Suppr超能文献

通过 COMSOLMIC 和分子动力学模拟对角质层分配系数进行计算预测。

In Silico Prediction of Stratum Corneum Partition Coefficients via COSMOmic and Molecular Dynamics Simulations.

机构信息

Department of Chemical and Process Engineering, University of Surrey, Guildford GU27XH, U.K.

Unilever R&D Colworth, Unilever, Sharnbrook MK441LQ, U.K.

出版信息

J Phys Chem B. 2023 Mar 30;127(12):2719-2728. doi: 10.1021/acs.jpcb.2c08566. Epub 2023 Mar 17.

Abstract

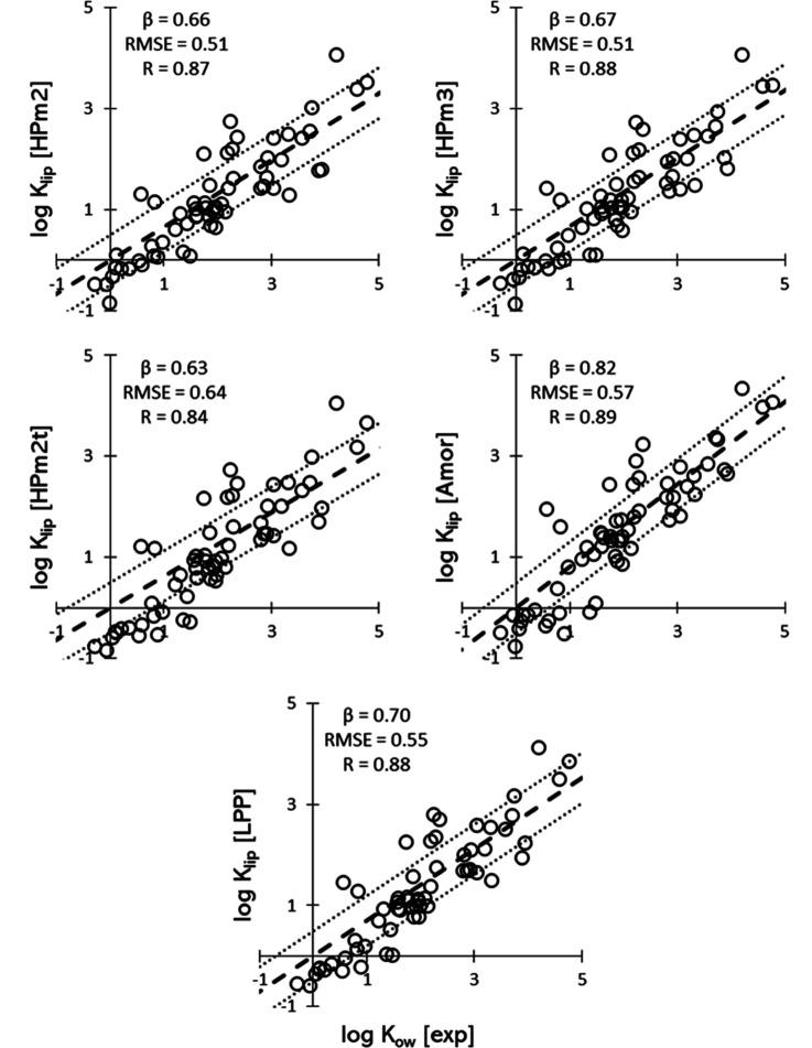
Stratum corneum (SC) is the main barrier of human skin where the inter-corneocytes lipids provide the main pathway for transdermal permeation of functional actives of skin care and health. Molecular dynamics (MD) has been increasingly used to simulate the SC lipid bilayer structure so that the barrier property and its affecting factors can be elucidated. Among reported MD simulation studies, solute partition in the SC lipids, an important parameter affecting SC permeability, has received limited attention. In this work, we combine MD simulation with COSMOmic to predict the partition coefficients of dermatologically relevant solutes in SC lipid bilayer. Firstly, we run MD simulations to obtain equilibrated SC lipid bilayers with different lipid types, compositions, and structures. Then, the simulated SC lipid bilayer structures are fed to COSMOmic to calculate the partition coefficients of the solutes. The results show that lipid types and bilayer geometries play a minor role in the predicted partition coefficients. For the more lipophilic solutes, the predicted results of solute partition in SC lipid bilayers agree well with reported experimental values of solute partition in extracted SC lipids. For the more hydrophilic molecules, there is a systematical underprediction. Nevertheless, the MD/COSMOmic approach correctly reproduces the phenomenological correlation between the SC lipid/water partition coefficients and the octanol/water partition coefficients. Overall, the results show that the MD/COSMOmic approach is a fast and valid method for predicting solute partitioning into SC lipids and hence supporting the assessment of percutaneous absorption of skin care ingredients, dermatological drugs as well as environmental pollutants.

摘要

表皮角质层(SC)是人体皮肤的主要屏障,其中细胞间脂质为皮肤护理和健康功能性活性物质的经皮渗透提供了主要途径。分子动力学(MD)已越来越多地用于模拟 SC 脂质双层结构,从而阐明其屏障性质及其影响因素。在已报道的 MD 模拟研究中,溶质在 SC 脂质中的分配是影响 SC 渗透性的一个重要参数,受到的关注有限。在这项工作中,我们结合 MD 模拟和 COSMOmic 来预测皮肤相关溶质在 SC 脂质双层中的分配系数。首先,我们进行 MD 模拟以获得具有不同脂质类型、组成和结构的平衡 SC 脂质双层。然后,将模拟的 SC 脂质双层结构输入 COSMOmic 以计算溶质的分配系数。结果表明,脂质类型和双层几何形状对预测的分配系数影响较小。对于更亲脂性的溶质,预测的 SC 脂质双层中溶质的分配结果与已报道的提取 SC 脂质中溶质分配的实验值吻合良好。对于更亲水的分子,存在系统的低估。然而,MD/COSMOmic 方法正确地再现了 SC 脂质/水分配系数和辛醇/水分配系数之间的经验相关性。总体而言,结果表明 MD/COSMOmic 方法是一种快速有效的方法,可用于预测溶质在 SC 脂质中的分配,从而支持对皮肤护理成分、皮肤科药物以及环境污染物经皮吸收的评估。

https://cdn.ncbi.nlm.nih.gov/pmc/blobs/cc45/10068742/76664b6b7557/jp2c08566_0002.jpg

文献检索

告别复杂PubMed语法,用中文像聊天一样搜索,搜遍4000万医学文献。AI智能推荐,让科研检索更轻松。

立即免费搜索

文件翻译

保留排版,准确专业,支持PDF/Word/PPT等文件格式,支持 12+语言互译。

免费翻译文档

深度研究

AI帮你快速写综述,25分钟生成高质量综述,智能提取关键信息,辅助科研写作。

立即免费体验