• 文献检索
  • 文档翻译
  • 深度研究
  • 学术资讯
  • Suppr Zotero 插件Zotero 插件
  • 邀请有礼
  • 套餐&价格
  • 历史记录
应用&插件
Suppr Zotero 插件Zotero 插件浏览器插件Mac 客户端Windows 客户端微信小程序
定价
高级版会员购买积分包购买API积分包
服务
文献检索文档翻译深度研究API 文档MCP 服务
关于我们
关于 Suppr公司介绍联系我们用户协议隐私条款
关注我们

Suppr 超能文献

核心技术专利:CN118964589B侵权必究
粤ICP备2023148730 号-1Suppr @ 2026

文献检索

告别复杂PubMed语法,用中文像聊天一样搜索,搜遍4000万医学文献。AI智能推荐,让科研检索更轻松。

立即免费搜索

文件翻译

保留排版,准确专业,支持PDF/Word/PPT等文件格式,支持 12+语言互译。

免费翻译文档

深度研究

AI帮你快速写综述,25分钟生成高质量综述,智能提取关键信息,辅助科研写作。

立即免费体验

宫颈癌中染色体框家族成员的表达、预后价值及免疫浸润的综合生物信息学分析

Comprehensive bioinformatics analysis of the expression, prognostic value, and immune infiltration of chromobox family members in cervical cancer.

作者信息

Liao Dan, Liu Xiaomei, He Limei, Yao Yuhong, Yuan Xiuying, Feng Poling, Li Cuifen, Liu Yanyan

机构信息

Department of Gynaecology, SSL Central Hospital of Dongguan, Dongguan Third People's Hospital, Affiliated Dongguan Shilong People's.

Hospital of Southern Medical University, Dongguan, Guangdong, China.

出版信息

Iran J Basic Med Sci. 2023 Apr;26(4):468-477. doi: 10.22038/IJBMS.2023.64845.14281.

DOI:10.22038/IJBMS.2023.64845.14281
PMID:37009012
原文链接:https://pmc.ncbi.nlm.nih.gov/articles/PMC10008395/
Abstract

OBJECTIVES

Cervical cancer (CC) is the fourth most prevalent type of cancer in women worldwide and it is considered the leading cause of tumor-related death and malignancy. As part of complexes involved in epigenetic control, the proteins of the chromobox (CBX) family have been found to have a role in the growth of malignancies by preventing differentiation and increasing proliferation. Here, by a thorough investigation, we investigated the expression, prognostic significance, and immune infiltration of CBX in patients with CC.

MATERIALS AND METHODS

Differential expression, clinicopathological parameters, immune cell infiltration, enrichment analysis, genetic alteration, and prognostic value of CBXs in patients with CC were examined using TIMER, Metascape, STRING, GeneMANIA, cBioPortal, UALCAN, The Human Protein Atlas, Gene Expression Profiling Interactive Analysis (GEPIA), and Oncomine.

RESULTS

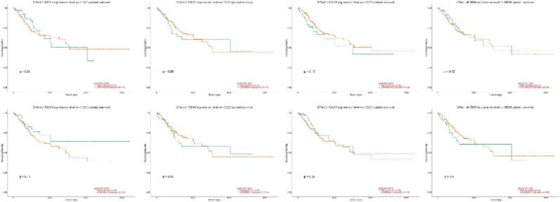
In CC tissues, CBX 2/3/4/5 and CBX 8 expression levels were considerably higher, whereas CBX 6/7 expression levels were lower. In CC, the CBX 5/6/8 promoters have elevated levels of methylation. The expression of CBX 2/6/8 and the pathological stage were connected. A 37% mutation rate of the differentially expressed CBX genes was observed. Also, there was a strong correlation of the CBXs expression with immune cell infiltration, such as T CD4 cells, macrophages, neutrophils, B cells, T CD8 cells, and dendritic cells.

CONCLUSION

The investigation discovered that members of the CBXs family may be therapeutic targets for CC patients and may play significant roles in the development of CC tumors.

摘要

目的

宫颈癌(CC)是全球女性中第四大常见癌症类型,被认为是肿瘤相关死亡和恶性肿瘤的主要原因。作为参与表观遗传控制的复合物的一部分,已发现染色体盒(CBX)家族的蛋白质通过阻止分化和增加增殖在恶性肿瘤生长中发挥作用。在此,通过全面调查,我们研究了CC患者中CBX的表达、预后意义和免疫浸润情况。

材料与方法

使用TIMER、Metascape、STRING、GeneMANIA、cBioPortal、UALCAN、人类蛋白质图谱、基因表达谱交互分析(GEPIA)和Oncomine检测CC患者中CBXs的差异表达、临床病理参数、免疫细胞浸润、富集分析、基因改变和预后价值。

结果

在CC组织中,CBX 2/3/4/5和CBX 8的表达水平显著更高,而CBX 6/7的表达水平较低。在CC中,CBX 5/6/8启动子的甲基化水平升高。CBX 2/6/8的表达与病理分期相关。观察到差异表达的CBX基因的突变率为37%。此外,CBXs的表达与免疫细胞浸润,如T CD4细胞、巨噬细胞、中性粒细胞、B细胞、T CD8细胞和树突状细胞,有很强的相关性。

结论

该研究发现CBXs家族成员可能是CC患者的治疗靶点,并且可能在CC肿瘤的发生发展中起重要作用。

https://cdn.ncbi.nlm.nih.gov/pmc/blobs/d1c6/10008395/095595cea543/IJBMS-26-468-g012.jpg
https://cdn.ncbi.nlm.nih.gov/pmc/blobs/d1c6/10008395/e1df9953da7d/IJBMS-26-468-g001.jpg
https://cdn.ncbi.nlm.nih.gov/pmc/blobs/d1c6/10008395/d7eb880c88bd/IJBMS-26-468-g003.jpg
https://cdn.ncbi.nlm.nih.gov/pmc/blobs/d1c6/10008395/d6505a291e62/IJBMS-26-468-g004.jpg
https://cdn.ncbi.nlm.nih.gov/pmc/blobs/d1c6/10008395/d5741ea24319/IJBMS-26-468-g005.jpg
https://cdn.ncbi.nlm.nih.gov/pmc/blobs/d1c6/10008395/4602799a3926/IJBMS-26-468-g006.jpg
https://cdn.ncbi.nlm.nih.gov/pmc/blobs/d1c6/10008395/3f7f5e697335/IJBMS-26-468-g007.jpg
https://cdn.ncbi.nlm.nih.gov/pmc/blobs/d1c6/10008395/9e71e5a3e08d/IJBMS-26-468-g008.jpg
https://cdn.ncbi.nlm.nih.gov/pmc/blobs/d1c6/10008395/ec3a233a8396/IJBMS-26-468-g009.jpg
https://cdn.ncbi.nlm.nih.gov/pmc/blobs/d1c6/10008395/0312cb189938/IJBMS-26-468-g010.jpg
https://cdn.ncbi.nlm.nih.gov/pmc/blobs/d1c6/10008395/c2c67ee20824/IJBMS-26-468-g011.jpg
https://cdn.ncbi.nlm.nih.gov/pmc/blobs/d1c6/10008395/095595cea543/IJBMS-26-468-g012.jpg
https://cdn.ncbi.nlm.nih.gov/pmc/blobs/d1c6/10008395/e1df9953da7d/IJBMS-26-468-g001.jpg
https://cdn.ncbi.nlm.nih.gov/pmc/blobs/d1c6/10008395/d7eb880c88bd/IJBMS-26-468-g003.jpg
https://cdn.ncbi.nlm.nih.gov/pmc/blobs/d1c6/10008395/d6505a291e62/IJBMS-26-468-g004.jpg
https://cdn.ncbi.nlm.nih.gov/pmc/blobs/d1c6/10008395/d5741ea24319/IJBMS-26-468-g005.jpg
https://cdn.ncbi.nlm.nih.gov/pmc/blobs/d1c6/10008395/4602799a3926/IJBMS-26-468-g006.jpg
https://cdn.ncbi.nlm.nih.gov/pmc/blobs/d1c6/10008395/3f7f5e697335/IJBMS-26-468-g007.jpg
https://cdn.ncbi.nlm.nih.gov/pmc/blobs/d1c6/10008395/9e71e5a3e08d/IJBMS-26-468-g008.jpg
https://cdn.ncbi.nlm.nih.gov/pmc/blobs/d1c6/10008395/ec3a233a8396/IJBMS-26-468-g009.jpg
https://cdn.ncbi.nlm.nih.gov/pmc/blobs/d1c6/10008395/0312cb189938/IJBMS-26-468-g010.jpg
https://cdn.ncbi.nlm.nih.gov/pmc/blobs/d1c6/10008395/c2c67ee20824/IJBMS-26-468-g011.jpg
https://cdn.ncbi.nlm.nih.gov/pmc/blobs/d1c6/10008395/095595cea543/IJBMS-26-468-g012.jpg

相似文献

1
Comprehensive bioinformatics analysis of the expression, prognostic value, and immune infiltration of chromobox family members in cervical cancer.宫颈癌中染色体框家族成员的表达、预后价值及免疫浸润的综合生物信息学分析
Iran J Basic Med Sci. 2023 Apr;26(4):468-477. doi: 10.22038/IJBMS.2023.64845.14281.
2
Significance of chromobox protein (CBX) expression in diffuse LBCL.弥漫性大 B 细胞淋巴瘤中 chromobox 蛋白(CBX)表达的意义。
Gene. 2022 Mar 1;813:146092. doi: 10.1016/j.gene.2021.146092. Epub 2021 Dec 9.
3
Comprehensive Analysis of Prognostic Value and Immune Infiltration of Chromobox Family Members in Colorectal Cancer.结直肠癌中染色体框家族成员的预后价值及免疫浸润的综合分析
Front Oncol. 2020 Sep 4;10:582667. doi: 10.3389/fonc.2020.582667. eCollection 2020.
4
Bioinformatic Analysis of Prognostic Value, Genetic Interaction, and Immune Infiltration of Chromobox Family Proteins in Breast Cancer.乳腺癌中染色体框家族蛋白的预后价值、基因相互作用及免疫浸润的生物信息学分析
Int J Gen Med. 2021 Dec 1;14:9181-9191. doi: 10.2147/IJGM.S343948. eCollection 2021.
5
Identification and Validation of Chromobox Family Members as Potential Prognostic Biomarkers and Therapeutic Targets for Human Esophageal Cancer.鉴定和验证染色体盒家族成员作为人类食管癌潜在的预后生物标志物和治疗靶点
Front Genet. 2022 Apr 6;13:851390. doi: 10.3389/fgene.2022.851390. eCollection 2022.
6
Prognostic and immune infiltrates for the Chromobox (CBX) protein family in human pancreatic adenocarcinoma.人类胰腺腺癌中染色体框(CBX)蛋白家族的预后及免疫浸润情况
J Gastrointest Oncol. 2021 Oct;12(5):2310-2324. doi: 10.21037/jgo-21-613.
7
Prognosis and Immune Infiltration of Chromobox Family Genes in Sarcoma.肉瘤中染色体框家族基因的预后与免疫浸润
Front Oncol. 2021 May 11;11:657595. doi: 10.3389/fonc.2021.657595. eCollection 2021.
8
An integrative bioinformatics investigation and experimental validation of chromobox family in diffuse large B-cell lymphoma.弥漫性大 B 细胞淋巴瘤中 chromobox 家族的综合生物信息学研究和实验验证。
BMC Cancer. 2023 Jul 10;23(1):641. doi: 10.1186/s12885-023-11108-6.
9
Comprehensive Analysis of the Expression and Prognosis Value of Chromobox Family Members in Clear Cell Renal Cell Carcinoma.透明细胞肾细胞癌中染色体盒家族成员的表达及预后价值的综合分析
Front Oncol. 2021 Jul 28;11:700528. doi: 10.3389/fonc.2021.700528. eCollection 2021.
10
Systematic investigation of the clinical significance and prognostic value of the CBXs in esophageal cancer.系统研究 CBXs 在食管癌中的临床意义和预后价值。
Medicine (Baltimore). 2022 Oct 7;101(40):e30888. doi: 10.1097/MD.0000000000030888.

引用本文的文献

1
Integrated bioinformatics investigation and experimental validation reveals the clinical and biological significance of chromobox family in breast cancer.综合生物信息学研究与实验验证揭示了染色质盒家族在乳腺癌中的临床和生物学意义。
Sci Rep. 2025 Feb 22;15(1):6442. doi: 10.1038/s41598-025-90771-0.
2
CBX2 promotes cervical cancer cell proliferation and resistance to DNA-damaging treatment via maintaining cancer stemness.CBX2通过维持癌症干性促进宫颈癌细胞增殖并增强其对DNA损伤治疗的抗性。
J Biol Chem. 2025 Feb;301(2):108170. doi: 10.1016/j.jbc.2025.108170. Epub 2025 Jan 8.

本文引用的文献

1
Genomic Risk Factors for Cervical Cancer.宫颈癌的基因组风险因素
Cancers (Basel). 2021 Oct 13;13(20):5137. doi: 10.3390/cancers13205137.
2
CBX7 is Dualistic in Cancer Progression Based on its Function and Molecular Interactions.基于其功能和分子相互作用,CBX7在癌症进展中具有双重性。
Front Genet. 2021 Oct 1;12:740794. doi: 10.3389/fgene.2021.740794. eCollection 2021.
3
CBX2 Expression in Colorectal Mucosa-adenoma-adenocarcinoma Sequence.CBX2 在结直肠黏膜-腺瘤-腺癌序列中的表达。
J Coll Physicians Surg Pak. 2021 Sep;31(9):1051-1056. doi: 10.29271/jcpsp.2021.09.1051.
4
The co-expression of CBX8 and PD-L1 and prognostic value in cervical cancer.CBX8 与 PD-L1 的共表达及其在宫颈癌中的预后价值。
Medicine (Baltimore). 2021 Aug 27;100(34):e27056. doi: 10.1097/MD.0000000000027056.
5
Decreased chromobox homologue 7 expression is associated with epithelial-mesenchymal transition and poor prognosis in cervical cancer.染色体盒同源物7表达降低与宫颈癌的上皮-间质转化及不良预后相关。
Open Med (Wars). 2021 Mar 9;16(1):410-418. doi: 10.1515/med-2021-0015. eCollection 2021.
6
Cancer Statistics, 2021.癌症统计数据,2021.
CA Cancer J Clin. 2021 Jan;71(1):7-33. doi: 10.3322/caac.21654. Epub 2021 Jan 12.
7
Chromobox 4 facilitates tumorigenesis of lung adenocarcinoma through the Wnt/β-catenin pathway.染色盒蛋白 4 通过 Wnt/β-连环蛋白通路促进肺腺癌的肿瘤发生。
Neoplasia. 2021 Feb;23(2):222-233. doi: 10.1016/j.neo.2020.12.005. Epub 2020 Dec 30.
8
Clinicopathological and Prognostic Significance of CBX3 Expression in Human Cancer: a Systematic Review and Meta-analysis.CBX3 表达在人类癌症中的临床病理和预后意义:系统评价和荟萃分析。
Dis Markers. 2020 Nov 12;2020:2412741. doi: 10.1155/2020/2412741. eCollection 2020.
9
Long non-conding RNA LOXL1-AS1 sponges miR-589-5p to up-regulate CBX5 expression in renal cell carcinoma.长非编码 RNA LOXL1-AS1 通过海绵吸附 miR-589-5p 上调肾细胞癌中 CBX5 的表达。
Biosci Rep. 2020 Nov 27;40(11). doi: 10.1042/BSR20200212.
10
Comprehensive Analysis of Prognostic Value and Immune Infiltration of Chromobox Family Members in Colorectal Cancer.结直肠癌中染色体框家族成员的预后价值及免疫浸润的综合分析
Front Oncol. 2020 Sep 4;10:582667. doi: 10.3389/fonc.2020.582667. eCollection 2020.