Suppr超能文献

黄酮类化合物及其铼(I)-三羰基配合物的合成、结构表征及抗氧化和抗 PrP 活性研究。

Synthesis, structural characterization and study of antioxidant and anti-PrP properties of flavonoids and their rhenium(I)-tricarbonyl complexes.

机构信息

Laboratories of Pharmaceutical Chemistry and of Pharmacology, School of Pharmacy, Faculty of Health Sciences, Aristotle University of Thessaloniki, 54124, Thessaloniki, Greece.

Department of Neurology, University Medical Center Göttingen and the German Center for Neurodegenerative Diseases (DZNE), Göttingen, Germany.

出版信息

J Biol Inorg Chem. 2023 Mar;28(2):235-247. doi: 10.1007/s00775-022-01986-9. Epub 2023 Jan 25.

Abstract

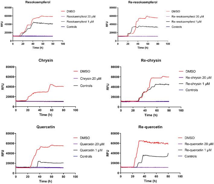
This study aims at the synthesis and initial biological evaluation of novel rhenium-tricarbonyl complexes of 3,3',4',5,7-pentahydroxyflavone (quercetin), 3,7,4΄-trihydroxyflavone (resokaempferol), 5,7-dihydroxyflavone (chrysin) and 4΄,5,7-trihydroxyflavonone (naringenin) as neuroprotective and anti-PrP agents. Resokaempferol was synthesized from 2,2΄,4-trihydroxychalcone by HO/NaOH. The rhenium-tricarbonyl complexes of the type fac-[Re(CO)(Fl)(sol)] were synthesized by reacting the precursor fac-[Re(CO)(sol)] with an equimolar amount of the flavonoids (Fl) quercetin, resokaempferol, chrysin and naringenin and the solvent (sol) was methanol or water. The respective Re-flavonoid complexes were purified by semi-preparative HPLC and characterized by spectroscopic methods. Furthermore, the structure of Re-chrysin was elucidated by X-ray crystallography. Initial screening of the neuroprotective properties of these compounds included the in vitro assessment of the antioxidant properties by the DPPH assay as well as the anti-lipid peroxidation of linoleic acid in the presence of AAPH and their ability to inhibit soybean lipoxygenase. From the above studies, it was concluded that the complexes' properties are mainly correlated with the structural characteristics and the presence of the flavonoids. The flavonoids and their respective Re-complexes were also tested in vitro for their ability to inhibit the formation and aggregation of the amyloid-like abnormal prion protein, PrP, by employing the real-time quaking-induced conversion assay with recombinant PrP seeded with cerebrospinal fluid from patients with Creutzfeldt-Jakob disease. All the compounds blocked de novo abnormal PrP formation and aggregation.

摘要

本研究旨在合成新型铼三羰基配合物,并对其进行初步的生物学评价,所用配体为 3,3',4',5,7-五羟基黄酮(槲皮素)、3,7,4'-三羟基黄酮(瑞香素)、5,7-二羟基黄酮(白杨素)和 4',5,7-三羟基黄酮(柚皮素),这些配合物具有神经保护和抗 PrP 作用。瑞香素由 2,2',4-三羟基查耳酮经 HO/NaOH 合成。铼三羰基配合物 fac-[Re(CO)(Fl)(sol)] 通过与等摩尔量的黄酮类化合物(Fl)槲皮素、瑞香素、白杨素和柚皮素以及溶剂(sol)甲醇或水反应合成。所得的 Re-黄酮类配合物通过半制备 HPLC 进行纯化,并通过光谱方法进行表征。此外,Re-白杨素的结构通过 X 射线晶体学阐明。这些化合物的神经保护特性的初步筛选包括通过 DPPH 测定评估抗氧化性质,以及在 AAPH 存在下评估亚油酸的抗脂质过氧化作用,以及它们抑制大豆脂氧合酶的能力。从上述研究中可以得出结论,配合物的性质主要与结构特征和黄酮类化合物的存在有关。还通过实时 quaking 诱导转化测定,用克雅氏病患者的脑脊液接种重组 PrP,测试了黄酮类化合物及其各自的 Re 配合物抑制淀粉样异常朊病毒蛋白 PrP 形成和聚集的能力。所有化合物均能阻断新形成的异常 PrP 的形成和聚集。

https://cdn.ncbi.nlm.nih.gov/pmc/blobs/b5b8/9981504/09aa59019713/775_2022_1986_Fig1_HTML.jpg

文献检索

告别复杂PubMed语法,用中文像聊天一样搜索,搜遍4000万医学文献。AI智能推荐,让科研检索更轻松。

立即免费搜索

文件翻译

保留排版,准确专业,支持PDF/Word/PPT等文件格式,支持 12+语言互译。

免费翻译文档

深度研究

AI帮你快速写综述,25分钟生成高质量综述,智能提取关键信息,辅助科研写作。

立即免费体验