Department of Translational Medical Science, University Federico II, 80131 Naples, Italy.
European Laboratory for Food Induced Diseases, University Federico II, 80131 Naples, Italy.
Int J Mol Sci. 2023 Apr 6;24(7):6836. doi: 10.3390/ijms24076836.
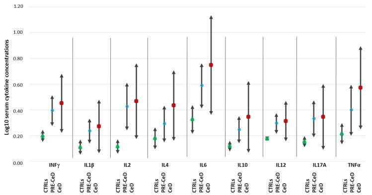
Immunological events that precede the development of villous atrophy in celiac disease (CeD) are still not completely understood. We aimed to explore CeD-associated antibody production (anti-native gliadin (AGA), anti-deamidated gliadin (DGP) and anti-tissue transglutaminase (anti-tTG)) in infants at genetic risk for CeD from the Italian cohorts of the PREVENT-CD and Neocel projects, as well as the relationship between antibody production and systemic inflammation. HLA DQ2 and/or DQ8 infants from families with a CeD case were followed from birth. Out of 220 at-risk children, 182 had not developed CeD by 6 years of age (CTRLs), and 38 developed celiac disease (CeD). The profiles of serum cytokines (INFγ, IL1β, IL2, IL4, IL6, IL10, IL12p70, IL17A and TNFα) and the expression of selected genes (FoxP3, IL10, TGFβ, INFγ, IL4 and IL2) were evaluated in 46 children (20 CeD and 26 CTRLs). Among the 182 healthy CTRLs, 28 (15.3%) produced high levels of AGA-IgA (AGA+CTRLs), and none developed anti-tTG-IgA or DGP-IgA, compared to 2/38 (5.3%) CeD infants (Chi Sq. 5.97, = 0.0014). AGAs appeared earlier in CTRLs than in those who developed CeD (19 vs. 28 months). Additionally, the production of AGAs in CeD overlapped with the production of DGP and anti-tTG. In addition, gene expression as well as serum cytokine levels discriminated children who developed CeD from CTRLs. In conclusion, these findings suggest that the early and isolated production of AGA-IgA antibodies is a CeD-tolerogenic marker and that changes in gene expression and cytokine patterns precede the appearance of anti-tTG antibodies.
在乳糜泻(CeD)发生绒毛萎缩之前的免疫事件仍不完全清楚。我们旨在探索意大利 PREVENT-CD 和 Neocel 项目的 CeD 相关抗体产生(抗天然麦谷蛋白(AGA)、抗脱酰胺麦谷蛋白(DGP)和抗组织转谷氨酰胺酶(抗 tTG))在具有 CeD 遗传风险的婴儿中的情况,以及抗体产生与全身炎症之间的关系。来自有 CeD 病例的家庭的 HLA DQ2 和/或 DQ8 婴儿从出生开始就被跟踪。在 220 名有风险的儿童中,182 名在 6 岁时没有发展为 CeD(对照组),38 名发展为乳糜泻。在 46 名儿童(20 名 CeD 和 26 名对照组)中评估了血清细胞因子(INFγ、IL1β、IL2、IL4、IL6、IL10、IL12p70、IL17A 和 TNFα)和选定基因(FoxP3、IL10、TGFβ、INFγ、IL4 和 IL2)的表达。在 182 名健康对照组中,28 名(15.3%)产生高水平的 AGA-IgA(AGA+对照组),而没有发展为抗 tTG-IgA 或 DGP-IgA,相比之下,38 名 CeD 婴儿中只有 2 名(5.3%)(卡方检验 5.97,=0.0014)。AGAs 在对照组中出现的时间早于那些发展为 CeD 的婴儿(19 个月 vs. 28 个月)。此外,CeD 患者 AGA 的产生与 DGP 和抗 tTG 的产生重叠。此外,基因表达以及血清细胞因子水平可区分发展为 CeD 的儿童和对照组。总之,这些发现表明,早期和孤立的 AGA-IgA 抗体产生是 CeD 耐受的标志物,并且基因表达和细胞因子模式的变化先于抗 tTG 抗体的出现。