Suppr超能文献

PdAB 异配位笼中环型偏振发光的模块化增强。

Modular enhancement of circularly polarized luminescence in PdAB heteroleptic cages.

机构信息

Department of Chemistry and Chemical Biology, TU Dortmund University, Otto-Hahn-Straße 6, Dortmund 44227, Germany.

Laboratoire de Tectonique Moléculaire, UMR Unistra-CNRS 7140, Université de Strasbourg, 4 rue Blaise Pascal, 67070 Strasbourg, France.

出版信息

Chem Commun (Camb). 2023 Mar 16;59(23):3467-3470. doi: 10.1039/d3cc00262d.

Abstract

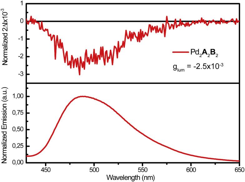
Metal-mediated assembly allows us to combine an achiral emissive ligand A with different chiral ligands (such as B) in a non-statistical fashion, obtaining PdAB heteroleptic cages showing circularly polarized luminescence (CPL). By using the 'shape complementary assembly' (SCA) strategy, the cages are exclusively obtained as -PdAB stereoisomers, as confirmed by NMR, MS and DFT analyses. Their unique chiroptical properties derive from the synergy of all the building blocks. Ligand B imparts the chiral information of its aliphatic backbone, comprising two stereogenic sp carbon centres, to the overall structure, causing CD and CPL signal induction for the chromophore on ligand A. The heteroleptic cage shows CPL with a || value of 2.5 × 10, which is 3-times higher than that for a progenitor based on aromatic helical building block H, thus opening a rational route towards optimizing the CPL properties of self-assembled nanostructures in a modular way.

摘要

金属介导的组装使我们能够以非统计的方式将手性发光配体 A 与不同的手性配体(如 B)组合在一起,从而获得显示圆偏振发光(CPL)的 PdAB 杂配位笼。通过使用“形状互补组装”(SCA)策略,仅获得 -PdAB 对映异构体笼,这通过 NMR、MS 和 DFT 分析得到证实。它们独特的手性光学性质源自所有构建块的协同作用。配体 B 将其脂肪族主链的手性信息赋予整体结构,其中包含两个立体中心 sp 碳原子,从而引起对配体 A 上发色团的 CD 和 CPL 信号诱导。杂配位笼显示出 CPL 的 || 值为 2.5×10,比基于芳香螺旋构筑块 H 的前体高 3 倍,从而为以模块化方式优化自组装纳米结构的 CPL 性质开辟了一条合理途径。

https://cdn.ncbi.nlm.nih.gov/pmc/blobs/c5dc/10019126/60b0d697dc0c/d3cc00262d-s1.jpg

文献AI研究员

20分钟写一篇综述,助力文献阅读效率提升50倍。

立即体验

用中文搜PubMed

大模型驱动的PubMed中文搜索引擎

马上搜索

文档翻译

学术文献翻译模型,支持多种主流文档格式。

立即体验