Suppr超能文献

五年(2016 - 2020年)来美国食品药品监督管理局批准药物的不对称合成:手性概述

Asymmetric Synthesis of US-FDA Approved Drugs over Five Years (2016-2020): A Recapitulation of Chirality.

作者信息

Tamatam Rekha, Shin Dongyun

机构信息

College of Pharmacy, Gachon University, 191 Hambakmoe-ro, Yeonsu-gu, Incheon 21936, Republic of Korea.

Gachon Pharmaceutical Research Institute, Gachon University, 191 Hambakmoe-ro, Yeonsu-gu, Incheon 21936, Republic of Korea.

出版信息

Pharmaceuticals (Basel). 2023 Feb 22;16(3):339. doi: 10.3390/ph16030339.

Abstract

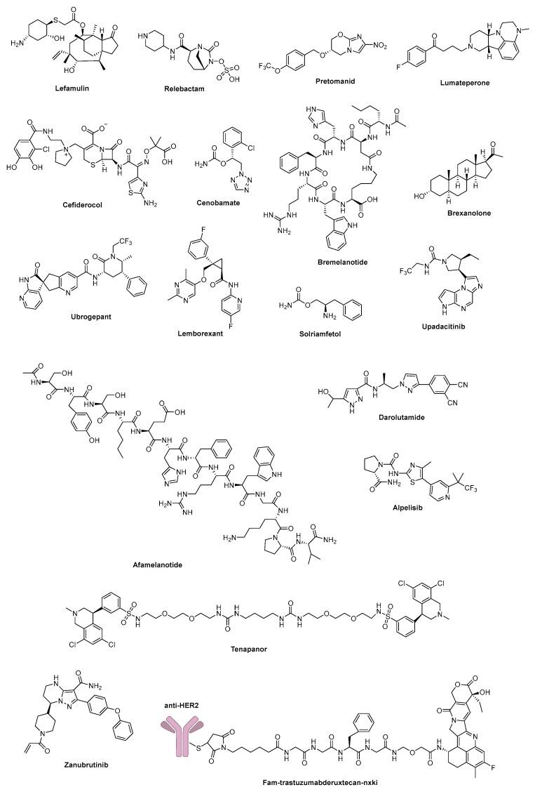
Chirality is a major theme in the design, discovery, and development of new drugs. Historically, pharmaceuticals have been synthesized as racemic mixtures. However, the enantiomeric forms of drug molecules have distinct biological properties. One enantiomer may be responsible for the desired therapeutic effect (eutomer), whereas the other may be inactive, interfere with the therapeutic form, or exhibit toxicity (distomer). Classical chemical synthesis usually leads to a racemic mixture unless stereospecific synthesis is employed. To meet the requirements of single-enantiomeric drugs, asymmetric synthesis has evolved at the forefront of drug discovery. Asymmetric synthesis involves the conversion of an achiral starting material into a chiral product. This review emphasizes the methods used for synthesizing FDA-approved chiral drugs during 2016-2020, with a special focus on asymmetric synthesis by means of chiral induction, resolution, or chiral pool.

摘要

手性是新药设计、发现和开发中的一个主要主题。从历史上看,药物一直是以外消旋混合物的形式合成的。然而,药物分子的对映体形式具有不同的生物学特性。一种对映体可能负责产生所需的治疗效果(优映体),而另一种可能无活性、干扰治疗形式或表现出毒性(劣映体)。经典化学合成通常会产生外消旋混合物,除非采用立体有择合成。为了满足单一对映体药物的要求,不对称合成已发展成为药物发现的前沿领域。不对称合成涉及将非手性起始原料转化为手性产物。本综述重点介绍了2016年至2020年期间用于合成美国食品药品监督管理局(FDA)批准的手性药物的方法,特别关注通过手性诱导、拆分或手性源进行的不对称合成。

https://cdn.ncbi.nlm.nih.gov/pmc/blobs/bc9e/10052577/77af1dd534de/pharmaceuticals-16-00339-g001.jpg

文献检索

告别复杂PubMed语法,用中文像聊天一样搜索,搜遍4000万医学文献。AI智能推荐,让科研检索更轻松。

立即免费搜索

文件翻译

保留排版,准确专业,支持PDF/Word/PPT等文件格式,支持 12+语言互译。

免费翻译文档

深度研究

AI帮你快速写综述,25分钟生成高质量综述,智能提取关键信息,辅助科研写作。

立即免费体验