Suppr超能文献

2 型糖尿病患者的糖尿病和非糖尿病肾脏疾病的临床病理特征:单中心 10 年回顾性研究。

Clinico-pathological features of diabetic and non-diabetic renal diseases in type 2 diabetic patients: a retrospective study from a 10-year experience in a single center.

机构信息

Department of Nephrology, Xi'an People's Hospital (Xi'an Forth Hospital), Xincheng District Jiefang Road 21, Xi'an, 710001, Shannxi, China.

Department of Nephrology, The First Affiliated Hospital of Xi'an Jiaotong University, Yanta Western road 227, Xi'an, 710061, Shaanxi, China.

出版信息

Int Urol Nephrol. 2023 Sep;55(9):2303-2312. doi: 10.1007/s11255-023-03478-4. Epub 2023 Mar 6.

Abstract

AIM

To compare clinical and pathological characteristics as well as prognosis between diabetic nephropathy (DN) and non-diabetic renal disease (NDRD) so as to explore potential diagnostic criteria of DN and provide some guidance for the treatment of type 2 diabetes mellitus (T2DM) patients with kidney involvement.

METHODS

T2DM patients with renal impairment who underwent kidney biopsy were included in this study, who were classified into 3 groups (DN, NDRD, DN with NDRD) based on their renal pathological diagnosis. Baseline clinical characteristics as well as follow-up data were collected and analyzed among 3 groups. Logistic regression was performed to determine the best predictors for DN diagnosis. Additional 34 MN patients without diabetes were enrolled by propensity score matching method to compare serum PLA2R antibody titer and kidney outcomes between diabetic MN patients and MN alone.

RESULTS

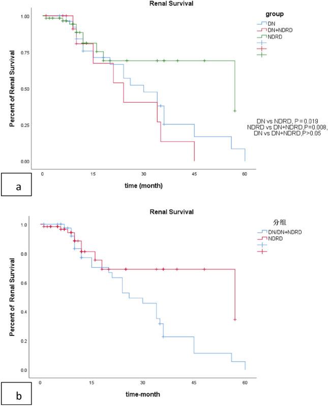
Among 365 patients with type 2 diabetes who underwent kidney biopsy, 179 (49.0%) patients were diagnosed with NDRD alone and 37 (10.1%) patients with NDRD combined DN. Risk factors for DN development in T2DM patients were longer time since diabetes diagnosis, higher level of serum creatinine, absence of hematuria and presence of diabetic retinopathy by multivariate analysis. Lower rate of proteinuria remission and higher risk of renal progression were observed in DN group compared with NDRD group. Membranous nephropathy was the most common NDRD in diabetic patients. There was no difference in serum PLA2R antibody positiveness or titer between MN patients with or without T2DM. There was lower remission rate but similar renal progression in diabetic MN when age, gender, baseline eGFR, albuminuria and IFTA score were adjusted.

CONCLUSIONS

Non-diabetic renal disease is not uncommon in T2DM patients with renal impairment, which has better prognosis with proper treatment. Coexisting diabetic status does not exert negative impact on renal progression in MN patients, and immunosuppressive agents should be administered when necessary.

摘要

目的

比较糖尿病肾病(DN)和非糖尿病性肾疾病(NDRD)的临床和病理特征以及预后,以探索 DN 的潜在诊断标准,并为合并肾损害的 2 型糖尿病(T2DM)患者的治疗提供一些指导。

方法

本研究纳入了接受肾活检的肾功能损害的 T2DM 患者,根据肾病理诊断将其分为 3 组(DN、NDRD、DN 合并 NDRD)。收集并分析了 3 组患者的基线临床特征及随访资料。采用 logistic 回归确定 DN 诊断的最佳预测因素。通过倾向性评分匹配方法额外纳入 34 例无糖尿病的膜性肾病(MN)患者,比较糖尿病 MN 患者与单纯 MN 患者的血清 PLA2R 抗体滴度和肾脏结局。

结果

在 365 例接受肾活检的 2 型糖尿病患者中,179 例(49.0%)患者被诊断为单纯 NDRD,37 例(10.1%)患者为 NDRD 合并 DN。多因素分析显示,T2DM 患者发生 DN 的危险因素为糖尿病诊断时间较长、血清肌酐水平较高、无血尿和存在糖尿病视网膜病变。与 NDRD 组相比,DN 组蛋白尿缓解率较低,肾脏进展风险较高。糖尿病患者中最常见的 NDRD 为膜性肾病。MN 患者无论是否合并 T2DM,血清 PLA2R 抗体阳性率或滴度均无差异。在调整年龄、性别、基线 eGFR、蛋白尿和 IFTA 评分后,糖尿病 MN 患者的缓解率较低,但肾脏进展相似。

结论

在肾功能损害的 T2DM 患者中,非糖尿病性肾疾病并不少见,经适当治疗可获得较好的预后。合并糖尿病状态对 MN 患者的肾脏进展无负面影响,必要时应给予免疫抑制剂治疗。

https://cdn.ncbi.nlm.nih.gov/pmc/blobs/3c57/10406681/a7af6384a91c/11255_2023_3478_Fig1_HTML.jpg

文献检索

告别复杂PubMed语法,用中文像聊天一样搜索,搜遍4000万医学文献。AI智能推荐,让科研检索更轻松。

立即免费搜索

文件翻译

保留排版,准确专业,支持PDF/Word/PPT等文件格式,支持 12+语言互译。

免费翻译文档

深度研究

AI帮你快速写综述,25分钟生成高质量综述,智能提取关键信息,辅助科研写作。

立即免费体验