Suppr超能文献

外科医生的资历会影响剖宫产术中粘连的评估吗?一项前瞻性研究。

Does surgeon seniority affect adhesion assessment at cesarean delivery? A prospective study.

作者信息

Ram Shai, Shapira Ziv, Shalev-Ram Hila, Alon Shira, Shperling Roza B, Lipinski Margaret J, Yogev Yariv, Many Ariel

机构信息

Lis Maternity and Women's Hospital, Tel Aviv Sourasky Medical Center, Tel Aviv, Israel.

Sackler Faculty of Medicine, Tel Aviv University, Tel Aviv, Israel (Dr S Ram, Dr Shapira, Dr H Ram, Dr Shperling, Dr Lipinski, Prof Yogev, and Prof Many).

出版信息

AJOG Glob Rep. 2023 Jan 28;3(1):100162. doi: 10.1016/j.xagr.2023.100162. eCollection 2023 Feb.

Abstract

BACKGROUND

Intraabdominal adhesions may develop following cesarean delivery and are considered a major concern.

OBJECTIVE

This study aimed to determine the effect of surgeon seniority in evaluating intraabdominal adhesions at cesarean delivery.

STUDY DESIGN

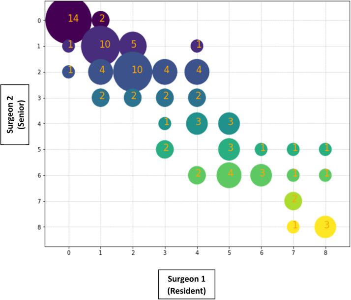
A prospective study to estimate interrater reliability between surgeons was conducted. Women who underwent cesarean delivery (January-July 2021) in a single tertiary university-affiliated medical center were included. Blinded questionnaires assessing adhesions were completed by the surgeons. Questions were limited to 4 main anatomic sites and 3 possible categories of adhesion (each site was scored between 0 and 2; the sum score range was 0-8). The surgeons were ranked by increasing seniority (1-4) as: (1) junior residents (less than half of residency completed), (2) senior residents (more than half of residency completed), (3) young attending physicians (attending physicians for <10 years), and (4) senior attendings (attending physicians for >10 years). The weighted percentage of agreement was calculated between the 2 surgeons assessing the same adhesions. Scoring differences between the 2 surgeons (senior vs less senior) were also calculated.

RESULTS

A total of 96 pairs of surgeons were included in the study. The sum interrater reliability found in the weighted agreement tests between surgeons was 0.918 (confidence interval, 0.898-0.938). When scoring differences between surgeons (senior vs less senior) were calculated, nonsignificant difference was found (mean sum score difference of 0.09 with a standard deviation of 1.03 in favor of the more experienced surgeon).

CONCLUSION

Surgeon seniority does not affect subjective scoring of adhesion reports.

摘要

背景

剖宫产术后可能会形成腹腔粘连,这是一个主要问题。

目的

本研究旨在确定外科医生资历对剖宫产术中评估腹腔粘连的影响。

研究设计

进行了一项前瞻性研究,以评估外科医生之间的评分者间信度。纳入了在一所单一的三级大学附属医院医疗中心接受剖宫产手术(2021年1月至7月)的女性。外科医生完成了评估粘连情况的盲法问卷。问题限于4个主要解剖部位和3种可能的粘连类别(每个部位的评分为0至2分;总分范围为0至8分)。外科医生按资历递增顺序分为(1)低年资住院医师(完成住院医师培训不足一半)、(2)高年资住院医师(完成住院医师培训超过一半)、(3)年轻主治医师(担任主治医师<10年)和(4)资深主治医师(担任主治医师>10年)。计算评估相同粘连情况的两位外科医生之间的加权一致百分比。还计算了两位外科医生(资深与资历较浅者)之间的评分差异。

结果

本研究共纳入96对外科医生。外科医生之间加权一致性检验中发现的评分者间信度总和为0.918(置信区间,0.898 - 0.938)。计算外科医生(资深与资历较浅者)之间的评分差异时,未发现显著差异(平均总分差异为0.09,标准差为1.03,有利于经验更丰富的外科医生)。

结论

外科医生资历不影响粘连报告的主观评分。

https://cdn.ncbi.nlm.nih.gov/pmc/blobs/ddd5/9975278/c94608ebbe52/gr1.jpg

文献检索

告别复杂PubMed语法,用中文像聊天一样搜索,搜遍4000万医学文献。AI智能推荐,让科研检索更轻松。

立即免费搜索

文件翻译

保留排版,准确专业,支持PDF/Word/PPT等文件格式,支持 12+语言互译。

免费翻译文档

深度研究

AI帮你快速写综述,25分钟生成高质量综述,智能提取关键信息,辅助科研写作。

立即免费体验