• 文献检索
  • 文档翻译
  • 深度研究
  • 学术资讯
  • Suppr Zotero 插件Zotero 插件
  • 邀请有礼
  • 套餐&价格
  • 历史记录
应用&插件
Suppr Zotero 插件Zotero 插件浏览器插件Mac 客户端Windows 客户端微信小程序
定价
高级版会员购买积分包购买API积分包
服务
文献检索文档翻译深度研究API 文档MCP 服务
关于我们
关于 Suppr公司介绍联系我们用户协议隐私条款
关注我们

Suppr 超能文献

核心技术专利:CN118964589B侵权必究
粤ICP备2023148730 号-1Suppr @ 2026

文献检索

告别复杂PubMed语法,用中文像聊天一样搜索,搜遍4000万医学文献。AI智能推荐,让科研检索更轻松。

立即免费搜索

文件翻译

保留排版,准确专业,支持PDF/Word/PPT等文件格式,支持 12+语言互译。

免费翻译文档

深度研究

AI帮你快速写综述,25分钟生成高质量综述,智能提取关键信息,辅助科研写作。

立即免费体验

粪便角蛋白 8 是坏死性小肠结肠炎肠损伤的一种非侵入性和特异性标志物。

Fecal Keratin 8 Is a Noninvasive and Specific Marker for Intestinal Injury in Necrotizing Enterocolitis.

机构信息

Department of Gastrointestinal Surgery, The First Hospital of China Medical University, Shenyang 110001, China.

Department of Surgery, Stanford University School of Medicine, Stanford, CA 94305, USA.

出版信息

J Immunol Res. 2023 Mar 14;2023:5356646. doi: 10.1155/2023/5356646. eCollection 2023.

DOI:10.1155/2023/5356646
PMID:36959922
原文链接:https://pmc.ncbi.nlm.nih.gov/articles/PMC10030213/
Abstract

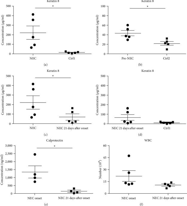
Specific biomarkers of intestinal injury associated with necrotizing enterocolitis (NEC) are needed to diagnose and monitor intestinal mucosal injury and recovery. This study aims to develop and test a modified enzyme-linked immunosorbent assay (ELISA) protocol to detect the total keratin 8 (K8) in the stool of newborns with NEC and investigate the clinical value of fecal K8 as a marker of intestinal injury specifically associated with NEC. We collected fecal samples from five newborns with NEC and five gestational age-matched premature neonates without NEC at the Lucile Packard Children's Hospital Stanford and Washington University School of Medicine, respectively. Fecal K8 levels were measured using a modified ELISA protocol and Western blot, and fecal calprotectin was measured using a commercial ELISA kit. Clinical data, including gestational age, birth weight, Bell stage for NEC, feeding strategies, total white blood cell (WBC) count, and other pertinent clinical variables, were collected and analyzed. Fecal K8 levels were significantly higher in the pre-NEC group (1-2 days before diagnosis of NEC) and NEC group than those in the non-NEC group ( = 0.013, = 0.041). Moreover, fecal K8 was relatively higher at the onset of NEC and declined after the resolution of the disease ( = 0.019). Results with similar trends to fecal K8 were also seen in fecal calprotectin ( = 0.046), but not seen in total WBC count ( = 0.182). In conclusion, a modified ELISA protocol for the total K8 protein was successfully developed for the detection of fecal K8 in the clinical setting of premature newborns with NEC. Fecal K8 is noted to be significantly increased in premature newborns with NEC and may, therefore, serve as a noninvasive and specific marker for intestinal epithelial injury associated with NEC.

摘要

需要特定的肠损伤生物标志物来诊断和监测肠黏膜损伤和恢复情况,与坏死性小肠结肠炎(NEC)相关。本研究旨在开发和测试改良的酶联免疫吸附测定(ELISA)方案,以检测患有 NEC 的新生儿粪便中的总角蛋白 8(K8),并研究粪便 K8 作为与 NEC 相关的肠损伤特异性标志物的临床价值。我们分别从斯坦福露西尔帕卡德儿童医院和华盛顿大学医学院的 5 名患有 NEC 的新生儿和 5 名胎龄匹配的早产儿中收集粪便样本。使用改良的 ELISA 方案和 Western blot 测量粪便 K8 水平,并使用商业 ELISA 试剂盒测量粪便钙卫蛋白。收集并分析了临床数据,包括胎龄、出生体重、NEC 的 Bell 分期、喂养策略、总白细胞(WBC)计数和其他相关临床变量。在预 NEC 组(在 NEC 诊断前 1-2 天)和 NEC 组中,粪便 K8 水平明显高于非 NEC 组(=0.013,=0.041)。此外,在 NEC 发病时粪便 K8 相对较高,在疾病缓解后下降(=0.019)。粪便 K8 的结果与粪便钙卫蛋白(=0.046)的趋势相似,但与总 WBC 计数(=0.182)的结果不同。总之,成功开发了一种改良的 ELISA 方案,用于检测患有 NEC 的早产儿粪便中的总 K8 蛋白。在患有 NEC 的早产儿中,粪便 K8 明显增加,因此可能成为与 NEC 相关的肠上皮损伤的非侵入性和特异性标志物。

https://cdn.ncbi.nlm.nih.gov/pmc/blobs/b8ca/10030213/17f4e8319a32/JIR2023-5356646.005.jpg
https://cdn.ncbi.nlm.nih.gov/pmc/blobs/b8ca/10030213/0ce055d281ba/JIR2023-5356646.001.jpg
https://cdn.ncbi.nlm.nih.gov/pmc/blobs/b8ca/10030213/f21de892c16f/JIR2023-5356646.002.jpg
https://cdn.ncbi.nlm.nih.gov/pmc/blobs/b8ca/10030213/4b77a094f512/JIR2023-5356646.003.jpg
https://cdn.ncbi.nlm.nih.gov/pmc/blobs/b8ca/10030213/0e0364f23084/JIR2023-5356646.004.jpg
https://cdn.ncbi.nlm.nih.gov/pmc/blobs/b8ca/10030213/17f4e8319a32/JIR2023-5356646.005.jpg
https://cdn.ncbi.nlm.nih.gov/pmc/blobs/b8ca/10030213/0ce055d281ba/JIR2023-5356646.001.jpg
https://cdn.ncbi.nlm.nih.gov/pmc/blobs/b8ca/10030213/f21de892c16f/JIR2023-5356646.002.jpg
https://cdn.ncbi.nlm.nih.gov/pmc/blobs/b8ca/10030213/4b77a094f512/JIR2023-5356646.003.jpg
https://cdn.ncbi.nlm.nih.gov/pmc/blobs/b8ca/10030213/0e0364f23084/JIR2023-5356646.004.jpg
https://cdn.ncbi.nlm.nih.gov/pmc/blobs/b8ca/10030213/17f4e8319a32/JIR2023-5356646.005.jpg

相似文献

1
Fecal Keratin 8 Is a Noninvasive and Specific Marker for Intestinal Injury in Necrotizing Enterocolitis.粪便角蛋白 8 是坏死性小肠结肠炎肠损伤的一种非侵入性和特异性标志物。
J Immunol Res. 2023 Mar 14;2023:5356646. doi: 10.1155/2023/5356646. eCollection 2023.
2
Fecal calprotectin levels are increased in infants with necrotizing enterocolitis.坏死性小肠结肠炎婴儿的粪便钙卫蛋白水平升高。
J Matern Fetal Neonatal Med. 2012 Nov;25(11):2237-41. doi: 10.3109/14767058.2012.684172. Epub 2012 May 10.
3
Serial fecal calprotectin in the prediction of necrotizing enterocolitis in preterm neonates.连续粪便钙卫蛋白在预测早产儿坏死性小肠结肠炎中的应用
J Pediatr Surg. 2019 Mar;54(3):455-459. doi: 10.1016/j.jpedsurg.2018.04.034. Epub 2018 May 1.
4
Diagnostic Value of Fecal Calprotectin in Preterm Infants with Necrotizing Enterocolitis.粪便钙卫蛋白在早产儿坏死性小肠结肠炎中的诊断价值
Clin Lab. 2016;62(5):863-9. doi: 10.7754/clin.lab.2015.150906.
5
Lipocalin-2 and calprotectin as stool biomarkers for predicting necrotizing enterocolitis in premature neonates.脂联素-2 和钙卫蛋白作为粪便生物标志物预测早产儿坏死性小肠结肠炎。
Pediatr Res. 2022 Jan;91(1):129-136. doi: 10.1038/s41390-021-01680-7. Epub 2021 Aug 31.
6
Fecal calprotectin concentration in neonatal necrotizing enterocolitis.新生儿坏死性小肠结肠炎中粪便钙卫蛋白浓度
Korean J Pediatr. 2014 Aug;57(8):351-6. doi: 10.3345/kjp.2014.57.8.351. Epub 2014 Aug 25.
7
Noninvasive measurement of fecal calprotectin and serum amyloid A combined with intestinal fatty acid-binding protein in necrotizing enterocolitis.采用非侵入性方法检测粪便钙卫蛋白、血清淀粉样蛋白 A 和肠脂肪酸结合蛋白在坏死性小肠结肠炎中的应用。
J Pediatr Surg. 2012 Sep;47(9):1640-5. doi: 10.1016/j.jpedsurg.2012.02.027.
8
Values of serum intestinal fatty acid-binding protein, fecal calprotectin, and fecal human β-defensin 2 for predicting necrotizing enterocolitis.血清肠脂肪酸结合蛋白、粪便钙卫蛋白和粪便人β防御素 2 对预测坏死性小肠结肠炎的价值。
BMC Pediatr. 2024 Mar 16;24(1):183. doi: 10.1186/s12887-024-04667-5.
9
Rapid fecal calprotectin (FC) analysis: point of care testing for diagnosing early necrotizing enterocolitis.快速粪便钙卫蛋白(FC)分析:用于诊断早期坏死性小肠结肠炎的即时检测
Am J Perinatol. 2015 Mar;32(4):337-42. doi: 10.1055/s-0034-1384640. Epub 2014 Aug 11.
10
Fecal phagocyte-specific S100A12 for diagnosing necrotizing enterocolitis.粪便吞噬细胞特异性 S100A12 用于诊断坏死性小肠结肠炎。
J Pediatr. 2012 Dec;161(6):1059-64. doi: 10.1016/j.jpeds.2012.06.003. Epub 2012 Jul 15.

引用本文的文献

1
Detection of an intestinal cell DNA methylation signature in blood samples from neonates with necrotizing enterocolitis.在坏死性小肠结肠炎新生儿血液样本中检测肠道细胞DNA甲基化特征
Epigenomics. 2025 Mar;17(4):235-245. doi: 10.1080/17501911.2025.2459552. Epub 2025 Feb 2.
2
Protective effect of soluble protein hydrolysate against HO‑induced intestinal injury: An interventional study.可溶性蛋白水解物对羟基自由基诱导的肠道损伤的保护作用:一项干预性研究。
Mol Med Rep. 2025 Apr;31(4). doi: 10.3892/mmr.2025.13450. Epub 2025 Jan 31.
3
Defining a timeline of colon pathologies after keratin 8 loss: rapid crypt elongation and diarrhea are followed by epithelial erosion and cell exfoliation.

本文引用的文献

1
Lipocalin-2 and calprotectin as stool biomarkers for predicting necrotizing enterocolitis in premature neonates.脂联素-2 和钙卫蛋白作为粪便生物标志物预测早产儿坏死性小肠结肠炎。
Pediatr Res. 2022 Jan;91(1):129-136. doi: 10.1038/s41390-021-01680-7. Epub 2021 Aug 31.
2
A Prospective Cohort Study of Fecal miR-223 and miR-451a as Noninvasive and Specific Biomarkers for Diagnosis of Necrotizing Enterocolitis in Preterm Infants.前瞻性队列研究粪便 miR-223 和 miR-451a 作为早产儿坏死性小肠结肠炎非侵入性和特异性生物标志物的研究。
Neonatology. 2020;117(5):555-561. doi: 10.1159/000511655. Epub 2020 Nov 25.
3
Diagnostic value of fecal calprotectin in necrotizing enterocolitis: A meta-analysis.
明确角蛋白 8 缺失后结肠病变的时间进程:快速隐窝伸长和腹泻之后,会出现上皮糜烂和细胞脱落。
Am J Physiol Gastrointest Liver Physiol. 2024 Jan 1;326(1):G67-G77. doi: 10.1152/ajpgi.00140.2023. Epub 2023 Nov 14.
粪便钙卫蛋白在坏死性小肠结肠炎中的诊断价值:一项荟萃分析。
Early Hum Dev. 2020 Dec;151:105170. doi: 10.1016/j.earlhumdev.2020.105170. Epub 2020 Sep 9.
4
Urinary I-FABP, L-FABP, TFF-3, and SAA Can Diagnose and Predict the Disease Course in Necrotizing Enterocolitis at the Early Stage of Disease.尿 I-FABP、L-FABP、TFF-3 和 SAA 可在疾病早期诊断和预测坏死性小肠结肠炎的病程。
J Immunol Res. 2020 Mar 3;2020:3074313. doi: 10.1155/2020/3074313. eCollection 2020.
5
Faecal volatile organic compounds in preterm babies at risk of necrotising enterocolitis: the DOVE study.早产儿患坏死性小肠结肠炎风险的粪便挥发性有机化合物:DOVE 研究。
Arch Dis Child Fetal Neonatal Ed. 2020 Sep;105(5):474-479. doi: 10.1136/archdischild-2019-318221. Epub 2019 Dec 23.
6
Fecal Calprotectin.粪便钙卫蛋白。
Adv Clin Chem. 2018;87:161-190. doi: 10.1016/bs.acc.2018.07.005. Epub 2018 Oct 1.
7
Serial fecal calprotectin in the prediction of necrotizing enterocolitis in preterm neonates.连续粪便钙卫蛋白在预测早产儿坏死性小肠结肠炎中的应用
J Pediatr Surg. 2019 Mar;54(3):455-459. doi: 10.1016/j.jpedsurg.2018.04.034. Epub 2018 May 1.
8
Comparison of abdominal radiographs and sonography in prognostic prediction of infants with necrotizing enterocolitis.腹部X线平片与超声检查在坏死性小肠结肠炎婴儿预后预测中的比较
Pediatr Surg Int. 2018 May;34(5):535-541. doi: 10.1007/s00383-018-4256-y. Epub 2018 Mar 30.
9
Significance of dynamic evolution of TNF-α, IL-6 and intestinal fatty acid-binding protein levels in neonatal necrotizing enterocolitis.肿瘤坏死因子-α、白细胞介素-6及肠道脂肪酸结合蛋白水平动态变化在新生儿坏死性小肠结肠炎中的意义
Exp Ther Med. 2018 Feb;15(2):1289-1292. doi: 10.3892/etm.2017.5532. Epub 2017 Nov 21.
10
Keratins regulate colonic epithelial cell differentiation through the Notch1 signalling pathway.角蛋白通过Notch1信号通路调节结肠上皮细胞分化。
Cell Death Differ. 2017 Jun;24(6):984-996. doi: 10.1038/cdd.2017.28. Epub 2017 May 5.