• 文献检索
  • 文档翻译
  • 深度研究
  • 学术资讯
  • Suppr Zotero 插件Zotero 插件
  • 邀请有礼
  • 套餐&价格
  • 历史记录
应用&插件
Suppr Zotero 插件Zotero 插件浏览器插件Mac 客户端Windows 客户端微信小程序
定价
高级版会员购买积分包购买API积分包
服务
文献检索文档翻译深度研究API 文档MCP 服务
关于我们
关于 Suppr公司介绍联系我们用户协议隐私条款
关注我们

Suppr 超能文献

核心技术专利:CN118964589B侵权必究
粤ICP备2023148730 号-1Suppr @ 2026

文献检索

告别复杂PubMed语法,用中文像聊天一样搜索,搜遍4000万医学文献。AI智能推荐,让科研检索更轻松。

立即免费搜索

文件翻译

保留排版,准确专业,支持PDF/Word/PPT等文件格式,支持 12+语言互译。

免费翻译文档

深度研究

AI帮你快速写综述,25分钟生成高质量综述,智能提取关键信息,辅助科研写作。

立即免费体验

聚多卡醇-F纳米涂层冠状动脉支架系统的安全性和有效性评估:一项系统评价和单臂荟萃分析。

Evaluation of the safety and efficacy of a Polyzene-F nanocoated coronary stent system: A systematic review and single-arm meta-analysis.

作者信息

Bian Jifang, Yang Rongyuan, Wang Dawei, Yu Huimin, Liu Yuan, Liu Qing

机构信息

The Second Guangdong Provincial Hospital of Traditional Chinese Medicine, Guangzhou, China.

The Second Clinical School of Medicine, Guangzhou University of Chinese Medicine, Guangdong Provincial Hospital of Chinese Medicine-Zhuhai Hospital, Zhuhai, China.

出版信息

Front Cardiovasc Med. 2023 Mar 16;10:1095794. doi: 10.3389/fcvm.2023.1095794. eCollection 2023.

DOI:10.3389/fcvm.2023.1095794
PMID:37008338
原文链接:https://pmc.ncbi.nlm.nih.gov/articles/PMC10063189/
Abstract

BACKGROUND

A stent for patients with coronary heart disease (CHD) provides a requirement for a long-term antiplatelet therapy because of the high possibility of the development of stent thrombosis. It was against this background that both Cobra and Catania Polyzene-F (PzF) stents were designed to reduce the occurrence of stent thrombosis (ST). In this study, we review the safety and effectiveness of a PzF-nanocoated stent.

METHODS

This systematic review with the title was registered in PROSPERO (No.398781). The inclusion criteria were including studies among patients with PzF-nanocoated coronary stents and reported target vessel failure (TVF) and ST as the outcomes, and the exclusion criteria were excluding reported patients who could not receive the adjunctive medical therapies or without the necessary endpoints. Reports about PzF-nanocoated stents were searched in PubMed, Embase, and Web of Science and other sources. Because of the existence of few reports and a lack of comparison groups, a single-arm meta-analysis was conducted in R software (v3.6.2), using a random-effects model with the generic inverse variance method. After a heterogeneity test, assessment of evidence quality was conducted by using GRADE software. A funnel plot Egger's test was performed to evaluate publication bias, and a sensitivity analysis was done to determine the robustness of the overall effects.

RESULTS

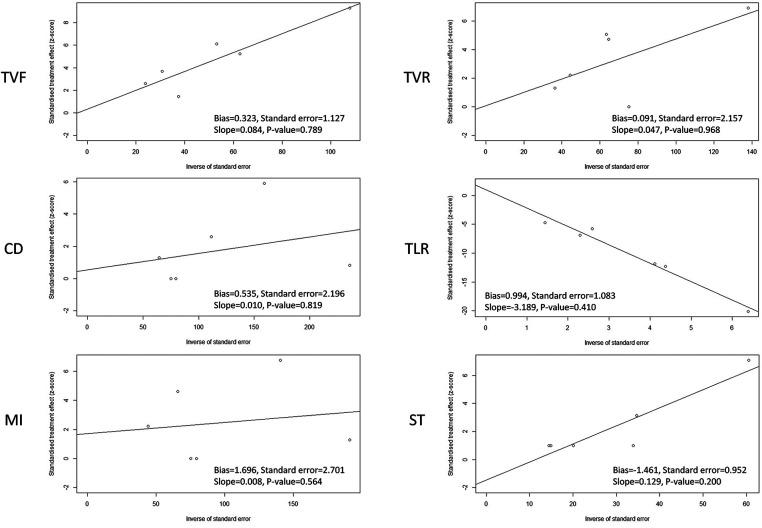
Six studies of 1,768 subjects were included. The primary endpoint that pooled the TVF rate was 8.9% (95% CI 7.5%-10.2%), which comprised the pooled cardiac death (CD) rate (1.5%, 95% CI 0%-3%), myocardial infarction (MI) rate (2.7%, 95% CI 0.4%-5.1%), target vessel revascularization (TVR) (4.8%, 95% CI 2.4%-7.2%), or target lesion revascularization (TLR) (5.2%, 95% CI 4.2%-6.4%), while the secondary endpoint ST was 0.4% (95% CI 0.1%-0.9%). The funnel plots of TVF, CD, TVR, and TLR did not show any serious publication bias, and TVF, TVR, and TLR showed evidence of moderate quality in GRADE assessment. The sensitivity analysis showed that TVF, TLR, and ST exhibited good stability (  = 26.9%, 16.4%, and 35.5%, respectively), while the other endpoints showed moderate instability.

CONCLUSION

These data indicated that the PzF-nanocoated coronary stents of the Cobra and Catania systems demonstrated good safety and efficacy in clinical application. However, the sample size of patients included in the reports was relatively small, and this meta-analysis will be updated if more studies are published in the future.

SYSTEMATIC REVIEW REGISTRATION

https://www.crd.york.ac.uk/PROSPERO/, identifier: CRD42023398781.

摘要

背景

由于冠心病(CHD)患者植入支架后发生支架内血栓形成的可能性很高,因此需要长期抗血小板治疗。正是在这种背景下,Cobra和卡塔尼亚聚烯氟(PzF)支架被设计用于减少支架内血栓形成(ST)的发生。在本研究中,我们回顾了PzF纳米涂层支架的安全性和有效性。

方法

这篇标题为的系统评价已在PROSPERO(编号398781)注册。纳入标准为纳入使用PzF纳米涂层冠状动脉支架的患者研究,并将靶血管失败(TVF)和ST作为结局指标,排除标准为排除无法接受辅助药物治疗或无必要终点指标的报告患者。在PubMed、Embase和Web of Science等来源中检索有关PzF纳米涂层支架的报告。由于报告数量较少且缺乏对照组,因此在R软件(v3.6.2)中进行单臂荟萃分析,采用随机效应模型和通用逆方差法。经过异质性检验后,使用GRADE软件进行证据质量评估。进行漏斗图Egger检验以评估发表偏倚,并进行敏感性分析以确定总体效应的稳健性。

结果

纳入了6项涉及1768名受试者的研究。汇总TVF率的主要终点为8.9%(95%CI 7.5%-10.2%),其中包括汇总的心源性死亡(CD)率(1.5%,95%CI 0%-3%)、心肌梗死(MI)率(2.7%,95%CI ~0.4%-5.1%)、靶血管血运重建(TVR)(4.8%,95%CI 2.4%-7.2%)或靶病变血运重建(TLR)(5.2%,95%CI 4.2%-6.4%),而次要终点ST为0.4%(95%CI 0.1%-0.9%)。TVF、CD、TVR和TLR的漏斗图未显示任何严重的发表偏倚,并且在GRADE评估中TVF、TVR和TLR显示出中等质量的证据。敏感性分析表明,TVF、TLR和ST表现出良好的稳定性(分别为26.9%、16.4%和35.5%),而其他终点表现出中等程度的不稳定性。

结论

这些数据表明,Cobra和卡塔尼亚系统的PzF纳米涂层冠状动脉支架在临床应用中显示出良好的安全性和有效性。然而,报告中纳入的患者样本量相对较小,如果未来发表更多研究,将更新此荟萃分析。

系统评价注册

https://www.crd.york.ac.uk/PROSPERO/,标识符:CRD42023398781。

https://cdn.ncbi.nlm.nih.gov/pmc/blobs/9646/10063189/824314a7e962/fcvm-10-1095794-g004.jpg
https://cdn.ncbi.nlm.nih.gov/pmc/blobs/9646/10063189/318728d337e8/fcvm-10-1095794-g001.jpg
https://cdn.ncbi.nlm.nih.gov/pmc/blobs/9646/10063189/4826eda0da86/fcvm-10-1095794-g002.jpg
https://cdn.ncbi.nlm.nih.gov/pmc/blobs/9646/10063189/dda2da5e9549/fcvm-10-1095794-g003.jpg
https://cdn.ncbi.nlm.nih.gov/pmc/blobs/9646/10063189/824314a7e962/fcvm-10-1095794-g004.jpg
https://cdn.ncbi.nlm.nih.gov/pmc/blobs/9646/10063189/318728d337e8/fcvm-10-1095794-g001.jpg
https://cdn.ncbi.nlm.nih.gov/pmc/blobs/9646/10063189/4826eda0da86/fcvm-10-1095794-g002.jpg
https://cdn.ncbi.nlm.nih.gov/pmc/blobs/9646/10063189/dda2da5e9549/fcvm-10-1095794-g003.jpg
https://cdn.ncbi.nlm.nih.gov/pmc/blobs/9646/10063189/824314a7e962/fcvm-10-1095794-g004.jpg

相似文献

1
Evaluation of the safety and efficacy of a Polyzene-F nanocoated coronary stent system: A systematic review and single-arm meta-analysis.聚多卡醇-F纳米涂层冠状动脉支架系统的安全性和有效性评估:一项系统评价和单臂荟萃分析。
Front Cardiovasc Med. 2023 Mar 16;10:1095794. doi: 10.3389/fcvm.2023.1095794. eCollection 2023.
2
Five-Year Clinical Outcomes of the COBRA Polyzene F NanoCoated Coronary Stent System.COBRA Polyzene F 纳米涂层冠状动脉支架系统的 5 年临床结果。
Cardiovasc Revasc Med. 2022 Aug;41:76-80. doi: 10.1016/j.carrev.2021.12.030. Epub 2022 Jan 3.
3
9-Month Clinical and Angiographic Outcomes of the COBRA Polyzene-F NanoCoated Coronary Stent System.COBRA Polyzene-F 纳米涂层冠状动脉支架系统的 9 个月临床和血管造影结果。
JACC Cardiovasc Interv. 2017 Jan 23;10(2):160-167. doi: 10.1016/j.jcin.2016.10.037.
4
Evaluation of the safety and efficacy of the Cobra PzF NanoCoated coronary stent in routine, consecutive, prospective, and high-risk patients: The e-Cobra study.Cobra PzF NanoCoated 冠状动脉支架在常规、连续、前瞻性和高危患者中的安全性和疗效评价:e-Cobra 研究。
Catheter Cardiovasc Interv. 2021 Jul 1;98(1):45-54. doi: 10.1002/ccd.29065. Epub 2020 Jun 17.
5
MAPT (Mono Antiplatelet Therapy) as Regular Regimen After COBRA PzF™ NanoCoated Coronary Stent (NCS) Implantation.COBRA PzF™ NanoCoated 冠状动脉支架(NCS)植入后采用 MAPT(单一抗血小板治疗)作为常规方案。
Cardiovasc Revasc Med. 2020 Jun;21(6):785-789. doi: 10.1016/j.carrev.2019.10.007. Epub 2019 Oct 18.
6
Folic acid supplementation and malaria susceptibility and severity among people taking antifolate antimalarial drugs in endemic areas.在流行地区,服用抗叶酸抗疟药物的人群中,叶酸补充剂与疟疾易感性和严重程度的关系。
Cochrane Database Syst Rev. 2022 Feb 1;2(2022):CD014217. doi: 10.1002/14651858.CD014217.
7
COBRA PzF™ coronary stent in clinical and preclinical studies: setting the stage for new antithrombotic strategies?COBRA PzF™ 冠状动脉支架的临床和临床前研究:为新的抗血栓策略奠定基础?
Future Cardiol. 2022 Mar;18(3):207-217. doi: 10.2217/fca-2021-0057. Epub 2021 Sep 15.
8
Reduction of late in-stent stenosis in a porcine coronary artery model by cobalt chromium stents with a nanocoat of polyphosphazene (Polyzene-F).聚磷腈(Polyzene-F)纳米涂层钴铬合金支架对猪冠状动脉模型中晚期支架内狭窄的减轻作用。
Cardiovasc Intervent Radiol. 2008 Nov-Dec;31(6):1184-92. doi: 10.1007/s00270-008-9392-7. Epub 2008 Aug 13.
9
Immediate and 1-year follow-up with the novel nanosurface modified COBRA PzF stent.新型纳米表面改性 COBRA PzF 支架的即刻和 1 年随访。
Arch Cardiovasc Dis. 2017 Dec;110(12):682-688. doi: 10.1016/j.acvd.2017.04.010. Epub 2017 Nov 6.
10
Design and Rationale of a Randomized Trial of COBRA PzF Stenting to REDUCE Duration of Triple Therapy (COBRA-REDUCE).COBRA PzF 支架置入术减少三联抗栓治疗时间的随机试验的设计和原理(COBRA-REDUCE)。
Cardiovasc Revasc Med. 2022 Jan;34:17-24. doi: 10.1016/j.carrev.2021.01.022. Epub 2021 Jan 22.

本文引用的文献

1
COBRA PzF™ coronary stent in clinical and preclinical studies: setting the stage for new antithrombotic strategies?COBRA PzF™ 冠状动脉支架的临床和临床前研究:为新的抗血栓策略奠定基础?
Future Cardiol. 2022 Mar;18(3):207-217. doi: 10.2217/fca-2021-0057. Epub 2021 Sep 15.
2
Effect of Interventions on Learning Burnout: A Systematic Review and Meta-Analysis.干预措施对学习倦怠的影响:一项系统评价与荟萃分析
Front Psychol. 2021 Feb 26;12:645662. doi: 10.3389/fpsyg.2021.645662. eCollection 2021.
3
Optimal Duration of Dual Antiplatelet Therapy After Percutaneous Coronary Intervention in Patients With Acute Coronary Syndrome: Insights From a Network Meta-Analysis of Randomized Trials.
急性冠状动脉综合征患者经皮冠状动脉介入治疗后双联抗血小板治疗的最佳持续时间:来自随机试验网络荟萃分析的见解。
Cardiovasc Revasc Med. 2021 Jul;28:50-56. doi: 10.1016/j.carrev.2020.07.039. Epub 2020 Aug 1.
4
Evaluation of the safety and efficacy of the Cobra PzF NanoCoated coronary stent in routine, consecutive, prospective, and high-risk patients: The e-Cobra study.Cobra PzF NanoCoated 冠状动脉支架在常规、连续、前瞻性和高危患者中的安全性和疗效评价:e-Cobra 研究。
Catheter Cardiovasc Interv. 2021 Jul 1;98(1):45-54. doi: 10.1002/ccd.29065. Epub 2020 Jun 17.
5
MAPT (Mono Antiplatelet Therapy) as Regular Regimen After COBRA PzF™ NanoCoated Coronary Stent (NCS) Implantation.COBRA PzF™ NanoCoated 冠状动脉支架(NCS)植入后采用 MAPT(单一抗血小板治疗)作为常规方案。
Cardiovasc Revasc Med. 2020 Jun;21(6):785-789. doi: 10.1016/j.carrev.2019.10.007. Epub 2019 Oct 18.
6
Very Late Stent Thrombosis in Drug-Eluting Stents New Observations and Clinical Implications.药物洗脱支架中非常晚期支架血栓:新观察与临床意义。
Cardiol Rev. 2019 Nov/Dec;27(6):279-285. doi: 10.1097/CRD.0000000000000283.
7
Extended Duration of Dual-Antiplatelet Therapy After Percutaneous Coronary Intervention: How Long Is Too Long?经皮冠状动脉介入治疗后双联抗血小板治疗的延长疗程:多长时间算过长?
J Am Heart Assoc. 2019 Oct 15;8(20):e012639. doi: 10.1161/JAHA.119.012639. Epub 2019 Oct 2.
8
Does low-dose aspirin initiated before 11 weeks' gestation reduce the rate of preeclampsia?在 11 孕周之前开始使用低剂量阿司匹林是否会降低子痫前期的发生率?
Am J Obstet Gynecol. 2020 May;222(5):437-450. doi: 10.1016/j.ajog.2019.08.047. Epub 2019 Sep 5.
9
Restenosis of Drug-Eluting Stents: A New Classification System Based on Disease Mechanism to Guide Treatment and State-of-the-Art Review.药物洗脱支架再狭窄:基于发病机制的新分类系统指导治疗及最新研究综述。
Circ Cardiovasc Interv. 2019 Aug;12(8):e007023. doi: 10.1161/CIRCINTERVENTIONS.118.007023. Epub 2019 Jul 26.
10
Drug-free stents with Polyzene-F nanocoating: a promising compromise for those at high bleeding risk?具有聚烯-F纳米涂层的无药物支架:对高出血风险患者来说是一种有前景的折衷方案?
EuroIntervention. 2019 Jul 20;15(4):e304-e307. doi: 10.4244/EIJV15I4A55.