Suppr超能文献

基于机器学习技术的计算机辅助磁共振成像踝关节韧带损伤诊断。

Computer-Aided Ankle Ligament Injury Diagnosis from Magnetic Resonance Images Using Machine Learning Techniques.

机构信息

Graduate Program in Surgery, Federal University of Ceará, Fortaleza 60455-970, CE, Brazil.

Department of Teleinformatics Engineering, Federal University of Ceará, Fortaleza 60455-970, CE, Brazil.

出版信息

Sensors (Basel). 2023 Feb 1;23(3):1565. doi: 10.3390/s23031565.

Abstract

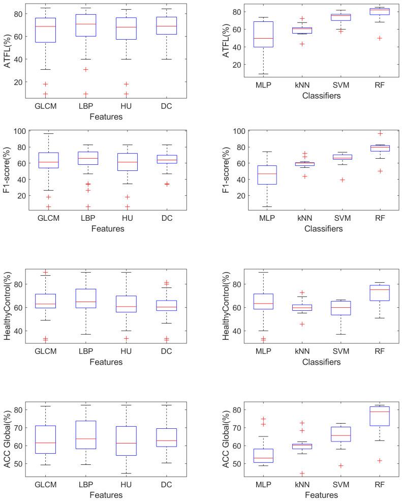
Ankle injuries caused by the Anterior Talofibular Ligament (ATFL) are the most common type of injury. Thus, finding new ways to analyze these injuries through novel technologies is critical for assisting medical diagnosis and, as a result, reducing the subjectivity of this process. As a result, the purpose of this study is to compare the ability of specialists to diagnose lateral tibial tuberosity advancement (LTTA) injury using computer vision analysis on magnetic resonance imaging (MRI). The experiments were carried out on a database obtained from the Vue PACS-Carestream software, which contained 132 images of ATFL and normal (healthy) ankles. Because there were only a few images, image augmentation techniques was used to increase the number of images in the database. Following that, various feature extraction algorithms (GLCM, LBP, and HU invariant moments) and classifiers such as Multi-Layer Perceptron (MLP), Support Vector Machine (SVM), k-Nearest Neighbors (kNN), and Random Forest (RF) were used. Based on the results from this analysis, for cases that lack clear morphologies, the method delivers a hit rate of 85.03% with an increase of 22% over the human expert-based analysis.

摘要

由前距腓韧带(ATFL)引起的踝关节损伤是最常见的损伤类型。因此,寻找通过新技术分析这些损伤的新方法对于辅助医学诊断至关重要,从而减少该过程的主观性。因此,本研究的目的是比较使用计算机视觉分析磁共振成像(MRI)来诊断外侧胫骨结节前移(LTTA)损伤的专家能力。实验是在从 Vue PACS-Carestream 软件获得的数据库上进行的,该数据库包含 132 张 ATFL 和正常(健康)踝关节的图像。由于图像数量较少,因此使用图像增强技术来增加数据库中的图像数量。此后,使用了各种特征提取算法(GLCM、LBP 和 HU 不变矩)和分类器,如多层感知机(MLP)、支持向量机(SVM)、k-最近邻(kNN)和随机森林(RF)。根据该分析的结果,对于形态不明确的病例,该方法的命中率为 85.03%,比基于人类专家分析的方法提高了 22%。

https://cdn.ncbi.nlm.nih.gov/pmc/blobs/3c91/9919370/25d6950ae713/sensors-23-01565-g001.jpg

文献AI研究员

20分钟写一篇综述,助力文献阅读效率提升50倍。

立即体验

用中文搜PubMed

大模型驱动的PubMed中文搜索引擎

马上搜索

文档翻译

学术文献翻译模型,支持多种主流文档格式。

立即体验