Suppr超能文献

牛快肌纤维解偶联蛋白 1 表达的可能性。

Possibility of uncoupling protein 1 expression in bovine fast-twitch muscle fibers.

机构信息

Division of Applied Biosciences, Graduate School of Agriculture, Kyoto University, Kyoto, Japan.

Laboratory of Molecular Biology, Azabu University School of Veterinary Medicine, Kanagawa, Japan.

出版信息

J Vet Med Sci. 2023 Jun 1;85(6):587-591. doi: 10.1292/jvms.23-0057. Epub 2023 Apr 14.

Abstract

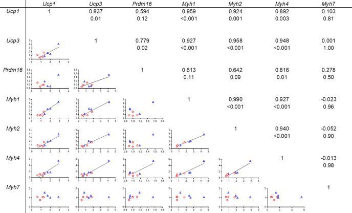
Uncoupling protein 1 (UCP1) is responsible for non-shivering thermogenesis in brown/beige adipocytes in humans and rodents. Previously, we showed unexpected expression of UCP1 in bovine skeletal muscles. Here we evaluated Ucp1 mRNA levels in the muscle tissue of Japanese Black steers. Expression of Ucp1 was higher in 30-month-old cattle than in 26-month-old cattle. Levels of myosin heavy chain (Myh)1, an MYH predominantly expressed in fast-twitch muscles, were also significantly higher in cattle aged 30 months. A similar tendency was observed in the expression of other Myhs that are highly expressed in fast-twitch muscles, Myh2 and Myh4. Ucp1 expression was positively correlated with expression of Myh1, Myh2, and Myh4. Our results indicate the possibility of Ucp1 expression in fast-twitch muscle fibers.

摘要

解偶联蛋白 1(UCP1)负责人类和啮齿动物棕色/米色脂肪细胞的非颤抖性产热。此前,我们发现牛骨骼肌中出人意料地表达了 UCP1。在这里,我们评估了日本黑牛肌肉组织中的 Ucp1 mRNA 水平。30 月龄牛的 Ucp1 表达高于 26 月龄牛。肌球蛋白重链(Myh)1 的水平也显著升高,Myh1 主要在快肌中表达。在其他在快肌中高度表达的 Myhs(Myh2 和 Myh4)的表达中也观察到了类似的趋势。Ucp1 的表达与 Myh1、Myh2 和 Myh4 的表达呈正相关。我们的结果表明 Ucp1 可能在快肌纤维中表达。

https://cdn.ncbi.nlm.nih.gov/pmc/blobs/4e75/10315545/6f24c7eb1d51/jvms-85-587-g001.jpg

文献AI研究员

20分钟写一篇综述,助力文献阅读效率提升50倍。

立即体验

用中文搜PubMed

大模型驱动的PubMed中文搜索引擎

马上搜索

文档翻译

学术文献翻译模型,支持多种主流文档格式。

立即体验