Suppr超能文献

不同试验持续时间下,添加物改良沼渣对土壤健康和植物生物量的影响。

Effect of Digestate Modified with Amendments on Soil Health and Plant Biomass under Varying Experimental Durations.

作者信息

Holatko Jiri, Brtnicky Martin, Mustafa Adnan, Kintl Antonin, Skarpa Petr, Ryant Pavel, Baltazar Tivadar, Malicek Ondrej, Latal Oldrich, Hammerschmiedt Tereza

机构信息

Department of Agrochemistry, Soil Science, Microbiology and Plant Nutrition, Faculty of AgriSciences, Mendel University in Brno, Zemedelska 1, 613 00 Brno, Czech Republic.

Agrovyzkum Rapotin Ltd., Vyzkumniku 267, 788 13 Rapotin, Czech Republic.

出版信息

Materials (Basel). 2023 Jan 23;16(3):1027. doi: 10.3390/ma16031027.

Abstract

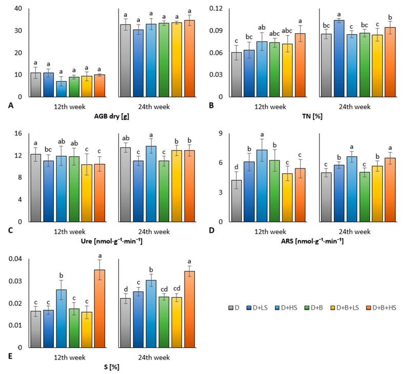
A digestate with amendments provides plants with available nutrients and improves the microbiological properties of treated soil. Modification of a digestate through the addition of a biochar and sulphur source is less well-known. This pot experiment aimed at comparing the short- and long-time fertilization effects of a digestate enriched with biochar, with elemental sulphur, or with a combination of both on soil health and plant biomass. The experiment was carried out with maize, cultivated twice (1st-12th week = pre-cultivation; re-sowing after shoot harvest, 13th-24th = main cultivation) in soil amended with prepared digestate. The digestate used in pre-cultivation was incubated untreated (D) and was then treated with biochar (D + B), with elemental sulphur at a low (LS) and high (HS) dose, or with a combination of both (D + B + LS and D + B + HS). An additional unamended digestate (D) was added to each soil variant before the main cultivation. The application of digestate with a high dose of elemental sulphur and biochar mediated the most significant differences in the soil. The increase (compared to the unamended soil) was of short-term type (+11% and +6% increased total nitrogen and carbon after 12 weeks), then of long-term type (+54% and +30% increased sulphur and arylsulfatase activity after 24 weeks), and later emerged in the 13th to the 24th week of the experiment (+57% and +32% non-inhibited urease, increased N-acetyl-β-D-glucosaminidase and phosphatase). No significant differences in the effect of the applied amendments on dry aboveground plant biomass were observed.

摘要

添加改良剂的沼渣可为植物提供有效养分,并改善处理后土壤的微生物特性。通过添加生物炭和硫源对沼渣进行改性的方法鲜为人知。本盆栽试验旨在比较添加生物炭、元素硫或两者组合的沼渣对土壤健康和植物生物量的短期和长期施肥效果。试验以玉米为材料,在添加了制备好的沼渣的土壤中种植两次(第1至12周 = 预种植;地上部分收获后重新播种,第13至24周 = 主种植)。预种植时使用的沼渣未处理(D),然后分别用生物炭(D + B)、低剂量(LS)和高剂量(HS)的元素硫或两者组合(D + B + LS和D + B + HS)进行处理。在主种植前,向每个土壤变体中添加额外的未改良沼渣(D)。高剂量元素硫和生物炭的沼渣施用对土壤产生了最显著的差异。增加的部分(与未改良土壤相比)先是短期的(12周后总氮和碳分别增加11%和6%),然后是长期的(24周后硫和芳基硫酸酯酶活性分别增加54%和30%),随后在试验的第13至24周出现(未受抑制的脲酶分别增加57%和32%,N-乙酰-β-D-氨基葡萄糖苷酶和磷酸酶增加)。在所施用的改良剂对地上部植物干生物量的影响方面未观察到显著差异。

https://cdn.ncbi.nlm.nih.gov/pmc/blobs/ec57/9920836/c87baa0635c2/materials-16-01027-g0A1.jpg

文献AI研究员

20分钟写一篇综述,助力文献阅读效率提升50倍。

立即体验

用中文搜PubMed

大模型驱动的PubMed中文搜索引擎

马上搜索

文档翻译

学术文献翻译模型,支持多种主流文档格式。

立即体验