Moreira Ana S P, Gonçalves Joana, Sousa Francisco, Maia Inês, Pereira Hugo, Silva Joana, Coimbra Manuel A, Ferreira Paula, Nunes Cláudia
Department of Chemistry, CICECO-Aveiro Institute of Materials, University of Aveiro, Campus Universitário de Santiago, 3810-193 Aveiro, Portugal.
LAQV-REQUIMTE-Associated Laboratory for Green Chemistry of the Network of Chemistry and Technology, Department of Chemistry, University of Aveiro, Campus Universitário de Santiago, 3810-193 Aveiro, Portugal.
Foods. 2023 Jan 23;12(3):513. doi: 10.3390/foods12030513.
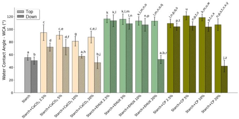
Coccolithophore microalgae, such as (EHUX) and (CP), are composed of calcium carbonate (CaCO) and contain bioactive compounds that can be explored to produce sustainable food packaging. In this study, for the first time, these microalgae were incorporated as fillers in starch-based films, envisioning the development of biodegradable and bioactive materials for food packaging applications. The films were obtained by solvent casting using different proportions of the filler (2.5, 5, 10, and 20%, /). For comparison, commercial CaCO, used as filler in the plastic industry, was also tested. The incorporation of CaCO and microalgae (EHUX or CP) made the films significantly less rigid, decreasing Young's modulus up to 4.7-fold. Moreover, the incorporation of microalgae hydrophobic compounds as lipids turned the surface hydrophobic (water contact angles > 90°). Contrary to what was observed with commercial CaCO, the films prepared with microalgae exhibited antioxidant activity, increasing from 0.9% (control) up to 60.4% (EHUX 20%) of ABTS radical inhibition. Overall, the introduction of microalgae biomass improved hydrophobicity and antioxidant capacity of starch-based films. These findings should be considered for further research using coccolithophores to produce active and sustainable food packaging material.
颗石藻微藻,如(EHUX)和(CP),由碳酸钙(CaCO)组成,并含有可用于生产可持续食品包装的生物活性化合物。在本研究中,首次将这些微藻作为填料掺入淀粉基薄膜中,设想开发用于食品包装应用的可生物降解和生物活性材料。通过溶剂浇铸使用不同比例的填料(2.5%、5%、10%和20%,质量/质量)获得薄膜。为作比较,还测试了塑料工业中用作填料的商业碳酸钙。掺入碳酸钙和微藻(EHUX或CP)使薄膜的刚性显著降低,杨氏模量降低达4.7倍。此外,作为脂质的微藻疏水化合物的掺入使表面具有疏水性(水接触角>90°)。与商业碳酸钙的情况相反,用微藻制备的薄膜表现出抗氧化活性,ABTS自由基抑制率从0.9%(对照)增加到60.4%(EHUX 20%)。总体而言,微藻生物质的引入提高了淀粉基薄膜的疏水性和抗氧化能力。这些发现应在进一步研究中加以考虑,利用颗石藻生产活性和可持续的食品包装材料。