Suppr超能文献

红光质下黄山苦茶不定根发育分子机制的比较转录组分析

Comparative transcriptome analysis of molecular mechanisms underlying adventitious root developments in Huangshan Bitter tea () under red light quality.

作者信息

Fu Hao, Wei Xu, Chen Qian, Yong Shunyuan, Liu Qinjin, Dang Jiangbo, Wu Di, Liang Guolu, Guo Qigao

机构信息

Key Laboratory of Horticulture Science for Southern Mountains Regions of Ministry of Education, College of Horticulture and Landscape Architecture, Southwest University, Chongqing, China.

Academy of Agricultural Sciences of Southwest University, State Cultivation Base of Crop Stress Biology for Southern Mountainous Land, Chongqing, China.

出版信息

Front Plant Sci. 2023 Mar 21;14:1154169. doi: 10.3389/fpls.2023.1154169. eCollection 2023.

Abstract

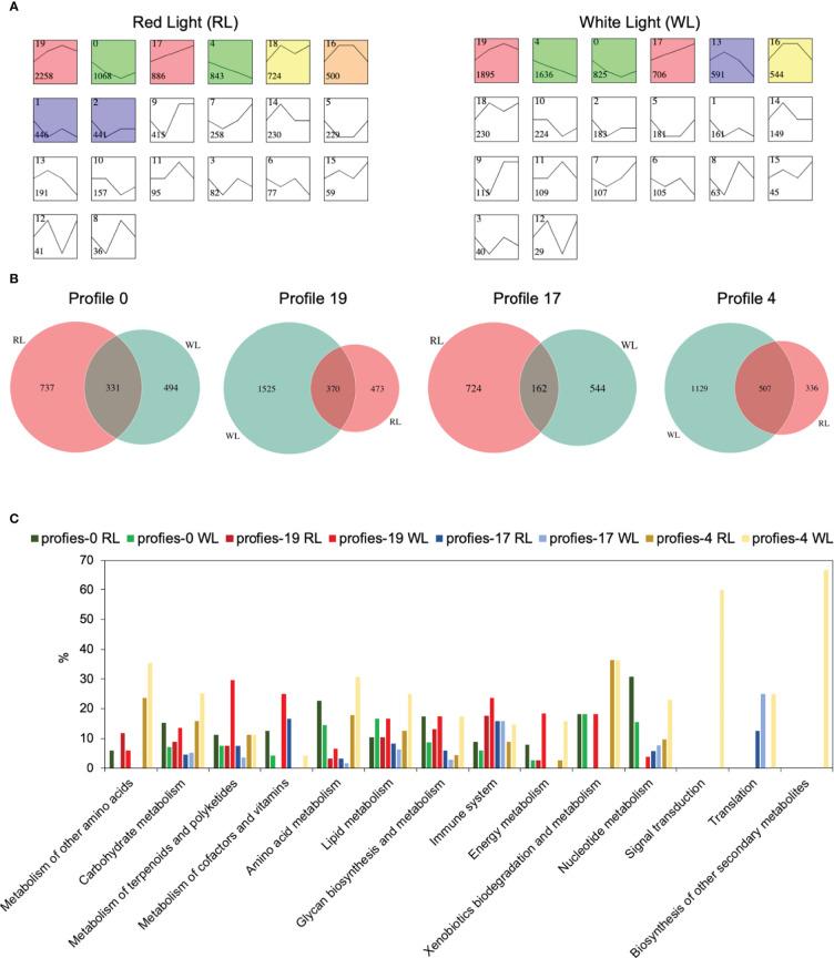
As the formation of adventitious roots (AR) is an important component of in vitro regeneration of tea plants, the propagation and preservation of Huangshan Bitter tea () cuttings have been hindered due to its lower rooting rate. As light is a crucial environmental factor that affects AR formation, this study aimed to investigate the special role of red light (RL) in the formation of AR in Huangshan Bitter tea plants, which has not been well understood. Huangshan Bitter tea plants were induced with white light (control, WL) and red light (660 nm, RL) qualities 36 days after induced treatment (DAI) to investigate dynamic AR formation and development, anatomical observation, hormones content change, and weighted gene co-expression network analysis (WGCNA) of the transcriptome. Results showed that RL promoted the rooting rate and root characteristics compared to WL. Anatomical observations demonstrated that root primordium was induced earlier by RL at the 4 DAI. RL positively affected IAA, ZT and GA content and negatively influenced ABA from the 4 to 16 DAI. RNA-seq and analysis of differential expression genes (DEGs) exhibited extensive variation in gene expression profiles between RL and WL. Meanwhile, the results of WGCNA and correlation analysis identified three highly correlated modules and hub genes mainly participated in 'response to hormone', 'cellular glucan metabolic progress', and 'response to auxin'. Furthermore, the proportion of transcription factors (TFs) such as ethylene response factor (), myeloblastosis (), basic helix-loop-helix (), and WRKYGQK () were the top four in DEGs. These results suggested that the AR-promoting potential of red light was due to complex hormone interactions in tea plants by regulating the expression of related genes. This study provided an important reference to shorten breeding cycles and accelerate superiority in tea plant propagation and preservation.

摘要

由于不定根(AR)的形成是茶树离体再生的重要组成部分,黄山苦茶()插条的繁殖和保存因其较低的生根率而受到阻碍。由于光是影响不定根形成的关键环境因素,本研究旨在探讨红光(RL)在黄山苦茶不定根形成中的特殊作用,而这一点尚未得到充分了解。在诱导处理36天后(DAI),用白光(对照,WL)和红光(660nm,RL)对黄山苦茶植株进行诱导,以研究不定根形成和发育的动态过程、解剖学观察、激素含量变化以及转录组的加权基因共表达网络分析(WGCNA)。结果表明,与白光相比,红光提高了生根率和根系特征。解剖学观察表明,在4 DAI时,红光更早地诱导了根原基的形成。从4到16 DAI,红光对IAA、ZT和GA含量有正向影响,对ABA有负向影响。RNA测序和差异表达基因(DEG)分析显示,红光和白光之间的基因表达谱存在广泛差异。同时,WGCNA和相关性分析的结果确定了三个高度相关的模块和枢纽基因,它们主要参与“激素反应”、“细胞葡聚糖代谢过程”和“生长素反应”。此外,乙烯反应因子()、成髓细胞瘤()、基本螺旋-环-螺旋()和WRKYGQK()等转录因子(TF)在差异表达基因中排名前四。这些结果表明,红光促进不定根形成的潜力是由于茶树中复杂的激素相互作用通过调节相关基因的表达实现的。本研究为缩短茶树育种周期、加速其繁殖和保存优势提供了重要参考。

https://cdn.ncbi.nlm.nih.gov/pmc/blobs/2d70/10070859/78352edfe1f5/fpls-14-1154169-g001.jpg

文献AI研究员

20分钟写一篇综述,助力文献阅读效率提升50倍。

立即体验

用中文搜PubMed

大模型驱动的PubMed中文搜索引擎

马上搜索

文档翻译

学术文献翻译模型,支持多种主流文档格式。

立即体验