• 文献检索
  • 文档翻译
  • 深度研究
  • 学术资讯
  • Suppr Zotero 插件Zotero 插件
  • 邀请有礼
  • 套餐&价格
  • 历史记录
应用&插件
Suppr Zotero 插件Zotero 插件浏览器插件Mac 客户端Windows 客户端微信小程序
定价
高级版会员购买积分包购买API积分包
服务
文献检索文档翻译深度研究API 文档MCP 服务
关于我们
关于 Suppr公司介绍联系我们用户协议隐私条款
关注我们

Suppr 超能文献

核心技术专利:CN118964589B侵权必究
粤ICP备2023148730 号-1Suppr @ 2026

文献检索

告别复杂PubMed语法,用中文像聊天一样搜索,搜遍4000万医学文献。AI智能推荐,让科研检索更轻松。

立即免费搜索

文件翻译

保留排版,准确专业,支持PDF/Word/PPT等文件格式,支持 12+语言互译。

免费翻译文档

深度研究

AI帮你快速写综述,25分钟生成高质量综述,智能提取关键信息,辅助科研写作。

立即免费体验

基于二维声学黑洞的振动能量采集器研究

Research on Vibration Energy Harvester Based on Two-Dimensional Acoustic Black Hole.

作者信息

Yang Chunlai, Yuan Yikai, Wang Hai, Tang Ye, Gui Jingsong

机构信息

School of Mechanical Engineering, Anhui Polytechnic University, Wuhu 241000, China.

Anhui Key Laboratory of Advanced Numerical Control & Servo Technology, Wuhu 241000, China.

出版信息

Micromachines (Basel). 2023 Feb 25;14(3):538. doi: 10.3390/mi14030538.

DOI:10.3390/mi14030538
PMID:36984944
原文链接:https://pmc.ncbi.nlm.nih.gov/articles/PMC10059936/
Abstract

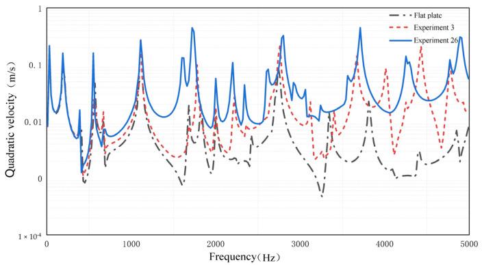
The wave energy focus effect of an acoustic black hole (ABH) is used for broadband vibration energy harvesting and boosts the harvested power. A vibration energy harvester based on two-dimensional ABH is proposed in this study, which consists of a rectangle plate with 2-D ABH and PZT film attached. The structure of ABH was designed and analyzed based on numerical simulation. The optimal parameters of the ABH were obtained, such as the power index, truncation thickness, cross-sectional length, and round table diameter, which were 3, 0.4 mm, 40 mm, and 24 mm, respectively. The quadratic velocity of the plate surface with ABH is up to 22.33 times that of a flat plate, and PZT film adheres to the corresponding positions of the ABH structure and plate structure, respectively. In the same condition, the average output power of a PZT with an ABH structure is higher than that of a flat plate under the same excitation-vibration condition.

摘要

声学黑洞(ABH)的波能聚焦效应被用于宽带振动能量收集,并提高了收集到的功率。本研究提出了一种基于二维ABH的振动能量收集器,它由带有二维ABH的矩形板和附着的PZT薄膜组成。基于数值模拟对ABH的结构进行了设计和分析。获得了ABH的最佳参数,如功率指数、截断厚度、横截面长度和圆桌直径,分别为3、0.4毫米、40毫米和24毫米。带有ABH的板表面的二次速度高达平板的22.33倍,PZT薄膜分别附着在ABH结构和板结构的相应位置。在相同条件下,在相同的激励振动条件下,带有ABH结构的PZT的平均输出功率高于平板。

https://cdn.ncbi.nlm.nih.gov/pmc/blobs/5a3a/10059936/e00a74d5eb31/micromachines-14-00538-g014.jpg
https://cdn.ncbi.nlm.nih.gov/pmc/blobs/5a3a/10059936/acbfb53cc7bd/micromachines-14-00538-g001.jpg
https://cdn.ncbi.nlm.nih.gov/pmc/blobs/5a3a/10059936/67f3f5c51d85/micromachines-14-00538-g002.jpg
https://cdn.ncbi.nlm.nih.gov/pmc/blobs/5a3a/10059936/eabf78865263/micromachines-14-00538-g003.jpg
https://cdn.ncbi.nlm.nih.gov/pmc/blobs/5a3a/10059936/24001b0dbdcf/micromachines-14-00538-g004.jpg
https://cdn.ncbi.nlm.nih.gov/pmc/blobs/5a3a/10059936/32896e43b0ed/micromachines-14-00538-g005a.jpg
https://cdn.ncbi.nlm.nih.gov/pmc/blobs/5a3a/10059936/c0b884365dd3/micromachines-14-00538-g006.jpg
https://cdn.ncbi.nlm.nih.gov/pmc/blobs/5a3a/10059936/c5a72d7541a2/micromachines-14-00538-g007.jpg
https://cdn.ncbi.nlm.nih.gov/pmc/blobs/5a3a/10059936/43b2ec2ed9e8/micromachines-14-00538-g008.jpg
https://cdn.ncbi.nlm.nih.gov/pmc/blobs/5a3a/10059936/e5dd8d3aa4d3/micromachines-14-00538-g009.jpg
https://cdn.ncbi.nlm.nih.gov/pmc/blobs/5a3a/10059936/f07f8ef31bfa/micromachines-14-00538-g010.jpg
https://cdn.ncbi.nlm.nih.gov/pmc/blobs/5a3a/10059936/db9505d3aa5d/micromachines-14-00538-g011.jpg
https://cdn.ncbi.nlm.nih.gov/pmc/blobs/5a3a/10059936/9220bea54eef/micromachines-14-00538-g012.jpg
https://cdn.ncbi.nlm.nih.gov/pmc/blobs/5a3a/10059936/e7fa8749809c/micromachines-14-00538-g013.jpg
https://cdn.ncbi.nlm.nih.gov/pmc/blobs/5a3a/10059936/e00a74d5eb31/micromachines-14-00538-g014.jpg
https://cdn.ncbi.nlm.nih.gov/pmc/blobs/5a3a/10059936/acbfb53cc7bd/micromachines-14-00538-g001.jpg
https://cdn.ncbi.nlm.nih.gov/pmc/blobs/5a3a/10059936/67f3f5c51d85/micromachines-14-00538-g002.jpg
https://cdn.ncbi.nlm.nih.gov/pmc/blobs/5a3a/10059936/eabf78865263/micromachines-14-00538-g003.jpg
https://cdn.ncbi.nlm.nih.gov/pmc/blobs/5a3a/10059936/24001b0dbdcf/micromachines-14-00538-g004.jpg
https://cdn.ncbi.nlm.nih.gov/pmc/blobs/5a3a/10059936/32896e43b0ed/micromachines-14-00538-g005a.jpg
https://cdn.ncbi.nlm.nih.gov/pmc/blobs/5a3a/10059936/c0b884365dd3/micromachines-14-00538-g006.jpg
https://cdn.ncbi.nlm.nih.gov/pmc/blobs/5a3a/10059936/c5a72d7541a2/micromachines-14-00538-g007.jpg
https://cdn.ncbi.nlm.nih.gov/pmc/blobs/5a3a/10059936/43b2ec2ed9e8/micromachines-14-00538-g008.jpg
https://cdn.ncbi.nlm.nih.gov/pmc/blobs/5a3a/10059936/e5dd8d3aa4d3/micromachines-14-00538-g009.jpg
https://cdn.ncbi.nlm.nih.gov/pmc/blobs/5a3a/10059936/f07f8ef31bfa/micromachines-14-00538-g010.jpg
https://cdn.ncbi.nlm.nih.gov/pmc/blobs/5a3a/10059936/db9505d3aa5d/micromachines-14-00538-g011.jpg
https://cdn.ncbi.nlm.nih.gov/pmc/blobs/5a3a/10059936/9220bea54eef/micromachines-14-00538-g012.jpg
https://cdn.ncbi.nlm.nih.gov/pmc/blobs/5a3a/10059936/e7fa8749809c/micromachines-14-00538-g013.jpg
https://cdn.ncbi.nlm.nih.gov/pmc/blobs/5a3a/10059936/e00a74d5eb31/micromachines-14-00538-g014.jpg

相似文献

1
Research on Vibration Energy Harvester Based on Two-Dimensional Acoustic Black Hole.基于二维声学黑洞的振动能量采集器研究
Micromachines (Basel). 2023 Feb 25;14(3):538. doi: 10.3390/mi14030538.
2
Vibration and sound radiation of an acoustic black hole plate immersed in heavy fluid.重液中声黑洞板的振动和声辐射。
J Acoust Soc Am. 2023 Jul 1;154(1):179-190. doi: 10.1121/10.0020067.
3
A light-weight periodic plate with embedded acoustic black holes and bandgaps for broadband sound radiation reduction.一种带有嵌入式声学黑洞和带隙的轻质周期板,用于宽带声辐射降低。
J Acoust Soc Am. 2021 Nov;150(5):3532. doi: 10.1121/10.0007067.
4
Sound radiation and transonic boundaries of a plate with an acoustic black hole.带有声学黑洞的平板的声辐射与跨音速边界
J Acoust Soc Am. 2019 Jan;145(1):164. doi: 10.1121/1.5081680.
5
Wavenumber domain analyses of vibro-acoustic decoupling and noise attenuation in a plate-cavity system enclosed by an acoustic black hole plate.由声学黑洞板包围的板-腔系统中振动声学解耦和噪声衰减的波数域分析。
J Acoust Soc Am. 2019 Jul;146(1):72. doi: 10.1121/1.5114821.
6
Numerical analysis of the vibroacoustic properties of plates with embedded grids of acoustic black holes.带有声学黑洞嵌入式网格的板的振动声学特性的数值分析。
J Acoust Soc Am. 2015 Jan;137(1):447-57. doi: 10.1121/1.4904501.
7
Vibration damping using a spiral acoustic black hole.使用螺旋声黑洞进行减振。
J Acoust Soc Am. 2017 Mar;141(3):1437. doi: 10.1121/1.4976687.
8
Research on the Characteristics and Application of Two-Degree-of-Freedom Diagonal Beam Piezoelectric Vibration Energy Harvester.双自由度对角梁压电式振动能量收集器的特性及应用研究。
Sensors (Basel). 2022 Sep 6;22(18):6720. doi: 10.3390/s22186720.
9
A Hybrid Piezoelectric and Electromagnetic Broadband Harvester with Double Cantilever Beams.一种具有双悬臂梁的压电与电磁混合宽带能量收集器。
Micromachines (Basel). 2023 Jan 18;14(2):240. doi: 10.3390/mi14020240.
10
Transmission loss of plates with embedded multi-scale and tuned acoustic black holes.带有嵌入式多尺度和调谐声学黑洞的板的传输损耗
J Acoust Soc Am. 2021 Sep;150(3):2282. doi: 10.1121/10.0006442.

引用本文的文献

1
Monitoring the Air Quality in an HVAC System via an Energy Harvesting Device.通过能量收集装置监测暖通空调系统中的空气质量。
Sensors (Basel). 2023 Jul 13;23(14):6381. doi: 10.3390/s23146381.

本文引用的文献

1
Investigation of Nonlinear Piezoelectric Energy Harvester for Low-Frequency and Wideband Applications.用于低频和宽带应用的非线性压电能量收集器的研究。
Micromachines (Basel). 2022 Aug 26;13(9):1399. doi: 10.3390/mi13091399.
2
Ceramic-Based Piezoelectric Material for Energy Harvesting Using Hybrid Excitation.用于混合激励能量收集的陶瓷基压电材料
Materials (Basel). 2021 Oct 5;14(19):5816. doi: 10.3390/ma14195816.