Suppr超能文献

连续输注血管紧张素 II 引起大鼠血压变异性增加的机制分析。

Analysis of Mechanisms for Increased Blood Pressure Variability in Rats Continuously Infused with Angiotensin II.

机构信息

Frontier Science Research Center, University of Miyazaki Faculty of Medicine, Miyazaki 889-1692, Japan.

Department of Hemo-Vascular Advanced Medicine, University of Miyazaki Faculty of Medicine, Miyazaki 889-1692, Japan.

出版信息

J Renin Angiotensin Aldosterone Syst. 2023 Jan 4;2023:4201342. doi: 10.1155/2023/4201342. eCollection 2023.

Abstract

OBJECTIVE

We reported that rats infused with angiotensin II (Ang II) are not only a model of hypertension but also of augmented 24 h blood pressure variability (BPV). In this study, we examined the mechanisms for Ang II-induced BPV, focusing on BP, heart rate (HR), baroreceptor reflex sensitivity (BRS), and medial area of the aortic arch.

METHODS

Nine-week-old male Wistar rats were infused with subcutaneous 5.2 g/kg/h Ang II with or without oral administration with 30 mg/kg/day azelnidipine for 14 days. BP and HR were recorded every 15 min under an unrestrained condition by a radiotelemetry system, while BPV was evaluated by standard deviation of BP. BRS was quantified by a sequence analysis, and medial thickness of the aortic arch was measured by microscopic examination.

RESULTS

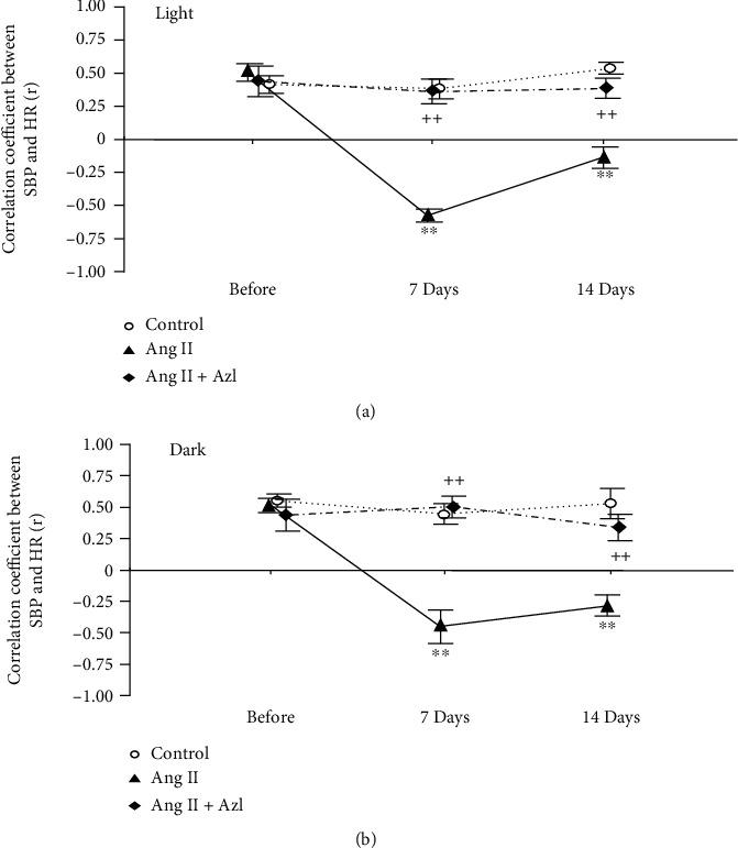
BPV increased at days 7 and 14 following continuous infusion of Ang II. Before the infusion, a positive correlation was found between BP and HR, but it became negative at day 7 and then weakened or disappeared at day 14. BRS was slightly impaired at day 7 and significantly lowered at day 14, a phenomenon accompanied by thickened medial area of the aortic arch in Ang II-infused rats. Those Ang II-induced alterations were all significantly attenuated by azelnidipine.

CONCLUSIONS

The present findings suggest sequential changes in the mechanisms behind augmented BPV in rats continuously infused with Ang II over 14 days.

摘要

目的

我们曾报道过,输注血管紧张素 II(Ang II)的大鼠不仅是高血压模型,而且还具有增强的 24 小时血压变异性(BPV)。在这项研究中,我们研究了 Ang II 引起的 BPV 的机制,重点关注血压、心率(HR)、压力感受器反射敏感性(BRS)和主动脉弓中层面积。

方法

将 9 周龄雄性 Wistar 大鼠皮下输注 5.2 g/kg/h Ang II,并用或不用口服 30 mg/kg/天的阿折地平治疗 14 天。通过无线电遥测系统在不受限制的条件下每 15 分钟记录一次 BP 和 HR,通过标准偏差评估 BPV。通过序列分析量化 BRS,通过显微镜检查测量主动脉弓中层厚度。

结果

在连续输注 Ang II 的第 7 和 14 天,BPV 增加。输注前,BP 与 HR 之间存在正相关,但在第 7 天变为负相关,然后在第 14 天减弱或消失。BRS 在第 7 天略有受损,在第 14 天显著降低,这种现象伴随着 Ang II 输注大鼠主动脉弓中层面积增厚。阿折地平显著减轻了 Ang II 引起的这些改变。

结论

本研究结果提示,连续输注 Ang II 14 天后大鼠增强的 BPV 背后的机制发生了顺序变化。

https://cdn.ncbi.nlm.nih.gov/pmc/blobs/c629/9833913/8d494f69b1a2/JRAAS2023-4201342.001.jpg

文献AI研究员

20分钟写一篇综述,助力文献阅读效率提升50倍。

立即体验

用中文搜PubMed

大模型驱动的PubMed中文搜索引擎

马上搜索

文档翻译

学术文献翻译模型,支持多种主流文档格式。

立即体验