Suppr超能文献

利用游离DNA对恶性胸腔积液诊断中[具体内容缺失]和[具体内容缺失]面板进行DNA甲基化分析。

DNA Methylation Analysis of the and Panel Using Cell-Free DNA in the Diagnosis of Malignant Pleural Effusion.

作者信息

Zhang Nana, Liu Zichen, Li Kun, Xing Xuya, Long Chaolian, Liu Fangchao, She Bin, Che Nanying

机构信息

Department of Pathology, Beijing Chest Hospital, Capital Medical University, Beijing Tuberculosis and Thoracic Tumor Research Institute, Beiguandajie 9#, Tongzhou, Beijing 101149, China.

Science and Technology Office, Beijing Chest Hospital, Capital Medical University, Beijing Tuberculosis and Thoracic Tumor Research Institute, Beijing, China.

出版信息

J Oncol. 2023 Jan 14;2023:5888844. doi: 10.1155/2023/5888844. eCollection 2023.

Abstract

OBJECTIVES

The differential diagnosis of pleural effusion (PE) is a common but major challenge in clinical practice. This study aimed to establish a strategy based on a PE-cell-free DNA (cfDNA) methylation detection system for the differential diagnosis of malignant pleural effusion (MPE) and benign pleural effusion (BPE).

METHODS

A total of 104 patients with PE were enrolled in this study, among which 50 patients had MPE, 9 malignant tumor patients had PE of indefinite causes, and the other 45 patients were classified as benign controls. The methylation status of short stature homeobox 2 () and RAS association domain family 1, isoform A () was detected using PE-cfDNA specimens by real-time fluorescence quantitative PCR. Total methylation (TM) was defined as the combination of the methylation levels of and . The electrochemiluminescence immunoassay was applied to evaluate the levels of multiple serum tumor markers.

RESULTS

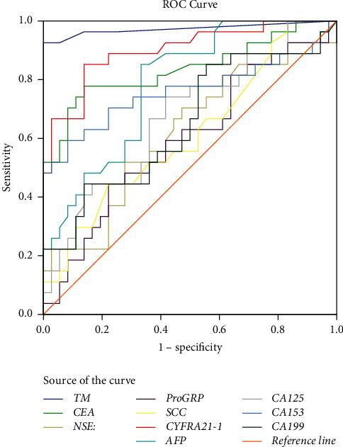
The PE-cfDNA methylation status of either or was much higher in MPE samples than in benign controls. The combination of and methylation in PE yielded a diagnostic sensitivity of 96% and a specificity of 100%, respectively. When compared with the corresponding serum tumor marker detection results, TM showed the highest diagnostic efficiency (AUC = 0.985). Furthermore, the combination of the and methylation panels using PE-cfDNA could apparently improve the differential diagnostic efficacy of BPE and MPE and could help compensate for the deficiency of cytology.

CONCLUSIONS

Our results indicated that and methylation panel detection could accurately classify BPE and MPE diseases and showed better diagnostic performance than traditional serum parameters. The and methylation detection of PE-cfDNA could be a potentially effective complementary tool for cytology in the process of differential diagnosis. In summary, PE-cfDNA could be used as a promising non-invasive analyte for the auxiliary diagnosis of MPE.

摘要

目的

胸腔积液(PE)的鉴别诊断是临床实践中常见但重大的挑战。本研究旨在建立一种基于PE游离DNA(cfDNA)甲基化检测系统的策略,用于恶性胸腔积液(MPE)和良性胸腔积液(BPE)的鉴别诊断。

方法

本研究共纳入104例PE患者,其中50例为MPE患者,9例恶性肿瘤患者有原因不明的PE,另外45例患者被归类为良性对照。通过实时荧光定量PCR使用PE-cfDNA标本检测矮小同源框2()和RAS关联结构域家族1 A亚型()的甲基化状态。总甲基化(TM)定义为和的甲基化水平之和。应用电化学发光免疫分析法评估多种血清肿瘤标志物的水平。

结果

MPE样本中或的PE-cfDNA甲基化状态均显著高于良性对照。PE中与甲基化的联合诊断敏感性分别为96%,特异性为100%。与相应的血清肿瘤标志物检测结果相比,TM显示出最高的诊断效率(AUC = 0.985)。此外,使用PE-cfDNA的和甲基化检测组合可明显提高BPE和MPE的鉴别诊断效能,并有助于弥补细胞学检查的不足。

结论

我们的结果表明,和甲基化检测组合可准确区分BPE和MPE疾病,且诊断性能优于传统血清参数。PE-cfDNA的和甲基化检测可能是鉴别诊断过程中细胞学检查的潜在有效补充工具。总之,PE-cfDNA可作为一种有前景的非侵入性分析物用于MPE的辅助诊断。

https://cdn.ncbi.nlm.nih.gov/pmc/blobs/a776/9867579/734f03fba2f5/JO2023-5888844.001.jpg

文献AI研究员

20分钟写一篇综述,助力文献阅读效率提升50倍。

立即体验

用中文搜PubMed

大模型驱动的PubMed中文搜索引擎

马上搜索

文档翻译

学术文献翻译模型,支持多种主流文档格式。

立即体验