Suppr超能文献

趋化因子样因子样含MARVEL跨膜结构域蛋白6:多形性胶质母细胞瘤的生物信息学与实验分析

Chemokine-like factor-like MARVEL transmembrane domain containing 6: Bioinformatics and experiments analyze in glioblastoma multiforme.

作者信息

Meng Haining, Li Shaohua, Li Qingshu, Wang Yuqin, Wang Guoan, Qu Yan

机构信息

Department of Emergency Medicine, Medical College of Qingdao University, Qingdao, Shandong, China.

Department of Intensive Care Unit, Affiliated Qingdao Municipal Hospital of Qingdao University, Qingdao, Shandong, China.

出版信息

Front Mol Neurosci. 2023 Jan 9;15:1026927. doi: 10.3389/fnmol.2022.1026927. eCollection 2022.

Abstract

INTRODUCTION

Chemokine-like factor (CKLF)-like MARVEL transmembrane domain containing 6 (CMTM6) is a protein localized to the cell membrane and is known for its ability to co-localize with PD-L1 on the plasma membrane, prevent PD-L1 degradation, and maintain PD-L1 expression on the cell membrane. CMTM6 is highly expressed and plays an important role in various tumors such as oral squamous cell carcinoma (OSCC) and colorectal cancer (CRC), however, its role in Glioblastoma multiforme (GBM) is unclear.

METHODS

In this paper, to investigate the role of CMTM6 in GBM, we analyzed the expression of CMTM6 in GBM, the interaction with CMTM6 and the associated genes by bioinformatics. Importantly, we analyzed the expression of CMTM6 in GBM in relation to tumor-infiltrating lymphocytes (TILs), immunoinhibitors, immunostimulators, chemokines and chemokine receptors. We further analyzed the function of CMTM6 and performed experiments to verify it. Finally, the sensitivity of CMTM6 to drugs was also analyzed and the relationship between CMTM6 and the anticancer drug Piperlonguminine (PL) was verified .

RESULTS

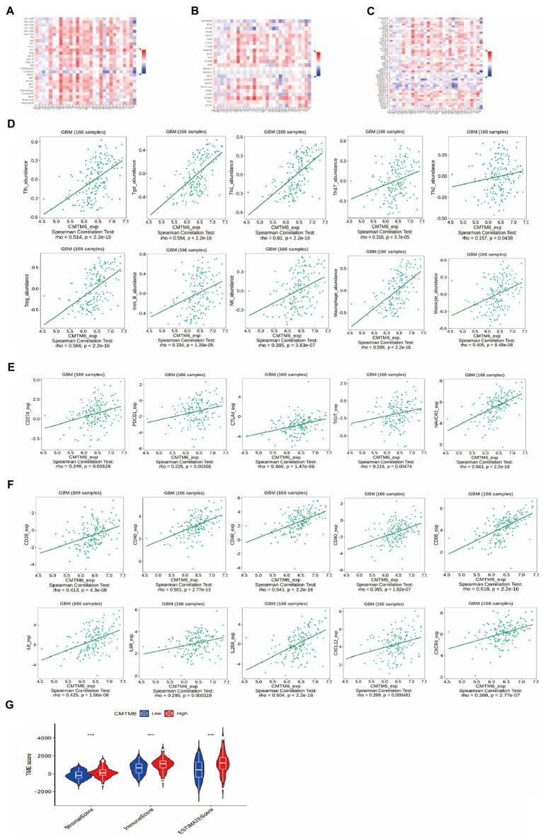
The results showed that CMTM6 was highly expressed in GBM and correlated with multiple genes. Furthermore, CMTM6 is closely related to the immune microenvironment and inflammatory response in GBM. Bioinformatic analysis of CMTM6 correlated with the function of GBM, and our experiments demonstrated that CMTM6 significantly promoted the migration of GBM cells and epithelial-mesenchymal transition (EMT), but had no significant effect on other functions. Interestingly, we found that in GBM, PL promotes the expression of CMTM6.

DISCUSSION

In this paper, we have performed a detailed analysis and validation of the role of CMTM6 in GBM using bioinformatics analysis and in vitro experiments to demonstrate that CMTM6 may be a potential target for glioma therapy.

摘要

引言

趋化因子样因子(CKLF)样含MARVEL跨膜结构域6(CMTM6)是一种定位于细胞膜的蛋白质,以其能够与质膜上的程序性死亡配体1(PD-L1)共定位、防止PD-L1降解并维持细胞膜上PD-L1的表达而闻名。CMTM6在多种肿瘤如口腔鳞状细胞癌(OSCC)和结直肠癌(CRC)中高表达并发挥重要作用,然而,其在多形性胶质母细胞瘤(GBM)中的作用尚不清楚。

方法

在本文中,为了研究CMTM6在GBM中的作用,我们通过生物信息学分析了GBM中CMTM6的表达、CMTM6与相关基因的相互作用。重要的是,我们分析了GBM中CMTM6的表达与肿瘤浸润淋巴细胞(TILs)、免疫抑制剂、免疫刺激剂、趋化因子和趋化因子受体的关系。我们进一步分析了CMTM6的功能并进行实验验证。最后,还分析了CMTM6对药物的敏感性并验证了CMTM6与抗癌药物胡椒碱(PL)之间的关系。

结果

结果表明,CMTM6在GBM中高表达且与多个基因相关。此外,CMTM6与GBM中的免疫微环境和炎症反应密切相关。对CMTM6的生物信息学分析与GBM的功能相关,我们的实验表明,CMTM6显著促进GBM细胞的迁移和上皮-间质转化(EMT),但对其他功能无显著影响。有趣的是,我们发现,在GBM中,PL促进CMTM6的表达。

讨论

在本文中,我们使用生物信息学分析和体外实验对CMTM6在GBM中的作用进行了详细分析和验证,以证明CMTM6可能是胶质瘤治疗的潜在靶点。

https://cdn.ncbi.nlm.nih.gov/pmc/blobs/8f28/9869805/3e49aa93f15a/fnmol-15-1026927-g001.jpg

文献检索

告别复杂PubMed语法,用中文像聊天一样搜索,搜遍4000万医学文献。AI智能推荐,让科研检索更轻松。

立即免费搜索

文件翻译

保留排版,准确专业,支持PDF/Word/PPT等文件格式,支持 12+语言互译。

免费翻译文档

深度研究

AI帮你快速写综述,25分钟生成高质量综述,智能提取关键信息,辅助科研写作。

立即免费体验