Suppr超能文献

一种基于 CSK/QAM 可见光通信和机器学习的新型 COVID-19 检测方法。

A New COVID-19 Detection Method Based on CSK/QAM Visible Light Communication and Machine Learning.

机构信息

CIMTT, Department of Electrical Engineering, Universidad de Santiago de Chile, Santiago 9170124, Chile.

Department of Electrical Engineering, Universidad de Chile, Santiago 8370451, Chile.

出版信息

Sensors (Basel). 2023 Jan 30;23(3):1533. doi: 10.3390/s23031533.

Abstract

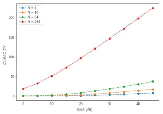
This article proposes a novel method for detecting coronavirus disease 2019 (COVID-19) in an underground channel using visible light communication (VLC) and machine learning (ML). We present mathematical models of COVID-19 Deoxyribose Nucleic Acid (DNA) gene transfer in regular square constellations using a CSK/QAM-based VLC system. ML algorithms are used to classify the bands present in each electrophoresis sample according to whether the band corresponds to a positive, negative, or ladder sample during the search for the optimal model. Complexity studies reveal that the square constellation N=22i×22i,(i=3) yields a greater profit. Performance studies indicate that, for BER = 10-3, there are gains of -10 [dB], -3 [dB], 3 [dB], and 5 [dB] for N=22i×22i,(i=0,1,2,3), respectively. Based on a total of 630 COVID-19 samples, the best model is shown to be XGBoots, which demonstrated an accuracy of 96.03%, greater than that of the other models, and a recall of 99% for positive values.

摘要

本文提出了一种利用可见光通信(VLC)和机器学习(ML)在地下通道检测 2019 年冠状病毒病(COVID-19)的新方法。我们提出了一种基于 CSK/QAM 的 VLC 系统,用于在规则正方形星座中转移 COVID-19 脱氧核糖核酸(DNA)的数学模型。使用 ML 算法对每个电泳样本中的波段进行分类,根据波段在搜索最优模型时是否对应阳性、阴性或梯级样本进行分类。复杂度研究表明,N=22i×22i,(i=3)的正方形星座获得的收益更大。性能研究表明,对于误码率(BER)=10-3,N=22i×22i,(i=0、1、2、3)的增益分别为-10 [dB]、-3 [dB]、3 [dB]和 5 [dB]。基于总共 630 个 COVID-19 样本,结果表明,最佳模型是 XGBoots,其准确率为 96.03%,高于其他模型,阳性值的召回率为 99%。

https://cdn.ncbi.nlm.nih.gov/pmc/blobs/b804/10288941/6ff4baa09520/sensors-23-01533-g001.jpg

相似文献

3
4.0 Gbps visible light communication in a foggy environment based on a blue laser diode.
Opt Express. 2021 Apr 26;29(9):14163-14173. doi: 10.1364/OE.427153.
5
Flipped superposed constellation design for MIMO visible-light communication systems.
Opt Express. 2022 Mar 28;30(7):11588-11603. doi: 10.1364/OE.456217.
7
Constellation design of DFT-S-OFDM with dual-mode index modulation in VLC.
Opt Express. 2022 Aug 1;30(16):28371-28384. doi: 10.1364/OE.451780.
8
450-nm GaN laser diode enables high-speed visible light communication with 9-Gbps QAM-OFDM.
Opt Express. 2015 May 18;23(10):13051-9. doi: 10.1364/OE.23.013051.
9
Speech as a Biomarker for COVID-19 Detection Using Machine Learning.
Comput Intell Neurosci. 2022 Apr 18;2022:6093613. doi: 10.1155/2022/6093613. eCollection 2022.

引用本文的文献

1
Evolution of the newest diagnostic methods for COVID-19: a Chinese perspective.
J Zhejiang Univ Sci B. 2023 Jun 15;24(6):463-484. doi: 10.1631/jzus.B2200625.

本文引用的文献

1
Global emerging Omicron variant of SARS-CoV-2: Impacts, challenges and strategies.
J Infect Public Health. 2023 Jan;16(1):4-14. doi: 10.1016/j.jiph.2022.11.024. Epub 2022 Nov 19.
2
Geographical distribution of host's specific SARS-CoV-2 mutations in the early phase of the COVID-19 pandemic.
Gene. 2023 Jan 30;851:147020. doi: 10.1016/j.gene.2022.147020. Epub 2022 Nov 4.
3
Functional consequences of SARS-CoV-2 infection in pregnant women, fetoplacental unit, and neonate.
Biochim Biophys Acta Mol Basis Dis. 2023 Jan 1;1869(1):166582. doi: 10.1016/j.bbadis.2022.166582. Epub 2022 Oct 20.
4
Temporal dynamics of RSV shedding and genetic diversity in adults during the COVID-19 pandemic in a French hospital, early 2021.
Virus Res. 2023 Jan 2;323:198950. doi: 10.1016/j.virusres.2022.198950. Epub 2022 Sep 29.
5
Accurate somatic variant detection using weakly supervised deep learning.
Nat Commun. 2022 Jul 22;13(1):4248. doi: 10.1038/s41467-022-31765-8.
6
Symbol division multiplexing in optical fiber communication systems.
Opt Express. 2022 Apr 25;30(9):14998-15007. doi: 10.1364/OE.452149.
8
Robots Under COVID-19 Pandemic: A Comprehensive Survey.
IEEE Access. 2020 Dec 18;9:1590-1615. doi: 10.1109/ACCESS.2020.3045792. eCollection 2021.
9
Identification of COVID-19 Type Respiratory Disorders Using Channel State Analysis of Wireless Communications Links.
Annu Int Conf IEEE Eng Med Biol Soc. 2021 Nov;2021:7582-7585. doi: 10.1109/EMBC46164.2021.9630016.

文献AI研究员

20分钟写一篇综述,助力文献阅读效率提升50倍。

立即体验

用中文搜PubMed

大模型驱动的PubMed中文搜索引擎

马上搜索

文档翻译

学术文献翻译模型,支持多种主流文档格式。

立即体验