Department of Translational and Precision Medicine, "Sapienza" University of Rome, 00185 Rome, Italy.
Department of Clinical, Internal, Anesthesiological and Cardiovascular Sciences, "Sapienza" University of Rome, 00185 Rome, Italy.
Int J Mol Sci. 2023 Feb 27;24(5):4591. doi: 10.3390/ijms24054591.
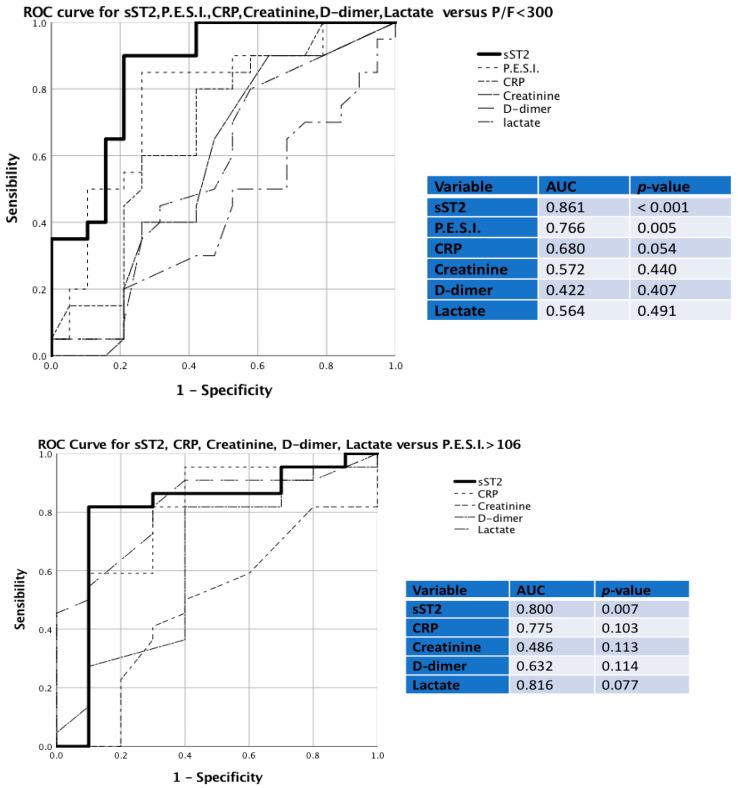
Pulmonary embolism (PE) is a potentially life-threatening disorder. Beyond its usefulness in the prognostic stratification of heart failure, sST2 can represent a biomarker with high utility in several acute conditions. Our study was aimed to investigate whether sST2 can be used as a clinical marker of severity and prognostic outcome in acute PE. We enrolled 72 patients with documented PE and 38 healthy subjects; we measured the plasma concentrations of sST2 to evaluate the prognostic and severity performance of different levels of sST2 according to its association with the pulmonary embolism severity index (PESI) score and several parameters of respiratory function. PE patients had significantly higher levels of sST2 compared with healthy subjects (87.74 ± 17.1 vs. 17.1 ± 0.4 ng/mL, < 0.001); we found higher PESI scores and serum lactate values in the group of patients with sST2 > 35 ng/mL compared with patients with sST2 < 35 ng/mL (138.7 ± 14.9 vs. 103.7 ± 15.1 and 2.43 ± 0.69 vs. 1.025 ± 0.05 mmol/L, respectively; < 0.05). Patients with sST2 > 35 ng/mL showed higher radiological severity of PE compared with patients with sST2 < 35 ng/mL. Moreover, sST2 was the strongest parameter with a discriminative capacity for the development of acute respiratory failure and a PESI score >106 with respect to C reactive protein (CRP), creatinine, d-dimer, and serum lactate. We clearly demonstrated that sST2 significantly increased in PE and that its elevation was associated with disease severity. Therefore, sST2 may be used as a clinical marker in the evaluation of PE severity. However, further studies with larger patient populations are required to confirm these findings.
肺栓塞(PE)是一种潜在的危及生命的疾病。除了在心力衰竭的预后分层中有作用外,sST2 还可以作为几种急性病症中具有高应用价值的生物标志物。我们的研究旨在探究 sST2 是否可作为急性 PE 严重程度和预后结局的临床标志物。我们纳入了 72 例确诊的 PE 患者和 38 例健康对照者;我们测量了 sST2 的血浆浓度,以评估不同水平 sST2 根据其与肺栓塞严重指数(PESI)评分和呼吸功能的几个参数的相关性,对严重程度和预后的预测能力。PE 患者的 sST2 水平明显高于健康对照者(87.74±17.1 比 17.1±0.4ng/ml,<0.001);我们发现 sST2>35ng/ml 组的 PESI 评分和血清乳酸值高于 sST2<35ng/ml 组(138.7±14.9 比 103.7±15.1 和 2.43±0.69 比 1.025±0.05mmol/L,分别;<0.05)。sST2>35ng/ml 的患者的 PE 放射学严重程度高于 sST2<35ng/ml 的患者。此外,sST2 是区分发生急性呼吸衰竭和 PESI 评分>106 的最强参数,优于 C 反应蛋白(CRP)、肌酐、D-二聚体和血清乳酸。我们明确证实 sST2 在 PE 中显著升高,且其升高与疾病严重程度相关。因此,sST2 可用于评估 PE 严重程度的临床标志物。但是,需要更多具有更大患者群体的研究来证实这些发现。