Suppr超能文献

磁共振动态评估无骨折脱位型颈脊髓损伤患者的颈椎。

Dynamic evaluation of the cervical spine by kinematic MRI in patients with cervical spinal cord injury without fracture and dislocation.

机构信息

Department of Spine Surgery, Yuebei People's Hospital, Guangdong Medical University, Shaoguan City, 512026, Guangdong, China.

Department of Spine Surgery, Shaoguan First People's Hospital, Shaoguan City, 512026, Guangdong, China.

出版信息

J Orthop Surg Res. 2023 Mar 27;18(1):249. doi: 10.1186/s13018-023-03745-1.

Abstract

BACKGROUND

The pattern of changes in the cervical spine and the spinal cord and their dynamic characteristics in patients with cervical spinal cord injury without fracture and dislocation remain unclear. This study aimed to evaluate the dynamic changes in the cervical spine and spinal cord from C2/3 to C7/T1 in different positions by using kinematic magnetic resonance imaging in patients with cervical spinal cord injury without fracture and dislocation. This study was approved by the ethics committee of Yuebei People's Hospital.

METHODS

Using median sagittal T2-weighted images for 16 patients with cervical spinal cord injury without fracture and dislocation who underwent cervical kinematic MRI, the anterior space available for the cord, spinal cord diameter, posterior space available for the cord from C2/3 to C7/T1, and Muhle's grade were determined. The spinal canal diameter was calculated by adding the anterior space available for the cord, spinal cord diameter, and posterior space available for the cord.

RESULTS

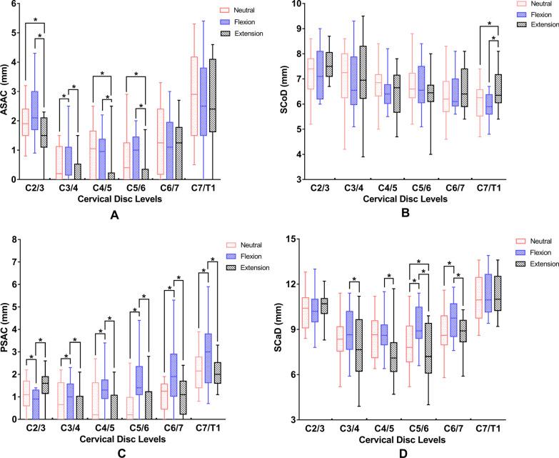
The anterior space available for the cord, posterior space available for the cord, and spinal canal diameters at C2/3 and C7/T1 were significantly higher than those from C3/4 to C6/7. Muhle's grades at C2/3 and C7/T1 were significantly lower than those at the other levels. Spinal canal diameter was lower in extension than in the neutral and flexion positions. In the operated segments, significantly lesser space was available for the cord (anterior space available for the cord + posterior space available for the cord), and the spinal cord diameter/spinal canal diameter ratio was higher than those in the C2/3, C7/T1, and non-operated segments.

CONCLUSION

Kinematic MRI demonstrated dynamic pathoanatomical changes, such as canal stenosis in different positions, in patients with cervical spinal cord injury without fracture and dislocation. The injured segment had a small canal diameter, high Muhle's grade, low space available for the cord, and high spinal cord diameter/spinal canal diameter ratio.

摘要

背景

颈椎和脊髓在无骨折脱位型颈脊髓损伤患者中的变化模式及其动态特征尚不清楚。本研究旨在通过颈椎运动磁共振成像(kinematic magnetic resonance imaging,K-MRI)评估无骨折脱位型颈脊髓损伤患者 C2/3 至 C7/T1 颈椎和脊髓的动态变化。本研究经粤北人民医院伦理委员会批准。

方法

对 16 例无骨折脱位型颈脊髓损伤患者行颈椎 K-MRI 检查,采用正中矢状面 T2 加权像测量 C2/3 至 C7/T1 颈髓前方有效间隙(available for the cord,AC)、脊髓直径、脊髓后方有效间隙(posterior space available for the cord,PSC)及 Muhle 分级,椎管直径为 AC、脊髓直径和 PSC 之和。

结果

C2/3 和 C7/T1 的 AC、PSC 和椎管直径明显大于 C3/4 至 C6/7,C2/3 和 C7/T1 的 Muhle 分级明显低于其他水平。与中立位和前屈位相比,伸展位时椎管直径较小。在手术节段,脊髓的可用间隙明显较小(AC+PSC),脊髓直径/椎管直径比值高于 C2/3、C7/T1 和非手术节段。

结论

K-MRI 显示无骨折脱位型颈脊髓损伤患者在不同位置存在动态病理解剖学变化,如椎管狭窄。损伤节段椎管较小,Muhle 分级较高,AC 和 PSC 较小,脊髓直径/椎管直径比值较高。

https://cdn.ncbi.nlm.nih.gov/pmc/blobs/ca5f/10044375/1dad862e5e79/13018_2023_3745_Fig1_HTML.jpg

文献AI研究员

20分钟写一篇综述,助力文献阅读效率提升50倍。

立即体验

用中文搜PubMed

大模型驱动的PubMed中文搜索引擎

马上搜索

文档翻译

学术文献翻译模型,支持多种主流文档格式。

立即体验