• 文献检索
  • 文档翻译
  • 深度研究
  • 学术资讯
  • Suppr Zotero 插件Zotero 插件
  • 邀请有礼
  • 套餐&价格
  • 历史记录
应用&插件
Suppr Zotero 插件Zotero 插件浏览器插件Mac 客户端Windows 客户端微信小程序
定价
高级版会员购买积分包购买API积分包
服务
文献检索文档翻译深度研究API 文档MCP 服务
关于我们
关于 Suppr公司介绍联系我们用户协议隐私条款
关注我们

Suppr 超能文献

核心技术专利:CN118964589B侵权必究
粤ICP备2023148730 号-1Suppr @ 2026

文献检索

告别复杂PubMed语法,用中文像聊天一样搜索,搜遍4000万医学文献。AI智能推荐,让科研检索更轻松。

立即免费搜索

文件翻译

保留排版,准确专业,支持PDF/Word/PPT等文件格式,支持 12+语言互译。

免费翻译文档

深度研究

AI帮你快速写综述,25分钟生成高质量综述,智能提取关键信息,辅助科研写作。

立即免费体验

CO₂-盐水-岩石相互作用对CO₂驱替过程中致密砂岩孔隙结构的影响:以中国鄂尔多斯盆地三叠系延长组长7段为例

Effect of CO-Brine-Rock Interactions on the Pore Structure of the Tight Sandstone during CO Flooding: A Case Study of Chang 7 Member of the Triassic Yanchang Formation in the Ordos Basin, China.

作者信息

Wang Wei, Li Xinyu, Wei Zhikun, Xin Yuandan, Xiao Rong, Yang Hongxin, Chen Xiaoliang

机构信息

College of Chemistry and Chemical Engineering, Yulin University, Yulin 719000, Shaanxi, P. R. China.

No. 1 Oil Production Plant, Petrochina Changqing Oilfield Company, Yan'an 716000, Shaanxi, P. R. China.

出版信息

ACS Omega. 2023 Jan 17;8(4):3998-4009. doi: 10.1021/acsomega.2c06805. eCollection 2023 Jan 31.

DOI:10.1021/acsomega.2c06805
PMID:36743022
原文链接:https://pmc.ncbi.nlm.nih.gov/articles/PMC9893740/
Abstract

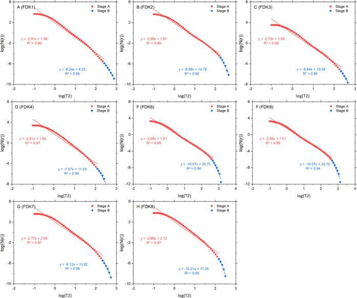
CO flooding is an effective technique to enhance oil recovery from tight sandstone reservoirs. The CO-rich fluid reacts with the in situ minerals and results in the corrosion and precipitation of minerals in the sandstone, affecting the connectivity and morphological features of pores. However, the diagenesis of the tight sandstone is complex, and the structural modification behavior and mechanism in different lithofacies of tight sandstone during CO flooding are still unclear. This study combined CO flooding, thin-section casting, scanning electron microscopy, nuclear magnetic resonance, X-ray diffraction, and fractal analysis methods to investigate the changes in the pore structure of tight sandstone after CO flooding. The results show that the cement of the tight sandstone is complex and diverse. The tight sandstone can be divided into two types of lithofacies: clay cementation (CL) and ferrocalcite cementation (CA). The mineralogical alterations occur differently in each lithofacies of tight sandstone. Alterations in the cement minerals affect the pores morphology of tight sandstone depending on their mineralogical structure and texture, and the CO flooding mainly changes the micromorphology and heterogeneity of large pores. Clay minerals dominate the cement in the CL lithofacies of tight sandstone. The dissolution mainly occurs in small pores because the precipitation of new minerals and exfoliation of skeleton particles partially block large pores and transform them into small pores. Thus, the number of small pores of CL lithofacies increases while the number of large pores decreases. Such a phenomenon hinders the increase in porosity and permeability. On the other side, in the CA lithofacies of tight sandstone, the cement is dominated by ferrocalcite, and the dissolution of ferrocalcite is the primary mechanism of mineralogical alteration. As the ferrocalcite dissolution expands, it creates new flow paths, improving the connectivity of pores. The petrophysical properties of CA lithofacies improve significantly after CO flooding. There is a crucial need to study the changes in diagenetic characteristics of tight sandstone due to CO flooding. Such type of study provides insights related to the improvement and evaluation of the development of tight sandstone reservoirs during CO flooding.

摘要

CO驱油是提高致密砂岩油藏采收率的有效技术。富含CO的流体与储层中的矿物发生反应,导致砂岩中矿物的腐蚀和沉淀,影响孔隙的连通性和形态特征。然而,致密砂岩的成岩作用复杂,CO驱油过程中致密砂岩不同岩相的结构改造行为及机制尚不清楚。本研究结合CO驱油、薄片铸体、扫描电子显微镜、核磁共振、X射线衍射和分形分析方法,研究了CO驱油后致密砂岩孔隙结构的变化。结果表明,致密砂岩的胶结物复杂多样。致密砂岩可分为粘土胶结(CL)和铁方解石胶结(CA)两种岩相。致密砂岩各岩相的矿物学变化不同。胶结矿物的变化根据其矿物结构和纹理影响致密砂岩的孔隙形态,CO驱油主要改变大孔隙的微观形态和非均质性。粘土矿物在致密砂岩CL岩相的胶结物中占主导地位。溶解主要发生在小孔隙中,因为新矿物的沉淀和骨架颗粒的剥落部分堵塞了大孔隙并将其转化为小孔隙。因此,CL岩相的小孔隙数量增加而大孔隙数量减少。这种现象阻碍了孔隙度和渗透率的增加。另一方面,在致密砂岩的CA岩相中,胶结物以铁方解石为主,铁方解石的溶解是矿物学变化的主要机制。随着铁方解石溶解的扩大,形成了新的流动通道,改善了孔隙的连通性。CO驱油后CA岩相的岩石物理性质显著改善。迫切需要研究CO驱油导致的致密砂岩成岩特征变化。这类研究为CO驱油过程中致密砂岩油藏开发的改进和评价提供了见解。

https://cdn.ncbi.nlm.nih.gov/pmc/blobs/9783/9893740/4d8a5a172e99/ao2c06805_0012.jpg
https://cdn.ncbi.nlm.nih.gov/pmc/blobs/9783/9893740/d4996450826a/ao2c06805_0002.jpg
https://cdn.ncbi.nlm.nih.gov/pmc/blobs/9783/9893740/20afc085cd0f/ao2c06805_0003.jpg
https://cdn.ncbi.nlm.nih.gov/pmc/blobs/9783/9893740/49ded6fd3a0e/ao2c06805_0004.jpg
https://cdn.ncbi.nlm.nih.gov/pmc/blobs/9783/9893740/ade9154fbb0e/ao2c06805_0005.jpg
https://cdn.ncbi.nlm.nih.gov/pmc/blobs/9783/9893740/e365dfcc15ae/ao2c06805_0006.jpg
https://cdn.ncbi.nlm.nih.gov/pmc/blobs/9783/9893740/f968b7f0452b/ao2c06805_0007.jpg
https://cdn.ncbi.nlm.nih.gov/pmc/blobs/9783/9893740/53d0281db2b1/ao2c06805_0008.jpg
https://cdn.ncbi.nlm.nih.gov/pmc/blobs/9783/9893740/ab1f7cb96b87/ao2c06805_0009.jpg
https://cdn.ncbi.nlm.nih.gov/pmc/blobs/9783/9893740/76f77804fffd/ao2c06805_0010.jpg
https://cdn.ncbi.nlm.nih.gov/pmc/blobs/9783/9893740/3bb798b270e6/ao2c06805_0011.jpg
https://cdn.ncbi.nlm.nih.gov/pmc/blobs/9783/9893740/4d8a5a172e99/ao2c06805_0012.jpg
https://cdn.ncbi.nlm.nih.gov/pmc/blobs/9783/9893740/d4996450826a/ao2c06805_0002.jpg
https://cdn.ncbi.nlm.nih.gov/pmc/blobs/9783/9893740/20afc085cd0f/ao2c06805_0003.jpg
https://cdn.ncbi.nlm.nih.gov/pmc/blobs/9783/9893740/49ded6fd3a0e/ao2c06805_0004.jpg
https://cdn.ncbi.nlm.nih.gov/pmc/blobs/9783/9893740/ade9154fbb0e/ao2c06805_0005.jpg
https://cdn.ncbi.nlm.nih.gov/pmc/blobs/9783/9893740/e365dfcc15ae/ao2c06805_0006.jpg
https://cdn.ncbi.nlm.nih.gov/pmc/blobs/9783/9893740/f968b7f0452b/ao2c06805_0007.jpg
https://cdn.ncbi.nlm.nih.gov/pmc/blobs/9783/9893740/53d0281db2b1/ao2c06805_0008.jpg
https://cdn.ncbi.nlm.nih.gov/pmc/blobs/9783/9893740/ab1f7cb96b87/ao2c06805_0009.jpg
https://cdn.ncbi.nlm.nih.gov/pmc/blobs/9783/9893740/76f77804fffd/ao2c06805_0010.jpg
https://cdn.ncbi.nlm.nih.gov/pmc/blobs/9783/9893740/3bb798b270e6/ao2c06805_0011.jpg
https://cdn.ncbi.nlm.nih.gov/pmc/blobs/9783/9893740/4d8a5a172e99/ao2c06805_0012.jpg

相似文献

1
Effect of CO-Brine-Rock Interactions on the Pore Structure of the Tight Sandstone during CO Flooding: A Case Study of Chang 7 Member of the Triassic Yanchang Formation in the Ordos Basin, China.CO₂-盐水-岩石相互作用对CO₂驱替过程中致密砂岩孔隙结构的影响:以中国鄂尔多斯盆地三叠系延长组长7段为例
ACS Omega. 2023 Jan 17;8(4):3998-4009. doi: 10.1021/acsomega.2c06805. eCollection 2023 Jan 31.
2
Classifications of the Reservoir Space of Tight Sandstone Based on Pore Structure, Connectivity, and Fractal Character: A Case Study from the Chang 7 Member of the Triassic Yanchang Formation in the Ordos Basin, China.基于孔隙结构、连通性和分形特征的致密砂岩储集空间分类:以中国鄂尔多斯盆地三叠系延长组长7段为例
ACS Omega. 2022 Mar 15;7(12):10627-10637. doi: 10.1021/acsomega.2c00252. eCollection 2022 Mar 29.
3
Research on the Diagenetic Facies Division and Pore Structure Characteristics of the Chang 6 Member in the Huaqing Oilfield, Ordos Basin.鄂尔多斯盆地华庆油田长6油层组成岩相划分及孔隙结构特征研究
ACS Omega. 2024 Jun 4;9(24):26363-26379. doi: 10.1021/acsomega.4c02550. eCollection 2024 Jun 18.
4
Pore Structure and Fractal Characteristics of Tight Sandstones Based on Nuclear Magnetic Resonance: A Case Study in the Triassic Yanchang Formation of the Ordos Basin, China.基于核磁共振的致密砂岩孔隙结构与分形特征:以中国鄂尔多斯盆地三叠系延长组为例
ACS Omega. 2023 Apr 28;8(18):16284-16297. doi: 10.1021/acsomega.3c00937. eCollection 2023 May 9.
5
Pore Structure and Movable Fluid Characteristics of Typical Sedimentary Lithofacies in a Tight Conglomerate Reservoir, Mahu Depression, Northwest China.中国西北玛湖凹陷致密砾岩油藏典型沉积岩相孔隙结构及可动流体特征
ACS Omega. 2021 Sep 2;6(36):23243-23261. doi: 10.1021/acsomega.1c02952. eCollection 2021 Sep 14.
6
Research on the microscopic pore-throat structure and reservoir quality of tight sandstone using fractal dimensions.基于分形维数的致密砂岩微观孔喉结构与储层质量研究
Sci Rep. 2024 Oct 1;14(1):22825. doi: 10.1038/s41598-024-74101-4.
7
Pore Structures and Evolution Model of Reservoirs in Different Secondary Structural Zones in the Eocene Shahejie Formation, Chezhen Sag, Bohai Bay Basin.渤海湾盆地车镇凹陷始新统沙河街组不同二级构造带储层孔隙结构及演化模式
ACS Omega. 2024 May 14;9(21):22952-22969. doi: 10.1021/acsomega.4c02106. eCollection 2024 May 28.
8
Study on the Occurrence Characteristics of the Remaining Oil in Sandstone Reservoirs with Different Permeability after Polymer Flooding.聚合物驱后不同渗透率砂岩油藏剩余油分布特征研究
Polymers (Basel). 2024 Jul 2;16(13):1902. doi: 10.3390/polym16131902.
9
Microscopic Mechanism of CO Displacement Oil in Different Pore Throat Radius Segments of Tight Sandstone Reservoirs.致密砂岩储层不同孔喉半径段CO驱替原油的微观机理
ACS Omega. 2024 Jul 29;9(32):35113-35130. doi: 10.1021/acsomega.4c05324. eCollection 2024 Aug 13.
10
Full-Scale Experimental Study on the Effect of CO Flooding on Storage-Seepage Capacity of Tight Sandstone Reservoirs.CO2驱替对致密砂岩储层储渗能力影响的全尺寸实验研究
ACS Omega. 2023 Mar 22;8(13):11897-11907. doi: 10.1021/acsomega.2c07247. eCollection 2023 Apr 4.

引用本文的文献

1
Numerical Simulation Study of the Operating Characteristics of Attached-Wall Bistable Jet Elements.附壁双稳射流元件工作特性的数值模拟研究
ACS Omega. 2024 May 30;9(23):25344-25355. doi: 10.1021/acsomega.4c03451. eCollection 2024 Jun 11.
2
Study on Reservoir Characteristics and 3D Spatial Carving of Fault Solution Reservoirs Based on Geophysical Methods.基于地球物理方法的断层溶解储层储层特征及三维空间刻画研究
ACS Omega. 2024 May 16;9(21):22719-22733. doi: 10.1021/acsomega.4c00706. eCollection 2024 May 28.
3
Research on the Shale Reservoir Sensitivity by Using the Mineral Analysis Method.

本文引用的文献

1
Classifications of the Reservoir Space of Tight Sandstone Based on Pore Structure, Connectivity, and Fractal Character: A Case Study from the Chang 7 Member of the Triassic Yanchang Formation in the Ordos Basin, China.基于孔隙结构、连通性和分形特征的致密砂岩储集空间分类:以中国鄂尔多斯盆地三叠系延长组长7段为例
ACS Omega. 2022 Mar 15;7(12):10627-10637. doi: 10.1021/acsomega.2c00252. eCollection 2022 Mar 29.
2
Geochemical controls on CO interactions with deep subsurface shales: implications for geologic carbon sequestration.地球化学控制深部地下页岩中 CO 的相互作用:对地质碳封存的意义。
Environ Sci Process Impacts. 2021 Sep 23;23(9):1278-1300. doi: 10.1039/d1em00109d.
3
利用矿物分析方法对页岩储层敏感性的研究
ACS Omega. 2024 Apr 25;9(18):20196-20205. doi: 10.1021/acsomega.4c00498. eCollection 2024 May 7.
4
Characterization of Lower Paleozoic Water and Gas Distribution in Yan'an Gas Field, Ordos Basin.鄂尔多斯盆地延安气田下古生界水气运聚特征
ACS Omega. 2024 Feb 12;9(8):9728-9734. doi: 10.1021/acsomega.3c09928. eCollection 2024 Feb 27.
5
Construction and Application of a Big Data System for Regional Lakes in Coalbed Methane Development.煤层气开发区域湖泊大数据系统的构建与应用
ACS Omega. 2023 May 11;8(20):18323-18331. doi: 10.1021/acsomega.3c02367. eCollection 2023 May 23.
Impacts of geochemical reactions on geologic carbon sequestration.
地球化学反应对地质碳封存的影响。
Environ Sci Technol. 2013 Jan 2;47(1):3-8. doi: 10.1021/es3027133.