Suppr超能文献

近期感染中度 COVID-19 患者与健康参与者的膈肌和腹肌的超声影像学评估:一项横断面初步研究。

Ultrasound imaging assessment of the diaphragm and abdominal muscles in people with a recent history of moderate Covid-19 infection and healthy participants: A cross-sectional pilot study.

机构信息

Faculty of Sport Sciences, Universidad Europea de Madrid, Villaviciosa de Odón, Madrid, Spain.

Centre of Precision Rehabilitation for Spinal Pain (CPR Spine), School of Sport, Exercise and Rehabilitation Sciences, College of Life and Environmental Sciences, University of Birmingham, Edgbaston, Birmingham, United Kingdom.

出版信息

PLoS One. 2023 Feb 10;18(2):e0281098. doi: 10.1371/journal.pone.0281098. eCollection 2023.

Abstract

UNLABELLED

Coronavirus disease (Covid-19) is a highly infectious disease caused by the SARS-CoV-2 virus and is associated with a decrease of respiratory, physical, and psychological function, subsequently affecting quality of life. The aim of the present pilot study was to use ultrasound imaging (USI) to evaluate and compare the thickness of the diaphragm and abdominal muscles between individuals recently diagnosed with moderate Covid-19 infection and healthy individuals.

METHODS

A cross-sectional observational pilot study was performed. A total sample of 24 participants were recruited from a private medical center (Madrid, Spain): Covid-19 (n = 12) and healthy controls (n = 12). The external oblique (EO), internal oblique (IO), transversus abdominis (TrA), rectus abdominis (RA), interrecti distance (IRD) and diaphragm thickness were assessed using USI during inspiration, expiration and during contraction.

RESULTS

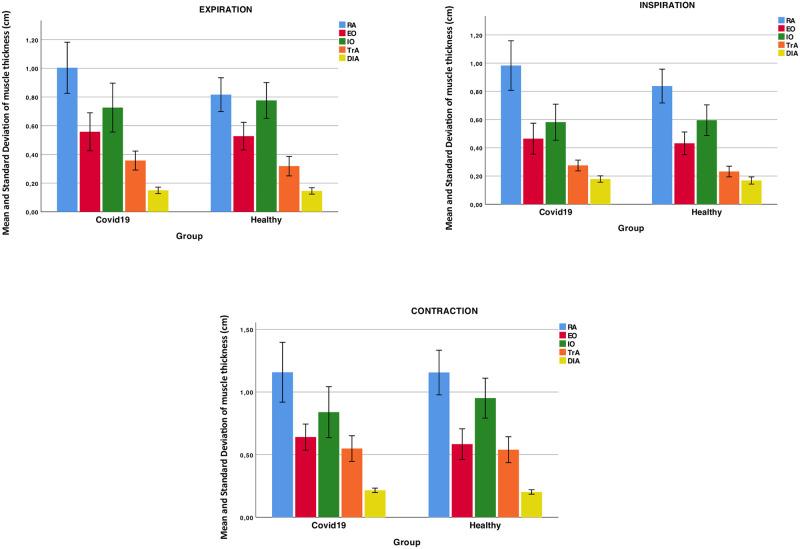
USI measurements of the thickness of EO, IO, TrA, RA, IRD and the diaphragm did not differ significantly between groups during inspiration, expiration or during contraction (all P > 0.05).

CONCLUSIONS

These preliminary results suggest that the morphology of the abdominal muscles and diaphragm is not altered in people with a recent history of moderate Covid-19 infection.

摘要

目的

本初步研究旨在使用超声成像(USI)评估和比较近期诊断为中度 COVID-19 感染的个体与健康个体之间的膈肌和腹肌厚度。

方法

进行了一项横断面观察性初步研究。从一家私人医疗中心(西班牙马德里)招募了总共 24 名参与者:COVID-19(n=12)和健康对照组(n=12)。在吸气、呼气和收缩期间使用 USI 评估腹外斜肌(EO)、腹内斜肌(IO)、横膈肌(TrA)、腹直肌(RA)、内收肌间距离(IRD)和膈肌厚度。

结果

在吸气、呼气或收缩期间,两组之间的 EO、IO、TrA、RA、IRD 和膈肌厚度的 USI 测量值没有显著差异(均 P>0.05)。

结论

这些初步结果表明,近期有中度 COVID-19 感染史的人群中,腹部肌肉和膈肌的形态未发生改变。

https://cdn.ncbi.nlm.nih.gov/pmc/blobs/41bd/9916597/d816fa091549/pone.0281098.g001.jpg

文献检索

告别复杂PubMed语法,用中文像聊天一样搜索,搜遍4000万医学文献。AI智能推荐,让科研检索更轻松。

立即免费搜索

文件翻译

保留排版,准确专业,支持PDF/Word/PPT等文件格式,支持 12+语言互译。

免费翻译文档

深度研究

AI帮你快速写综述,25分钟生成高质量综述,智能提取关键信息,辅助科研写作。

立即免费体验