本文引用的文献

1
The European Union One Health 2020 Zoonoses Report.《欧盟2020年“同一健康”人畜共患病报告》
EFSA J. 2021 Dec 13;19(12):e06971. doi: 10.2903/j.efsa.2021.6971. eCollection 2021 Dec.
2
Pathogenesis: The Role of Stress Adaptation.发病机制:应激适应的作用
Microorganisms. 2022 Jul 27;10(8):1522. doi: 10.3390/microorganisms10081522.
3
From chicken to salad: Cooking salt as a potential vehicle of spp. and cross-contamination.从鸡肉到沙拉:烹饪盐作为[具体菌种1]和[具体菌种2]的潜在传播媒介及交叉污染途径 。 注:原文中“spp.”表述不完整,这里假设为两种未明确写出的菌种名称进行翻译。
J Food Sci Technol. 2024 Aug;61(8):1428-1438. doi: 10.1007/s13197-023-05918-6. Epub 2024 Jan 18.
Food Control. 2022 Jul;137:108959. doi: 10.1016/j.foodcont.2022.108959.
4
Comparison of Selected Phenotypic Features of Persistent and Sporadic Strains of Sampled from Fish Processing Plants.对从鱼类加工厂采集的持续性菌株和散发性菌株的选定表型特征进行比较。
Foods. 2022 May 20;11(10):1492. doi: 10.3390/foods11101492.
5
Application of Whole Genome Sequencing to Aid in Deciphering the Persistence Potential of in Food Production Environments.应用全基因组测序辅助解读食品生产环境中[具体物质未给出]的持续存在潜力。
Microorganisms. 2021 Aug 31;9(9):1856. doi: 10.3390/microorganisms9091856.
6
Techniques in bacterial strain typing: past, present, and future.细菌菌株分型技术:过去、现在和未来。
Curr Opin Infect Dis. 2021 Aug 1;34(4):339-345. doi: 10.1097/QCO.0000000000000743.
7
Whole-Genome Sequencing-Based Characterization of from Fish and Fish Production Environments in Poland.基于全基因组测序的波兰鱼类及其养殖环境中 的特征分析。
Int J Mol Sci. 2020 Dec 10;21(24):9419. doi: 10.3390/ijms21249419.
8
Post-process treatments are effective strategies to reduce Listeria monocytogenes on the surface of leafy greens: A pilot study.后处理方法是减少叶菜类表面单核细胞增生李斯特菌的有效策略:一项初步研究。
Int J Food Microbiol. 2020 Jan 16;313:108390. doi: 10.1016/j.ijfoodmicro.2019.108390. Epub 2019 Oct 18.
9
Pulsed-field gel electrophoresis (PFGE): A review of the "gold standard" for bacteria typing and current alternatives.脉冲场凝胶电泳 (PFGE):细菌分型的“金标准”及当前替代方法综述。
Infect Genet Evol. 2019 Oct;74:103935. doi: 10.1016/j.meegid.2019.103935. Epub 2019 Jun 22.
10
Growth Variation Among Species and Strains of Listeria in Culture Broth.李斯特菌不同种和菌株在肉汤培养基中的生长差异
J Food Prot. 1994 Sep;57(9):765-769. doi: 10.4315/0362-028X-57.9.765.