Suppr超能文献

初始和记忆性T细胞TCR-HLA结合预测。

Naive and memory T cells TCR-HLA-binding prediction.

作者信息

Glazer Neta, Akerman Ofek, Louzoun Yoram

机构信息

Department of Mathematics, Bar-Ilan University, Ramat Gan, Israel.

出版信息

Oxf Open Immunol. 2022 May 26;3(1):iqac001. doi: 10.1093/oxfimm/iqac001. eCollection 2022.

Abstract

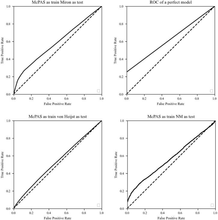
T cells recognize antigens through the interaction of their T cell receptor (TCR) with a peptide-major histocompatibility complex (pMHC) molecule. Following thymic-positive selection, TCRs in peripheral naive T cells are expected to bind MHC alleles of the host. Peripheral clonal selection is expected to further increase the frequency of antigen-specific TCRs that bind to the host MHC alleles. To check for a systematic preference for MHC-binding T cells in TCR repertoires, we developed Natural Language Processing-based methods to predict TCRMHC binding independently of the peptide presented for Class I MHC alleles. We trained a classifier on published TCRpMHC binding pairs and obtained a high area under curve (AUC) of over 0.90 on the test set. However, when applied to TCR repertoires, the accuracy of the classifier dropped. We thus developed a two-stage prediction model, based on large-scale naive and memory TCR repertoires, denoted TR H-bnding pdictor (CLAIRE). Since each host carries multiple human leukocyte antigen (HLA) alleles, we first computed whether a TCR on a CD8 T cell binds an MHC from any of the host Class-I HLA alleles. We then performed an iteration, where we predict the binding with the most probable allele from the first round. We show that this classifier is more precise for memory than for naïve cells. Moreover, it can be transferred between datasets. Finally, we developed a CD4-CD8 T cell classifier to apply CLAIRE to unsorted bulk sequencing datasets and showed a high AUC of 0.96 and 0.90 on large datasets. CLAIRE is available through a GitHub at: https://github.com/louzounlab/CLAIRE, and as a server at: https://claire.math.biu.ac.il/Home.

摘要

T细胞通过其T细胞受体(TCR)与肽-主要组织相容性复合体(pMHC)分子的相互作用来识别抗原。经过胸腺阳性选择后,外周幼稚T细胞中的TCR有望与宿主的MHC等位基因结合。外周克隆选择有望进一步增加与宿主MHC等位基因结合的抗原特异性TCR的频率。为了检查TCR库中对MHC结合T细胞是否存在系统性偏好,我们开发了基于自然语言处理的方法,以独立于I类MHC等位基因所呈递的肽来预测TCR-MHC结合。我们在已发表的TCR-pMHC结合对数据上训练了一个分类器,在测试集上获得了超过0.90的高曲线下面积(AUC)。然而,当应用于TCR库时,该分类器的准确性下降。因此,我们基于大规模的幼稚和记忆TCR库开发了一个两阶段预测模型,称为TR H-结合预测器(CLAIRE)。由于每个宿主携带多个人类白细胞抗原(HLA)等位基因,我们首先计算CD8 T细胞上的TCR是否与宿主任何I类HLA等位基因的MHC结合。然后我们进行迭代,预测第一轮中最可能的等位基因的结合情况。我们表明,该分类器对记忆细胞比对幼稚细胞更精确。此外,它可以在不同数据集之间转移。最后,我们开发了一个CD4-CD8 T细胞分类器,将CLAIRE应用于未分选的大量测序数据集,在大型数据集上显示出0.96和0.90的高AUC。CLAIRE可通过GitHub获取:https://github.com/louzounlab/CLAIRE,也可作为服务器访问:https://claire.math.biu.ac.il/Home。

https://cdn.ncbi.nlm.nih.gov/pmc/blobs/52de/9914496/a669dfee06eb/iqac001f1.jpg

文献AI研究员

20分钟写一篇综述,助力文献阅读效率提升50倍。

立即体验

用中文搜PubMed

大模型驱动的PubMed中文搜索引擎

马上搜索

文档翻译

学术文献翻译模型,支持多种主流文档格式。

立即体验