Suppr超能文献

对初次就诊于脊柱侧弯诊疗机构时可使用支具治疗的青少年脊柱侧弯曲线数量的检查。

An Examination of the Number of Adolescent Scoliotic Curves That Are Braceable at First Presentation to a Scoliosis Service.

作者信息

Hartley Laura, Jones Conor, Lui Darren, Bernard Jason, Bishop Timothy, Herzog Jan, Chan Daniel, Stokes Oliver, Gardner Adrian

机构信息

The Royal Orthopaedic Hospital, NHS Foundation Trust, Birmingham B31 2AP, UK.

The Royal Devon and Exeter, NHS Foundation Trust, Exeter EX2 5DW, UK.

出版信息

Healthcare (Basel). 2023 Feb 3;11(3):445. doi: 10.3390/healthcare11030445.

Abstract

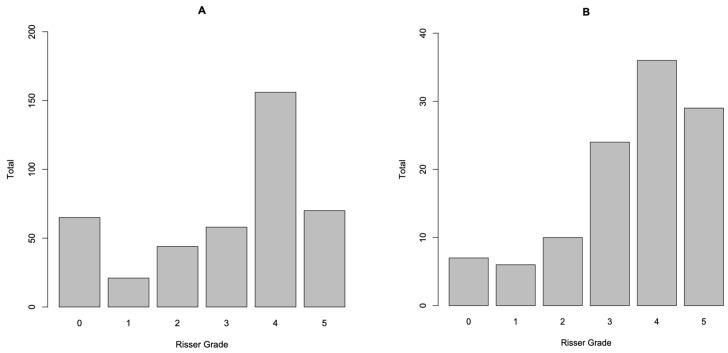
Adolescent idiopathic scoliosis (AIS) affects between 0.5% and 5.2% of adolescents and is progressive in two-thirds of cases. Bracing is an effective non-operative treatment for AIS and has been shown to prevent up to 72% of curves from requiring surgery. This paper explores the presentation of AIS in the UK and identifies who would be suitable for bracing, as per guidelines published by the Scoliosis Research Society (SRS) and British Scoliosis Society (BSS), through curve severity and skeletal maturity at presentation. There were 526 patients with AIS eligible for inclusion across three tertiary referral centres in the UK. The study period was individualised to each centre, between January 2012 and December 2021. Only 10% were appropriate for bracing via either SRS or BSS criteria. The rest were either too old, skeletally mature or had a curve size too large to benefit. By the end of data collection, 38% had undergone surgery for their scoliosis. In the UK, bracing for AIS is only suitable for a small number at presentation. Future efforts to minimise delays in specialist review and intervention will increase the number of those with AIS suitable for bracing and reduce the number and burden of operative interventions for AIS in the UK.

摘要

青少年特发性脊柱侧弯(AIS)影响着0.5%至5.2%的青少年,三分之二的病例会进展。支具治疗是AIS一种有效的非手术治疗方法,已证明可防止高达72%的侧弯发展到需要手术的程度。本文探讨了英国AIS的情况,并根据脊柱侧弯研究学会(SRS)和英国脊柱侧弯学会(BSS)发布的指南,通过就诊时的侧弯严重程度和骨骼成熟度,确定哪些人适合进行支具治疗。英国三个三级转诊中心共有526例符合纳入标准的AIS患者。研究期间因中心而异,为2012年1月至2021年12月。根据SRS或BSS标准,只有10%的患者适合支具治疗。其余患者要么年龄太大、骨骼已成熟,要么侧弯度数太大而无法从中获益。到数据收集结束时,38%的患者因脊柱侧弯接受了手术。在英国,就诊时只有少数AIS患者适合支具治疗。未来致力于尽量减少专科评估和干预的延迟,将增加适合支具治疗的AIS患者数量,并减少英国AIS手术干预的数量和负担。

https://cdn.ncbi.nlm.nih.gov/pmc/blobs/274b/9914198/95239f3afe15/healthcare-11-00445-g001.jpg

文献AI研究员

20分钟写一篇综述,助力文献阅读效率提升50倍。

立即体验

用中文搜PubMed

大模型驱动的PubMed中文搜索引擎

马上搜索

文档翻译

学术文献翻译模型,支持多种主流文档格式。

立即体验