Suppr超能文献

通过 capped Cu-SiN 双层结构在铝表面实现的结构色

Structural Colors on Al Surface via Capped Cu-SiN Bilayer Structure.

作者信息

Rahman M A, Kim Dongkyu, Arora Deepshikha, Huh Joo-Youl, Byun Ji Young

机构信息

Extreme Materials Research Center, Korea Institute of Science & Technology, 5, Hwarang-ro 14-gil, Seongbuk-gu, Seoul 02792, Republic of Korea.

Department of Materials Science and Engineering, Korea University, 145, Anam-ro, Seongbuk-gu, Seoul 02841, Republic of Korea.

出版信息

Micromachines (Basel). 2023 Feb 18;14(2):471. doi: 10.3390/mi14020471.

Abstract

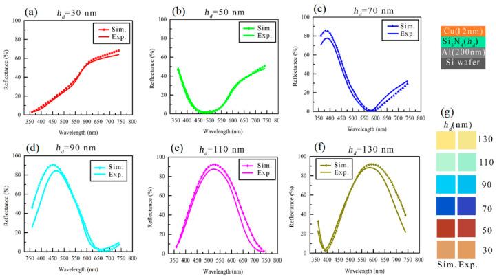
Tunable structural colors have a multitude of applications in the beautification of mobile devices, in the decoration of artwork, and in the creation of color filters. In this paper, we describe a Metal-Insulator-Metal (MIM) design that can be used to systematically tune structural colors by altering the thickness of the top metal and intermediate insulator. Cu and SiN were selected as the top metal and intermediate insulator layers, respectively, and various reflection colors were printed on Al. To protect the Cu surface from scratchiness and oxidation, a number of capping layers, including SiO, LPSQ, PMMA, and the commercially available clear coat ProtectaClear, were applied. In addition to their ability to protect Cu from a humid environment without deteriorating color quality, ProtectaClear and LPSQ coatings have minimal angle dependency. Furthermore, a bilayer of PMMA/SiO can protect the Cu surface from the effects of humidity. In addition, the PMMA/SiO and ProtectaClear/SiO bilayers can also protect against corrosion on the Cu surface. The colors can be tuned by controlling the thickness of either the metal layer or intermediate insulator layer, and vivid structural colors including brown, dark orange, blue, violet, magenta, cyan, green-yellow, and yellow colors can be printed. The measured dielectric functions of Cu thin films do not provide any evidence of the plasmonic effect, and therefore, it is expected that the obtained colors are attributed to thin-film interference.

摘要

可调谐结构色在移动设备美化、艺术品装饰以及彩色滤光片制作等方面有众多应用。在本文中,我们描述了一种金属 - 绝缘体 - 金属(MIM)设计,该设计可通过改变顶部金属和中间绝缘体的厚度来系统地调节结构色。分别选用铜(Cu)和氮化硅(SiN)作为顶部金属层和中间绝缘层,并在铝(Al)上打印出各种反射颜色。为了保护铜表面不被刮擦和氧化,应用了多种覆盖层,包括二氧化硅(SiO)、低聚物旋涂玻璃(LPSQ)、聚甲基丙烯酸甲酯(PMMA)以及市售的透明涂层ProtectaClear。除了能够在不降低颜色质量的情况下保护铜免受潮湿环境影响外,ProtectaClear和LPSQ涂层的角度依赖性最小。此外,聚甲基丙烯酸甲酯/二氧化硅双层结构可以保护铜表面免受湿度影响。另外,聚甲基丙烯酸甲酯/二氧化硅和ProtectaClear/二氧化硅双层结构还能防止铜表面腐蚀。通过控制金属层或中间绝缘层的厚度可以调节颜色,并且可以打印出包括棕色、深橙色、蓝色、紫色、品红色、青色、绿黄色和黄色等鲜艳的结构色。所测量的铜薄膜介电函数没有提供任何等离子体效应的证据,因此,预计所获得的颜色归因于薄膜干涉。

https://cdn.ncbi.nlm.nih.gov/pmc/blobs/8790/9963491/7dfca06421a0/micromachines-14-00471-g001.jpg

文献AI研究员

20分钟写一篇综述,助力文献阅读效率提升50倍。

立即体验

用中文搜PubMed

大模型驱动的PubMed中文搜索引擎

马上搜索

文档翻译

学术文献翻译模型,支持多种主流文档格式。

立即体验