• 文献检索
  • 文档翻译
  • 深度研究
  • 学术资讯
  • Suppr Zotero 插件Zotero 插件
  • 邀请有礼
  • 套餐&价格
  • 历史记录
应用&插件
Suppr Zotero 插件Zotero 插件浏览器插件Mac 客户端Windows 客户端微信小程序
定价
高级版会员购买积分包购买API积分包
服务
文献检索文档翻译深度研究API 文档MCP 服务
关于我们
关于 Suppr公司介绍联系我们用户协议隐私条款
关注我们

Suppr 超能文献

核心技术专利:CN118964589B侵权必究
粤ICP备2023148730 号-1Suppr @ 2026

文献检索

告别复杂PubMed语法,用中文像聊天一样搜索,搜遍4000万医学文献。AI智能推荐,让科研检索更轻松。

立即免费搜索

文件翻译

保留排版,准确专业,支持PDF/Word/PPT等文件格式,支持 12+语言互译。

免费翻译文档

深度研究

AI帮你快速写综述,25分钟生成高质量综述,智能提取关键信息,辅助科研写作。

立即免费体验

前列腺立体定向体放射治疗:使用新的 BIR 几何不确定性在每日在线 IGRT 推荐中量化分次内运动并计算边界。

Prostate stereotactic body radiotherapy: quantifying intra-fraction motion and calculating margins using the new BIR geometric uncertainties in daily online IGRT recommendations.

机构信息

The Royal Marsden NHS Foundation Trust, London, UK.

The Institute of Cancer Research, London, UK.

出版信息

Br J Radiol. 2023 Jun 1;96(1146):20220852. doi: 10.1259/bjr.20220852. Epub 2023 Apr 22.

DOI:10.1259/bjr.20220852
PMID:37001054
原文链接:https://pmc.ncbi.nlm.nih.gov/articles/PMC10230383/
Abstract

OBJECTIVES

To measure the magnitude of intra-fraction prostate motion (IFPM) during stereotactic radiotherapy (SBRT) delivered without intra-fraction tracking.To assess if current margins adequately cover IFPM.To derive margins using new guidelines.

METHODS

IFPM was determined in 20 patients receiving 36.25 Gy in 5 fractions using 97 pairs of pre- and post-treatment cone beam CT (CBCT) scans. Correlation of time between CBCT acquisitions and motion was determined. The magnitude of IFPM was compared to current margins (6 mm isotropic, 3 mm posterior). Margins were calculated using IFPM alone and updated guidelines.

RESULTS

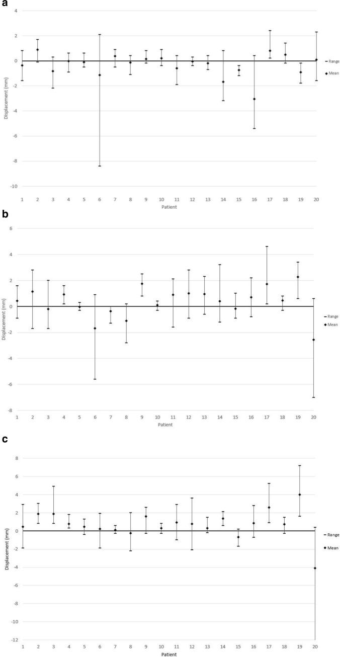
The averaged 3D root mean square IFPM was 2.5 mm (4.2 mm). Independent prostate motion was predominantly posterior (70%) and inferior (63%). There was weak correlation between posterior (ρ = 0.38) and inferior (ρ = 0.36) IFPM and time. IFPM greater than current margins occurred in 8 of 97 fractions, six in the posterior direction. Margins were ≤3.5 mm using IFPM alone and ≤3.3 mm Left 3.5 mm Right, 7.0 mm inferior, 3.7 mm superior, 4.4 mm anterior and 3.3 mm posterior using new guidelines, compensating for motion in 92% of fractions.

CONCLUSIONS

Our current SBRT margins account for 92% of IFPM, predominantly posterior and inferior. Although updated guidelines suggest an increase in margins inferiorly, any increase must be balanced against the possibility of increased toxicity, particularly if biochemical control and side-effects are favourable with current practice.

ADVANCES IN KNOWLEDGE

The difference between current clinical margins and those determined using updated guidance is demonstrated. The implications must be considered against clinical outcomes.

摘要

目的

测量立体定向放射治疗(SBRT)期间无分次内跟踪时前列腺的分次内运动(IFPM)幅度。评估当前的边缘是否足以覆盖 IFPM。使用新指南推导边缘。

方法

使用 97 对治疗前后锥形束 CT(CBCT)扫描,对 20 名接受 36.25Gy 分 5 次治疗的患者进行 IFPM 测定。确定 CBCT 采集和运动之间的时间相关性。将 IFPM 的幅度与当前边缘(各向同性 6mm,后向 3mm)进行比较。使用 IFPM 单独和更新的指南计算边缘。

结果

平均 3D 均方根 IFPM 为 2.5mm(4.2mm)。独立的前列腺运动主要是向后(70%)和向下(63%)。后向(ρ=0.38)和下向(ρ=0.36)IFPM 与时间之间存在弱相关性。在 97 个分次中有 8 个分次出现大于当前边缘的 IFPM,其中 6 个在向后方向。仅使用 IFPM 时,边缘≤3.5mm,使用新指南时,左边缘≤3.5mm,右边缘 7.0mm,下边缘 3.7mm,上边缘 4.4mm,前边缘 3.3mm,后边缘 3.3mm,可补偿 92%的分次中的运动。

结论

我们目前的 SBRT 边缘可覆盖 92%的 IFPM,主要是向后和向下。尽管更新的指南建议在下方增加边缘,但必须权衡增加毒性的可能性,特别是如果当前实践具有良好的生化控制和副作用。

知识进展

显示了当前临床边缘与使用更新指南确定的边缘之间的差异。必须根据临床结果来考虑这些差异的意义。

https://cdn.ncbi.nlm.nih.gov/pmc/blobs/8f0a/10230383/bee20877752d/bjr.20220852.g003.jpg
https://cdn.ncbi.nlm.nih.gov/pmc/blobs/8f0a/10230383/ceb38e3d2617/bjr.20220852.g001.jpg
https://cdn.ncbi.nlm.nih.gov/pmc/blobs/8f0a/10230383/ec2412591d3e/bjr.20220852.g002.jpg
https://cdn.ncbi.nlm.nih.gov/pmc/blobs/8f0a/10230383/bee20877752d/bjr.20220852.g003.jpg
https://cdn.ncbi.nlm.nih.gov/pmc/blobs/8f0a/10230383/ceb38e3d2617/bjr.20220852.g001.jpg
https://cdn.ncbi.nlm.nih.gov/pmc/blobs/8f0a/10230383/ec2412591d3e/bjr.20220852.g002.jpg
https://cdn.ncbi.nlm.nih.gov/pmc/blobs/8f0a/10230383/bee20877752d/bjr.20220852.g003.jpg

相似文献

1
Prostate stereotactic body radiotherapy: quantifying intra-fraction motion and calculating margins using the new BIR geometric uncertainties in daily online IGRT recommendations.前列腺立体定向体放射治疗:使用新的 BIR 几何不确定性在每日在线 IGRT 推荐中量化分次内运动并计算边界。
Br J Radiol. 2023 Jun 1;96(1146):20220852. doi: 10.1259/bjr.20220852. Epub 2023 Apr 22.
2
Inter- and intrafraction uncertainty in prostate bed image-guided radiotherapy.前列腺床图像引导放射治疗中的内-分次不确定性。
Int J Radiat Oncol Biol Phys. 2012 Oct 1;84(2):402-7. doi: 10.1016/j.ijrobp.2011.12.035. Epub 2012 Feb 28.
3
Evaluation of multiple image-based modalities for image-guided radiation therapy (IGRT) of prostate carcinoma: a prospective study.评估多种基于图像的模式在前列腺癌图像引导放射治疗(IGRT)中的应用:一项前瞻性研究。
Med Phys. 2013 Apr;40(4):041707. doi: 10.1118/1.4794502.
4
The potential failure risk of the cone-beam computed tomography-based planning target volume margin definition for prostate image-guided radiotherapy based on a prospective single-institutional hybrid analysis.基于前瞻性单机构混合分析的前列腺图像引导放疗中基于锥形束 CT 的计划靶区边缘定义的潜在失败风险。
Radiat Oncol. 2018 Jun 7;13(1):106. doi: 10.1186/s13014-018-1043-9.
5
Single institution's dosimetry and IGRT analysis of prostate SBRT.单机构前列腺 SBRT 的剂量学和 IGRT 分析。
Radiat Oncol. 2013 Sep 13;8:215. doi: 10.1186/1748-717X-8-215.
6
CBCT evaluation of inter- and intra-fraction motions during prostate stereotactic body radiotherapy: a technical note.锥形束 CT 评估前列腺立体定向体部放疗中的分次内和分次间运动:技术说明。
Radiat Oncol. 2020 Apr 19;15(1):85. doi: 10.1186/s13014-020-01534-2.
7
Volumetric-based image guidance is superior to marker-based alignments for stereotactic body radiotherapy of prostate cancer.基于体积的图像引导优于标记物配准在前列腺癌立体定向体部放疗中的应用。
J Appl Clin Med Phys. 2018 Mar;19(2):198-203. doi: 10.1002/acm2.12280. Epub 2018 Feb 15.
8
Organ motion in linac-based SBRT for glottic cancer.声门型癌症适形调强放疗中的射束直线加速器器官运动。
Radiat Oncol. 2021 Jun 12;16(1):106. doi: 10.1186/s13014-021-01833-2.
9
Magnitude of observer error using cone beam CT for prostate interfraction motion estimation: effect of reducing scan length or increasing exposure.使用锥形束CT进行前列腺分次间运动估计时观察者误差的大小:减少扫描长度或增加曝光的影响。
Br J Radiol. 2015 Oct;88(1054):20150208. doi: 10.1259/bjr.20150208. Epub 2015 Aug 6.
10
Impact of hydrogel peri-rectal spacer insertion on prostate gland intra-fraction motion during 1.5 T MR-guided stereotactic body radiotherapy.水凝胶直肠周围间隔物插入对 1.5T MR 引导立体定向体部放疗中前列腺内部分运动的影响。
Radiat Oncol. 2020 Jul 22;15(1):178. doi: 10.1186/s13014-020-01622-3.

引用本文的文献

1
Stereotactic body radiation therapy (SBRT) for prostate cancer: Improving treatment delivery efficiency and accuracy.前列腺癌的立体定向体部放射治疗(SBRT):提高治疗实施效率和准确性。
Tech Innov Patient Support Radiat Oncol. 2024 May 6;30:100253. doi: 10.1016/j.tipsro.2024.100253. eCollection 2024 Jun.
2
Impact of technological advances in treatment planning, image guidance, and treatment delivery on target margin design for prostate cancer radiotherapy: an updated review.治疗计划、图像引导和治疗传递技术进步对前列腺癌放射治疗靶区边缘设计的影响:最新综述。
Br J Radiol. 2024 Jan 23;97(1153):31-40. doi: 10.1093/bjr/tqad041.
3

本文引用的文献

1
Association between incidental dose outside the prostate and tumor control after modern image-guided radiotherapy.现代影像引导放疗后前列腺外附带剂量与肿瘤控制之间的关联
Phys Imaging Radiat Oncol. 2021 Jan 5;17:25-31. doi: 10.1016/j.phro.2020.12.003. eCollection 2021 Jan.
2
The implementation of an empty bladder filling protocol for localised prostate volumetric modulated arctherapy (VMAT): early results of a single institution service evaluation.对于局部前列腺容积调强弧形治疗(VMAT),实施排空膀胱填充协议:单机构服务评估的早期结果。
Br J Radiol. 2020 Oct 1;93(1114):20200548. doi: 10.1259/bjr.20200548. Epub 2020 Jul 31.
3
Treatment Optimization in Linac-Based SBRT for Localized Prostate Cancer: A Single-Arc versus Dual-Arc Plan Comparison.
基于直线加速器的立体定向体部放疗治疗局限性前列腺癌的治疗优化:单弧与双弧计划比较
Cancers (Basel). 2023 Dec 19;16(1):13. doi: 10.3390/cancers16010013.
Clinical Assessment of Prostate Displacement and Planning Target Volume Margins for Stereotactic Body Radiotherapy of Prostate Cancer.
前列腺癌立体定向体部放疗中前列腺位移的临床评估及计划靶区边缘
Front Oncol. 2020 Apr 16;10:539. doi: 10.3389/fonc.2020.00539. eCollection 2020.
4
CBCT evaluation of inter- and intra-fraction motions during prostate stereotactic body radiotherapy: a technical note.锥形束 CT 评估前列腺立体定向体部放疗中的分次内和分次间运动:技术说明。
Radiat Oncol. 2020 Apr 19;15(1):85. doi: 10.1186/s13014-020-01534-2.
5
Ultrahypofractionation Should be a Standard of Care Option for Intermediate-Risk Prostate Cancer.超高分割放疗应成为中危前列腺癌的一种标准治疗选择。
Clin Oncol (R Coll Radiol). 2020 Mar;32(3):170-174. doi: 10.1016/j.clon.2019.11.004. Epub 2019 Nov 28.
6
Seven or less Fractions is Not the Standard of Care for Intermediate-Risk Prostate Cancer.对于中危前列腺癌,7 个或更少的分数并不是标准治疗方法。
Clin Oncol (R Coll Radiol). 2020 Mar;32(3):175-180. doi: 10.1016/j.clon.2019.10.006. Epub 2019 Nov 8.
7
Intensity-modulated fractionated radiotherapy versus stereotactic body radiotherapy for prostate cancer (PACE-B): acute toxicity findings from an international, randomised, open-label, phase 3, non-inferiority trial.强度调制分割放疗与立体定向体部放疗治疗前列腺癌(PACE-B):一项国际、随机、开放标签、3 期、非劣效性试验的急性毒性研究结果。
Lancet Oncol. 2019 Nov;20(11):1531-1543. doi: 10.1016/S1470-2045(19)30569-8. Epub 2019 Sep 17.
8
Ultra-hypofractionated versus conventionally fractionated radiotherapy for prostate cancer: 5-year outcomes of the HYPO-RT-PC randomised, non-inferiority, phase 3 trial.超分割与常规分割放疗治疗前列腺癌的比较:HYPO-RT-PC 随机、非劣效、III 期临床试验的 5 年结果。
Lancet. 2019 Aug 3;394(10196):385-395. doi: 10.1016/S0140-6736(19)31131-6. Epub 2019 Jun 18.
9
Stereotactic Body Radiation Therapy for Localized Prostate Cancer: A Systematic Review and Meta-Analysis of Over 6,000 Patients Treated On Prospective Studies.立体定向体部放射治疗局限性前列腺癌:超过 6000 例前瞻性研究患者的系统评价和荟萃分析。
Int J Radiat Oncol Biol Phys. 2019 Jul 15;104(4):778-789. doi: 10.1016/j.ijrobp.2019.03.051. Epub 2019 Apr 6.
10
Long-term Outcomes of Stereotactic Body Radiotherapy for Low-Risk and Intermediate-Risk Prostate Cancer.立体定向体部放疗治疗低危和中危前列腺癌的长期疗效。
JAMA Netw Open. 2019 Feb 1;2(2):e188006. doi: 10.1001/jamanetworkopen.2018.8006.