Suppr超能文献

[根据AKTIV和AKTIV 2登记处的数据,碳水化合物代谢紊乱对COVID-19患者早期和长期临床结局的影响]

[The impact of carbohydrate metabolism disorders on the early and long-term clinical outcomes of patients with COVID-19 according to the AKTIV and AKTIV 2 registries].

作者信息

Salukhov V V, Arutyunov G P, Tarlovskaya E I, Batluk T I, Bashkinov R A, Samus I V, Melnikov E S, Trubnikova M A, Arutyunov A G

机构信息

Military Medical Academy named after S.M. Kirov.

Eurasian Association of Therapists; Pirogov Russian National Research Medical University.

出版信息

Probl Endokrinol (Mosk). 2023 Feb 25;69(1):36-49. doi: 10.14341/probl13175.

Abstract

BACKGROUND

Numerous studies indicate a high incidence of various disorders of carbohydrate metabolism against the new coronavirus infection. These disorders aggravate the course of infection and increase mortality. Thereby, analysis of risk factors for unfavorable outcomes and assessment of the long-term consequences of COVID-19 in patients with impaired carbohydrate metabolism is of great importance.

AIM

To investigate the association between carbohydrate metabolism disorders in COVID-19 patients and mortality, course of infection, long-term consequences, as well as to identify risk factors for an unfavorable disease course.

MATERIALS AND METHODS

A retrospective analysis of data from the combined multicenter non-interventional real-world AKTIV and AKTIV 2 registries was performed. The sample included 9290 patients who had COVID-19 with varying severity from June 29, 2020, to November 29, 2020 (AKTIV) and from October 01, 2020, to March 30, 2021 (AKTIV 2). The patients were divided into 3 groups: Group 1 - patients with intact carbohydrate metabolism, n=6606; Group 2 - patients with newly diagnosed hyperglycemia (NDH), n=1073; Group 3 - patients with a history of type 2 diabetes mellitus (DM2), n=1611. The groups were assessed for clinical and laboratory parameters, comorbidities, mortality, carbohydrate metabolic status, and well-being during the infection and at 12 months.

RESULTS

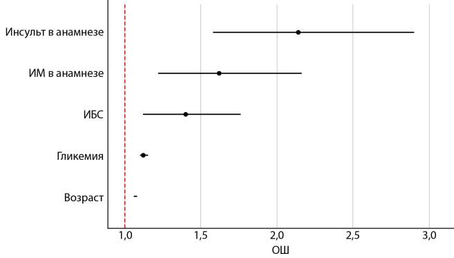
The prevalence of carbohydrate metabolism disorders (CMD) was 28,9%, with DM2 patients accounting for 17,3% and patients with newly diagnosed hyperglycemia (NDH) for 11,6%. The mortality rate of patients with hyperglycemia of any origin was 10.6%, which was significantly higher compared to patients without hyperglycemia (3,9%). The probability of lethal outcome increased 2,48-fold in the group of patients with DM2 and 2,04-fold in the group of patients with NDH. At the same time, the probability of a lethal outcome decreased 2,94-fold in patients without CMD. At 12 months, patients with CMD showed a significantly higher frequency and longer persistence of complaints. This trend was more pronounced in patients with DM2 than in those with NDH. Only 1,7% of patients from the NDH group had type 2 diabetes and were receiving oral hypoglycemic medications one year after the infection. A prognostic model was developed to determine the risk of lethal outcome. The model included such known predictors as concomitant ischemic heart disease, history of myocardial infarction or stroke, blood glucose level, and age.

CONCLUSION

Carbohydrate metabolism disorders aggravate the course of COVID-19 and increase mortality. One year after infection, patients with DM2 and NDH were more likely to have symptoms typical for post-COVID syndrome, and NDH resolved in most cases after the infection.

摘要

背景

大量研究表明,新型冠状病毒感染患者中各种碳水化合物代谢紊乱的发生率很高。这些紊乱会加重感染病程并增加死亡率。因此,分析碳水化合物代谢受损患者中不良结局的危险因素以及评估新冠病毒疾病(COVID-19)的长期后果具有重要意义。

目的

研究COVID-19患者碳水化合物代谢紊乱与死亡率、感染病程、长期后果之间的关联,并确定不良疾病病程的危险因素。

材料与方法

对联合多中心非干预性真实世界AKTIV和AKTIV 2登记处的数据进行回顾性分析。样本包括2020年6月29日至2020年11月29日(AKTIV)以及2020年10月1日至2021年3月30日(AKTIV 2)期间9290例不同严重程度的COVID-19患者。患者分为3组:第1组——碳水化合物代谢正常的患者,n = 6606;第2组——新诊断为高血糖(NDH)的患者,n = 1073;第3组——2型糖尿病(DM2)病史的患者,n = 1611。对各组患者在感染期间及感染后12个月的临床和实验室参数、合并症、死亡率、碳水化合物代谢状态及健康状况进行评估。

结果

碳水化合物代谢紊乱(CMD)的患病率为28.9%,其中DM2患者占17.3%,新诊断为高血糖(NDH)的患者占11.6%。任何原因引起的高血糖患者的死亡率为10.6%,显著高于无高血糖的患者(3.9%)。DM2患者组的致死概率增加了2.48倍,NDH患者组增加了2.04倍。同时,无CMD的患者致死概率降低了2.94倍。在12个月时,CMD患者出现不适的频率显著更高且持续时间更长。这种趋势在DM2患者中比在NDH患者中更明显。感染后一年,NDH组中只有1.7%的患者患有2型糖尿病并正在接受口服降糖药物治疗。开发了一个预测模型来确定致死结局的风险。该模型包括如合并缺血性心脏病、心肌梗死或中风病史、血糖水平和年龄等已知预测因素。

结论

碳水化合物代谢紊乱会加重COVID-19病程并增加死亡率。感染后一年,DM2和NDH患者更有可能出现新冠后综合征的典型症状,且大多数情况下NDH在感染后会缓解。

https://cdn.ncbi.nlm.nih.gov/pmc/blobs/3c53/9978875/79d49734b8b2/problendo-69-13175-g001.jpg

文献AI研究员

20分钟写一篇综述,助力文献阅读效率提升50倍。

立即体验

用中文搜PubMed

大模型驱动的PubMed中文搜索引擎

马上搜索

文档翻译

学术文献翻译模型,支持多种主流文档格式。

立即体验