Suppr超能文献

利用分离的同属自源菌株进行两步控制发酵提高三种蔬菜的抗氧化能力

Improved antioxidant capacity of three vegetables by two-step controlled fermentation using isolated autochthone strains of the genus spp. and spp.

作者信息

Parada Romina B, Marguet Emilio, Campos Carmen, Vallejo Marisol

机构信息

Bacterial Biotechnology Laboratory (BBL). Faculty of Natural Sciences and Health Sciences, National University of Patagonia San Juan Bosco, 9 Julio Street, 25, Chubut, Argentina.

BBL-CONICET, 9 Julio Street, 25, Chubut, Argentina.

出版信息

Food Chem (Oxf). 2023 Jan 16;6:100163. doi: 10.1016/j.fochms.2023.100163. eCollection 2023 Jul 30.

Abstract

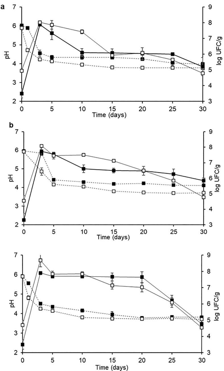
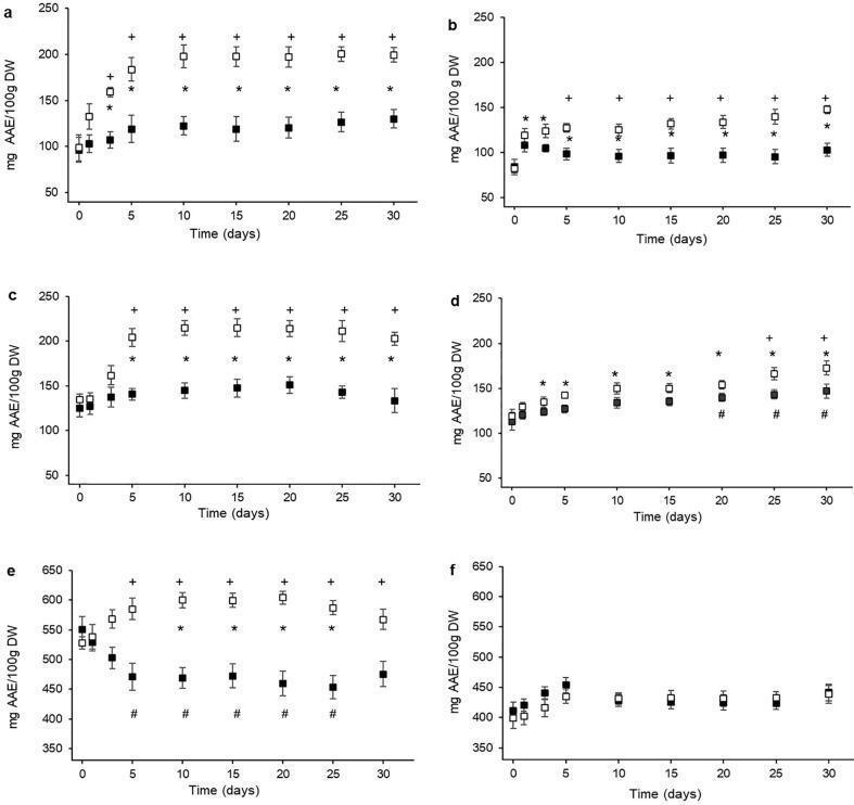
The aim of this study was to determine the evolution of total phenolic content and antioxidant activity during controlled fermentation of three different Brassicaceae and compare it with spontaneous fermentations. The two-step controlled fermentation was carried out with lactic acid bacteria selected by their biotechnological properties. The selected bacteria were genotypically identified as ssp. , ssp. , ssp. , and . The total phenolic content did not show a trend when comparing the different fermentations; it depended on the type of extract and vegetable. The controlled fermentation exhibited higher antioxidant activity than spontaneous fermentations for all the vegetables during the process. The extracts of red cabbage exhibited a total phenolic content and antioxidant activity higher than chinese and white cabbage, regardless of the type of fermentation.

摘要

本研究的目的是确定三种不同十字花科植物在受控发酵过程中总酚含量和抗氧化活性的变化,并将其与自然发酵进行比较。采用具有生物技术特性的乳酸菌进行两步受控发酵。所选细菌经基因鉴定为 亚种、 亚种、 亚种和 。比较不同发酵过程时,总酚含量未呈现出特定趋势;它取决于提取物和蔬菜的种类。在整个过程中,所有蔬菜的受控发酵均比自然发酵表现出更高的抗氧化活性。无论发酵类型如何,紫甘蓝提取物的总酚含量和抗氧化活性均高于白菜和卷心菜。

https://cdn.ncbi.nlm.nih.gov/pmc/blobs/f66d/9869414/61f7be584a68/gr1.jpg

文献检索

告别复杂PubMed语法,用中文像聊天一样搜索,搜遍4000万医学文献。AI智能推荐,让科研检索更轻松。

立即免费搜索

文件翻译

保留排版,准确专业,支持PDF/Word/PPT等文件格式,支持 12+语言互译。

免费翻译文档

深度研究

AI帮你快速写综述,25分钟生成高质量综述,智能提取关键信息,辅助科研写作。

立即免费体验