Suppr超能文献

评估在 ITER 中使用光纤电流传感器对等离子体电流测量的结构振动影响。

Assessment of the Structural Vibration Effect on Plasma Current Measurement Using a Fiber Optic Current Sensor in ITER.

机构信息

Department of Electromagnetism & Telecommunications, University of Mons, Boulevard Dolez 31, 7000 Mons, Belgium.

Belgium Nuclear Research Center (SCK-CEN), 2400 Mol, Belgium.

出版信息

Sensors (Basel). 2023 Jan 28;23(3):1460. doi: 10.3390/s23031460.

Abstract

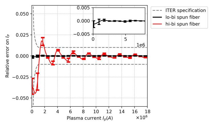
In this paper, we assess the effect of cryostat bridge vibrations on the plasma current measurement accuracy when using a fiber optic current sensor (FOCS) in ITER. The impact of vibrations on the light polarization state was first experimentally investigated using a miniaturized mock-up which represented a relevant part of the ITER FOCS structure. The set-up was then numerically simulated using the Jones matrix approach. Equivalent vibration matrices obtained from the experiment were used in the simulations to determine the effect of the vibrations on the FOCS accuracy. It is demonstrated that although the vibrations imply some changes in the polarization state, this effect can be strongly reduced when a proper low-birefringent spun optical fiber is used. The ITER requirement regarding the plasma current measurement accuracy can therefore be fulfilled.

摘要

在本文中,我们评估了在 ITER 中使用光纤电流传感器(FOCS)时,低温恒温器桥振动对等离子体电流测量精度的影响。首先,使用代表 ITER FOCS 结构的相关部分的小型模拟装置,通过实验研究了振动对光偏振状态的影响。然后,使用琼斯矩阵方法对该装置进行了数值模拟。从实验中获得的等效振动矩阵被用于模拟中,以确定振动对 FOCS 精度的影响。结果表明,尽管振动会导致偏振状态发生一些变化,但当使用适当的低双折射旋光纤时,这种影响可以大大减小。因此,ITER 对等离子体电流测量精度的要求是可以满足的。

https://cdn.ncbi.nlm.nih.gov/pmc/blobs/ca75/9921135/053aca66d02c/sensors-23-01460-g001.jpg

相似文献

7
Theoretical assessment of the OTDR detector noise on plasma current measurement in tokamaks.
Appl Opt. 2019 Apr 10;58(11):2795-2802. doi: 10.1364/AO.58.002795.
9
All fiber optic current sensor based on phase-shift fiber loop ringdown structure.
Opt Lett. 2023 Jun 1;48(11):2925-2928. doi: 10.1364/OL.489190.

引用本文的文献

1
Design and characteristic analysis of micro multi-core fiber vibration sensor.
Heliyon. 2024 Aug 28;10(17):e37069. doi: 10.1016/j.heliyon.2024.e37069. eCollection 2024 Sep 15.

本文引用的文献

1
Introduction and measurement of the effective Verdet constant of spun optical fibers.
Opt Express. 2021 Jul 19;29(15):23315-23330. doi: 10.1364/OE.432418.
4
Vibration-insensitive fiber-optic current sensor.
Opt Lett. 1993 Feb 15;18(4):314. doi: 10.1364/ol.18.000314.

文献AI研究员

20分钟写一篇综述,助力文献阅读效率提升50倍。

立即体验

用中文搜PubMed

大模型驱动的PubMed中文搜索引擎

马上搜索

文档翻译

学术文献翻译模型,支持多种主流文档格式。

立即体验