• 文献检索
  • 文档翻译
  • 深度研究
  • 学术资讯
  • Suppr Zotero 插件Zotero 插件
  • 邀请有礼
  • 套餐&价格
  • 历史记录
应用&插件
Suppr Zotero 插件Zotero 插件浏览器插件Mac 客户端Windows 客户端微信小程序
定价
高级版会员购买积分包购买API积分包
服务
文献检索文档翻译深度研究API 文档MCP 服务
关于我们
关于 Suppr公司介绍联系我们用户协议隐私条款
关注我们

Suppr 超能文献

核心技术专利:CN118964589B侵权必究
粤ICP备2023148730 号-1Suppr @ 2026

文献检索

告别复杂PubMed语法,用中文像聊天一样搜索,搜遍4000万医学文献。AI智能推荐,让科研检索更轻松。

立即免费搜索

文件翻译

保留排版,准确专业,支持PDF/Word/PPT等文件格式,支持 12+语言互译。

免费翻译文档

深度研究

AI帮你快速写综述,25分钟生成高质量综述,智能提取关键信息,辅助科研写作。

立即免费体验

利用共振电离质谱法对乏核燃料颗粒中的裂变产物 Sr、Mo 和 Ru 进行同位素同时分析。

Simultaneous isotopic analysis of fission product Sr, Mo, and Ru in spent nuclear fuel particles by resonance ionization mass spectrometry.

机构信息

Lawrence Livermore National Laboratory, Nuclear and Chemical Sciences Division, Livermore, CA, USA.

Oak Ridge National Laboratory, Material Security and Counterproliferation, Nuclear Nonproliferation Division, Oak Ridge, TN, USA.

出版信息

Sci Rep. 2023 Mar 30;13(1):5193. doi: 10.1038/s41598-023-32203-5.

DOI:10.1038/s41598-023-32203-5
PMID:36997559
原文链接:https://pmc.ncbi.nlm.nih.gov/articles/PMC10063544/
Abstract

Fission product Sr, Mo, and Ru isotopes in six 10-μm particles of spent fuel from a pressurized water reactor were analyzed by resonance ionization mass spectrometry (RIMS) and evaluated for utility in nuclear material characterization. Previous measurements on these same samples showed widely varying U, Pu, and Am isotopic compositions owing to the samples' differing irradiation environments within the reactor. This is also seen in Mo and Ru isotopes, which have the added complication of exsolution from the UO fuel matrix. This variability is a hindrance to interpreting data from a collection of particles with incomplete provenance since it is not always possible to assign particles to the same batch of fuel based on isotopic analyses alone. In contrast, the measured Sr/Sr ratios were indistinguishable across all samples. Strontium isotopic analysis can therefore be used to connect samples with otherwise disparate isotopic compositions, allowing them to be grouped appropriately for interpretation. Strontium isotopic analysis also provides a robust chronometer for determining the time since fuel irradiation. Because of the very high sensitivity of RIMS, only a small fraction of material in each of the 10 μm samples was consumed, leaving the vast majority still available for other analyses.

摘要

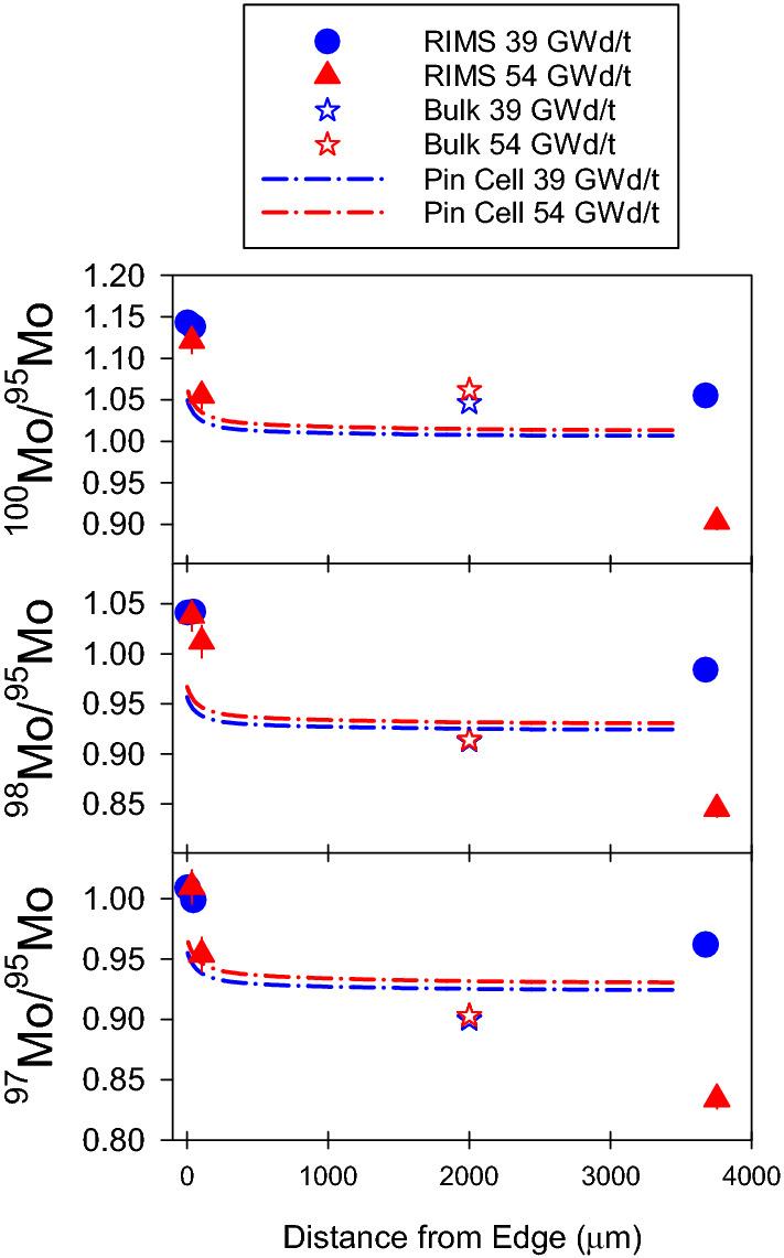
利用共振电离质谱法(RIMS)分析了压水堆中 6 个 10μm 废弃燃料颗粒中的裂变产物 Sr、Mo 和 Ru 同位素,并评估了它们在核材料特性表征中的应用。之前对这些相同样品的测量结果表明,由于反应堆内不同的辐照环境,U、Pu 和 Am 同位素组成存在广泛差异。Mo 和 Ru 同位素也存在这种情况,它们还存在从 UO 燃料基质中分离的额外复杂性。这种可变性对于解释来自具有不完整来源的颗粒集合的数据造成了阻碍,因为仅基于同位素分析,并非总是可以将颗粒分配到相同的燃料批次。相比之下,所有样品中的 Sr/Sr 比值都无法区分。因此,锶同位素分析可用于连接具有不同同位素组成的样品,以便对它们进行适当的分组进行解释。锶同位素分析还为确定燃料辐照后的时间提供了可靠的计时器。由于 RIMS 的灵敏度非常高,每个 10μm 样品中只有一小部分材料被消耗,而绝大多数材料仍可用于其他分析。

https://cdn.ncbi.nlm.nih.gov/pmc/blobs/e294/10063544/35afdbc03a05/41598_2023_32203_Fig10_HTML.jpg
https://cdn.ncbi.nlm.nih.gov/pmc/blobs/e294/10063544/8ecff18c5abb/41598_2023_32203_Fig1_HTML.jpg
https://cdn.ncbi.nlm.nih.gov/pmc/blobs/e294/10063544/97f6107cd917/41598_2023_32203_Fig2_HTML.jpg
https://cdn.ncbi.nlm.nih.gov/pmc/blobs/e294/10063544/66d1e4fb53b5/41598_2023_32203_Fig3_HTML.jpg
https://cdn.ncbi.nlm.nih.gov/pmc/blobs/e294/10063544/d3c43cd2c7a5/41598_2023_32203_Fig4_HTML.jpg
https://cdn.ncbi.nlm.nih.gov/pmc/blobs/e294/10063544/dc7a9870c162/41598_2023_32203_Fig5_HTML.jpg
https://cdn.ncbi.nlm.nih.gov/pmc/blobs/e294/10063544/14d172315f70/41598_2023_32203_Fig6_HTML.jpg
https://cdn.ncbi.nlm.nih.gov/pmc/blobs/e294/10063544/9b4ff62345f7/41598_2023_32203_Fig7_HTML.jpg
https://cdn.ncbi.nlm.nih.gov/pmc/blobs/e294/10063544/1dbfeddad3ec/41598_2023_32203_Fig8_HTML.jpg
https://cdn.ncbi.nlm.nih.gov/pmc/blobs/e294/10063544/9ab28b564bb1/41598_2023_32203_Fig9_HTML.jpg
https://cdn.ncbi.nlm.nih.gov/pmc/blobs/e294/10063544/35afdbc03a05/41598_2023_32203_Fig10_HTML.jpg
https://cdn.ncbi.nlm.nih.gov/pmc/blobs/e294/10063544/8ecff18c5abb/41598_2023_32203_Fig1_HTML.jpg
https://cdn.ncbi.nlm.nih.gov/pmc/blobs/e294/10063544/97f6107cd917/41598_2023_32203_Fig2_HTML.jpg
https://cdn.ncbi.nlm.nih.gov/pmc/blobs/e294/10063544/66d1e4fb53b5/41598_2023_32203_Fig3_HTML.jpg
https://cdn.ncbi.nlm.nih.gov/pmc/blobs/e294/10063544/d3c43cd2c7a5/41598_2023_32203_Fig4_HTML.jpg
https://cdn.ncbi.nlm.nih.gov/pmc/blobs/e294/10063544/dc7a9870c162/41598_2023_32203_Fig5_HTML.jpg
https://cdn.ncbi.nlm.nih.gov/pmc/blobs/e294/10063544/14d172315f70/41598_2023_32203_Fig6_HTML.jpg
https://cdn.ncbi.nlm.nih.gov/pmc/blobs/e294/10063544/9b4ff62345f7/41598_2023_32203_Fig7_HTML.jpg
https://cdn.ncbi.nlm.nih.gov/pmc/blobs/e294/10063544/1dbfeddad3ec/41598_2023_32203_Fig8_HTML.jpg
https://cdn.ncbi.nlm.nih.gov/pmc/blobs/e294/10063544/9ab28b564bb1/41598_2023_32203_Fig9_HTML.jpg
https://cdn.ncbi.nlm.nih.gov/pmc/blobs/e294/10063544/35afdbc03a05/41598_2023_32203_Fig10_HTML.jpg

相似文献

1
Simultaneous isotopic analysis of fission product Sr, Mo, and Ru in spent nuclear fuel particles by resonance ionization mass spectrometry.利用共振电离质谱法对乏核燃料颗粒中的裂变产物 Sr、Mo 和 Ru 进行同位素同时分析。
Sci Rep. 2023 Mar 30;13(1):5193. doi: 10.1038/s41598-023-32203-5.
2
Simultaneous Isotopic Analysis of U, Pu, and Am in Spent Nuclear Fuel by Resonance Ionization Mass Spectrometry.采用共振电离质谱法对乏核燃料中的 U、Pu 和 Am 进行同位素同时分析。
Anal Chem. 2021 Jul 13;93(27):9505-9512. doi: 10.1021/acs.analchem.1c01360. Epub 2021 Jun 29.
3
A composite position independent monitor of reactor fuel irradiation using Pu, Cs, and Ba isotope ratios.一种使用钚、铯和钡同位素比率的反应堆燃料辐照复合位置无关监测器。
J Environ Radioact. 2018 Dec;195:9-19. doi: 10.1016/j.jenvrad.2018.08.014. Epub 2018 Sep 18.
4
Chemical and Isotopic Characterization of Noble Metal Phase from Commercial UO Fuel.商用UO燃料中贵金属相的化学和同位素表征
Anal Chem. 2019 May 21;91(10):6522-6529. doi: 10.1021/acs.analchem.8b05549. Epub 2019 May 2.
5
Multi-element isotopic analysis of hot particles from Chornobyl.切尔诺贝利热颗粒的多元素同位素分析。
J Hazard Mater. 2023 Jun 15;452:131338. doi: 10.1016/j.jhazmat.2023.131338. Epub 2023 Apr 1.
6
Spatially resolved analysis of plutonium isotopic signatures in environmental particle samples by laser ablation-MC-ICP-MS.通过激光烧蚀-多接收电感耦合等离子体质谱法对环境颗粒样品中钚同位素特征进行空间分辨分析。
Anal Bioanal Chem. 2016 Jan;408(2):431-40. doi: 10.1007/s00216-015-8876-y. Epub 2015 Jul 14.
7
New approaches to reprocessing of oxide nuclear fuel.氧化物核燃料后处理的新方法。
J Radioanal Nucl Chem. 2013;296(2):1127-1131. doi: 10.1007/s10967-012-2260-6. Epub 2012 Sep 26.
8
Sorption of Strontium to Uraninite and Uranium(IV)-Silicate Nanoparticles.锶在晶质铀矿和硅酸铀(IV)纳米颗粒上的吸附作用
Langmuir. 2022 Mar 15;38(10):3090-3097. doi: 10.1021/acs.langmuir.1c02927. Epub 2022 Feb 28.
9
Ultratrace analysis and isotope ratio measurements of long-lived radioisotopes by resonance ionization mass spectrometry (RIMS).通过共振电离质谱法(RIMS)对长寿命放射性同位素进行超痕量分析和同位素比率测量。
Anal Bioanal Chem. 2004 Jan;378(2):348-55. doi: 10.1007/s00216-003-2183-8. Epub 2003 Sep 11.
10
National-scale distribution of strontium isotope ratios in environmental samples from South Korea and its implications for provenance studies.韩国环境样本中锶同位素比值的全国尺度分布及其对物源研究的意义。
Chemosphere. 2023 Mar;317:137895. doi: 10.1016/j.chemosphere.2023.137895. Epub 2023 Jan 16.

引用本文的文献

1
Measurements of stable ruthenium fission products in nuclear reactor fuel samples.核反应堆燃料样品中稳定钌裂变产物的测量。
Sci Rep. 2025 Feb 4;15(1):4287. doi: 10.1038/s41598-025-85980-6.
2
Actinide Elemental Ratios of Spent Nuclear Fuel Samples by Resonance Ionization Mass Spectrometry.通过共振电离质谱法测定乏核燃料样品中的锕系元素比率
J Am Soc Mass Spectrom. 2024 Dec 4;35(12):3233-3241. doi: 10.1021/jasms.4c00371. Epub 2024 Nov 13.

本文引用的文献

1
High efficiency laser resonance ionization of plutonium.钚的高效激光共振电离
Sci Rep. 2021 Dec 6;11(1):23432. doi: 10.1038/s41598-021-01886-z.
2
New horizons in microparticle forensics: Actinide imaging and detection of Pu and Am in hot particles.微粒取证的新视野:锕系元素成像以及热粒子中钚和镅的检测
Sci Adv. 2021 Oct 29;7(44):eabj1175. doi: 10.1126/sciadv.abj1175.
3
Simultaneous Isotopic Analysis of U, Pu, and Am in Spent Nuclear Fuel by Resonance Ionization Mass Spectrometry.采用共振电离质谱法对乏核燃料中的 U、Pu 和 Am 进行同位素同时分析。
Anal Chem. 2021 Jul 13;93(27):9505-9512. doi: 10.1021/acs.analchem.1c01360. Epub 2021 Jun 29.
4
Focused ion beam for improved spatially-resolved mass spectrometry and analysis of radioactive materials for uranium isotopic analysis.聚焦离子束用于提高空间分辨质谱分析和放射性材料分析,用于铀同位素分析。
Talanta. 2020 May 1;211:120720. doi: 10.1016/j.talanta.2020.120720. Epub 2020 Jan 7.
5
Microscale Isotopic Variation in Uranium Fuel Pellets with Implications for Nuclear Forensics.铀燃料芯块中的微观尺度同位素变化及其对核取证的意义。
Anal Chem. 2019 Sep 17;91(18):11598-11605. doi: 10.1021/acs.analchem.9b01737. Epub 2019 Aug 1.
6
A composite position independent monitor of reactor fuel irradiation using Pu, Cs, and Ba isotope ratios.一种使用钚、铯和钡同位素比率的反应堆燃料辐照复合位置无关监测器。
J Environ Radioact. 2018 Dec;195:9-19. doi: 10.1016/j.jenvrad.2018.08.014. Epub 2018 Sep 18.
7
New Resonance Ionization Mass Spectrometry Scheme for Improved Uranium Analysis.新型共振电离质谱分析方案,可改善铀分析。
Anal Chem. 2018 Sep 4;90(17):10551-10558. doi: 10.1021/acs.analchem.8b02656. Epub 2018 Aug 13.
8
A review of measurement methodologies and their applications to environmental Sr.环境锶测量方法及其应用综述
J Environ Radioact. 2018 Dec;192:321-333. doi: 10.1016/j.jenvrad.2018.07.013. Epub 2018 Jul 18.
9
High Useful Yield and Isotopic Analysis of Uranium by Resonance Ionization Mass Spectrometry.共振离子质谱法实现铀的高丰度比和同位素分析。
Anal Chem. 2017 Jun 6;89(11):6224-6231. doi: 10.1021/acs.analchem.7b01204. Epub 2017 May 24.
10
Strontium-90 activity concentration in soil samples from the exclusion zone of the Fukushima daiichi nuclear power plant.福岛第一核电站禁区土壤样本中的锶-90活度浓度。
Sci Rep. 2016 Apr 6;6:23925. doi: 10.1038/srep23925.