Facultad de Ciencias Médicas, Escuela de Ciencias de la Actividad Física, el Deporte y la Salud, Universidad de Santiago de Chile (USACH), Santiago 9170022, Chile.
Sports Department, School of Physical Education and Sport, University of São Paulo, São Paulo 05594-110, Brazil.
Int J Environ Res Public Health. 2023 Jan 31;20(3):2570. doi: 10.3390/ijerph20032570.
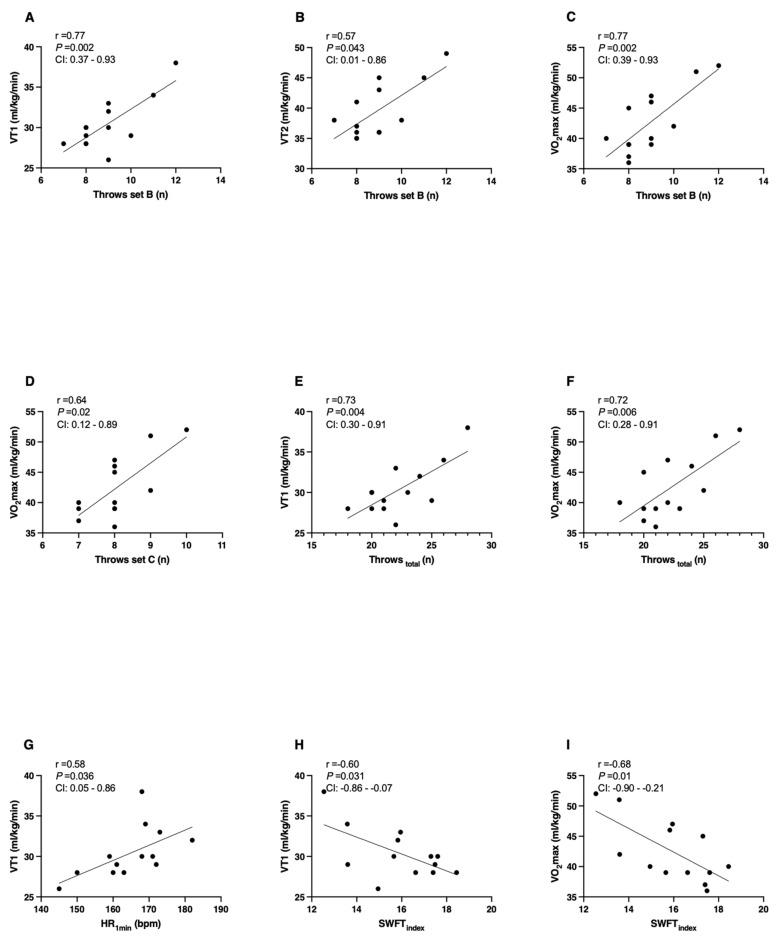
This study investigated the relationship between peak oxygen uptake and ventilatory threshold 1 (VT1) and 2 (VT2) with the Special Wrestling Fitness Test variables. Thirteen wrestlers (male: six; female: seven) of Olympic freestyle wrestling were assessed. The Pearson's correlation coefficient ( < 0.05) was used to establish the relationship between variables. A positive correlation was found between VT1 with throws in set B (r = 0.77; = 0.002; 95%CI = 0.37-0.93), total throws (r = 0.73; = 0.004; 95%CI = 0.30-0.91), heart rate recovery (r = 0.58; = 0.036; 95%CI = 0.05-0.86), and test index (r = -0.60; = 0.031; 95%CI = -0.86-0.07); between VT2 and throws in set B (r = 0.57; = 0.043; 95%CI = 0.01-0.86); and between peak oxygen uptake with throws in set B (r = 0.77; = 0.002; 95%CI = 0.39-0.93), throws in set C (r = 0.64; = 0.02; 95%CI = 0.12-0.89), and total throws (r = 0.72; = 0.006; 95%CI = 0.28-0.91). In conclusion, the peak oxygen uptake and ventilatory thresholds correlated with specific Special Wrestling Fitness Test variables.
本研究探讨了最大摄氧量与通气阈 1(VT1)和 2(VT2)与特殊摔跤健身测试变量之间的关系。评估了 13 名奥林匹克自由式摔跤运动员(男性:6 名;女性:7 名)。使用 Pearson 相关系数(<0.05)确定变量之间的关系。发现 VT1 与 B 组投掷(r = 0.77; = 0.002;95%CI = 0.37-0.93)、总投掷(r = 0.73; = 0.004;95%CI = 0.30-0.91)、心率恢复(r = 0.58; = 0.036;95%CI = 0.05-0.86)和测试指标(r = -0.60; = 0.031;95%CI = -0.86-0.07)呈正相关,与 B 组投掷(r = 0.57; = 0.043;95%CI = 0.01-0.86)和 VT2 呈正相关,与最大摄氧量呈正相关与 B 组投掷(r = 0.77; = 0.002;95%CI = 0.39-0.93)、C 组投掷(r = 0.64; = 0.02;95%CI = 0.12-0.89)和总投掷(r = 0.72; = 0.006;95%CI = 0.28-0.91)。总之,最大摄氧量和通气阈与特殊摔跤健身测试变量相关。