Suppr超能文献

基于改进的时相关分析的稀土萃取过程的多延迟识别。

Multi-Delay Identification of Rare Earth Extraction Process Based on Improved Time-Correlation Analysis.

机构信息

School of Electrical and Automation Engineering, East China Jiaotong University, Nanchang 330013, China.

Key Laboratory of Advanced Control and Optimization of Jiangxi Province, Nanchang 330013, China.

出版信息

Sensors (Basel). 2023 Jan 18;23(3):1102. doi: 10.3390/s23031102.

Abstract

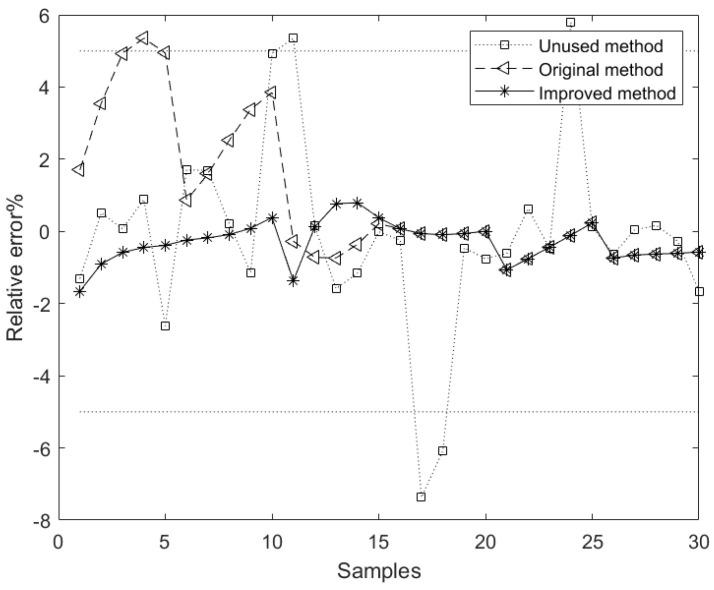
The rare earth extraction process has significant time delay characteristics, making it challenging to identify the time delay and establish an accurate mathematical model. This paper proposes a multi-delay identification method based on improved time-correlation analysis. Firstly, the data are preprocessed by grey relational analysis, and the time delay sequence and time-correlation data matrix are constructed. The time-correlation analysis matrix is defined, and the H∞ norm quantifies the correlation degree of the data sequence. Thus the multi-delay identification problem is transformed into an integer optimization problem. Secondly, an improved discrete state transition algorithm is used for optimization to obtain multi-delay. Finally, based on an Neodymium (Nd) component content model constructed by a wavelet neural network, the performance of the proposed method is compared with the unimproved time delay identification method and the model without an identification method. The results show that the proposed algorithm improves optimization accuracy, convergence speed, and stability. The performance of the component content model after time delay identification is significantly improved using the proposed method, which verifies its effectiveness in the time delay identification of the rare earth extraction process.

摘要

稀土提取过程具有显著的时滞特性,因此难以确定时滞并建立准确的数学模型。本文提出了一种基于改进时间相关分析的多时滞识别方法。首先,通过灰色关联分析对数据进行预处理,构建时滞序列和时间相关数据矩阵。定义时间相关分析矩阵,并使用 H∞范数量化数据序列的相关程度,从而将多时滞识别问题转化为整数优化问题。其次,采用改进的离散状态转移算法进行优化,以获得多时滞。最后,基于由小波神经网络构建的钕(Nd)成分含量模型,将所提出方法的性能与未经改进的时滞识别方法和无识别方法的模型进行比较。结果表明,所提出的算法提高了优化精度、收敛速度和稳定性。使用所提出的方法对时滞进行识别后,成分含量模型的性能得到显著提高,验证了该方法在稀土提取过程时滞识别中的有效性。

https://cdn.ncbi.nlm.nih.gov/pmc/blobs/70b6/9920302/1bd9ced985bb/sensors-23-01102-g001.jpg

文献AI研究员

20分钟写一篇综述,助力文献阅读效率提升50倍。

立即体验

用中文搜PubMed

大模型驱动的PubMed中文搜索引擎

马上搜索

文档翻译

学术文献翻译模型,支持多种主流文档格式。

立即体验