Han Yuan, Zheng Yongqiu, Li Nan, Luo Yifan, Xue Chenyang, Bai Jiandong, Chen Jiamin
Key Laboratory of Instrumentation Science and Dynamic Measurement Ministry of Education, North University of China, Taiyuan 030051, China.
Micromachines (Basel). 2023 Feb 22;14(3):512. doi: 10.3390/mi14030512.
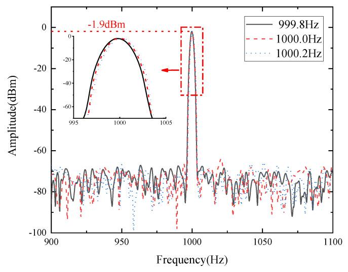
Acoustic detection based on optical technology has moved in the direction of high sensitivity and resolution. In this study, an optical waveguide acoustic sensor based on a ring resonator with the evanescent field is proposed. Grooves are introduced into the ring resonators as a direct sensitive structure to excite the evanescent field. A series of resonators with diverse grooves are fabricated for a comparative analysis of acoustic performance. The acoustic parameters of bandwidth, sensitivity, and signal-to-noise ratio (SNR) vary with different grooves indicated by the Q-factor. The results show that the ring resonators with variable-sized grooves exhibit excellent capability of acoustics detection. A maximum frequency of 160 kHz and a high sensitivity of 60.075 mV/Pa is achieved, with the minimum detectable sound pressure being 131.34 µPa/Hz. Furthermore, the resonators with high Q-factors represent a remarkable sound resolution reaching 0.2 Hz. This work is of great significance for optimizing acoustic sensors and broadening the application range.
基于光学技术的声学检测已朝着高灵敏度和高分辨率的方向发展。在本研究中,提出了一种基于具有倏逝场的环形谐振器的光波导声学传感器。在环形谐振器中引入凹槽作为直接敏感结构来激发倏逝场。制造了一系列具有不同凹槽的谐振器,用于声学性能的对比分析。带宽、灵敏度和信噪比(SNR)等声学参数随由品质因数表示的不同凹槽而变化。结果表明,具有可变尺寸凹槽的环形谐振器展现出优异的声学检测能力。实现了160 kHz的最大频率和60.075 mV/Pa的高灵敏度,最小可检测声压为131.34 µPa/Hz。此外,具有高品质因数的谐振器表现出高达0.2 Hz的卓越声音分辨率。这项工作对于优化声学传感器和拓宽应用范围具有重要意义。