Suppr超能文献

台湾地区幼儿便秘与自闭症谱系障碍风险的关联:一项基于全国人群队列研究的真实世界证据

Association of early childhood constipation with the risk of autism spectrum disorder in Taiwan: Real-world evidence from a nationwide population-based cohort study.

作者信息

Lee Yi-Feng, Wu Meng-Che, Ma Kevin Sheng-Kai, Huang Jing-Yang, Wei James Cheng-Chung

机构信息

Division of Neonatology, Children's Medical Center, Taichung Veterans General Hospital, Taichung, Taiwan.

School of Medicine, Chung Shan Medical University, Taichung, Taiwan.

出版信息

Front Psychiatry. 2023 Mar 30;14:1116239. doi: 10.3389/fpsyt.2023.1116239. eCollection 2023.

Abstract

BACKGROUND

Autism spectrum disorder (ASD) is a neurodevelopmental problem that presents with limited interests, repetitive behaviors, and deficits in reciprocal communication and social interactions. Mounting evidence indicates that an imbalanced gut microbiota contributes to autism the gut-brain axis. Constipation may result in alteration of the gut microbiota. The clinical influence of constipation on ASD has not been fully researched. Thus, in this study we aimed to evaluate whether early childhood constipation influenced the risk of developing ASD using a nationwide population-based cohort study.

METHODS

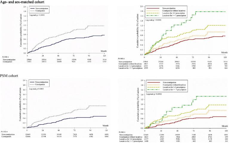
We identified 12,935 constipated children aged 3 years or younger from the National Health Insurance Research Database (NHIRD) in Taiwan from 1997 to 2013. Non-constipated children were also selected from the database and propensity score matching of age, gender, and underlying comorbidities was conducted with a ratio of 1:1. Kaplan-Meier analysis was applied to determine different levels of constipation severity and cumulative incidence of autism. Subgroup analysis was also applied in this study.

RESULTS

The incidence rate of ASD was 12.36 per 100,000 person-months in the constipation group, which was higher than the rate of 7.84 per 100,000 person-months noted in the non-constipation controls. Constipated children had a significantly higher risk of autism when compared to the non-constipation group (crude relative risk = 1.458, 95% CI = 1.116-1.904; adjusted hazard ratio = 1.445, 95% CI = 1.095-1.907).Moreover, among constipated children, a higher number of laxative prescriptions, male gender, constipation during infancy, and atopic dermatitis were significantly associated with higher risks of ASD when compared to the non-constipation group.

CONCLUSION

Constipation in early childhood was correlated with a significantly increased risk of ASD. Clinicians should pay attention to the possibility of ASD in constipated children. Further research is necessary to study the possible pathophysiological mechanisms of this association.

摘要

背景

自闭症谱系障碍(ASD)是一种神经发育问题,表现为兴趣有限、重复行为以及双向沟通和社交互动缺陷。越来越多的证据表明,肠道微生物群失衡通过肠-脑轴导致自闭症。便秘可能导致肠道微生物群改变。便秘对ASD的临床影响尚未得到充分研究。因此,在本研究中,我们旨在通过一项基于全国人群的队列研究,评估幼儿便秘是否会影响患ASD的风险。

方法

我们从台湾1997年至2013年的国民健康保险研究数据库(NHIRD)中识别出12935名3岁及以下的便秘儿童。也从该数据库中选择非便秘儿童,并按1:1的比例对年龄、性别和潜在合并症进行倾向评分匹配。采用Kaplan-Meier分析来确定不同程度的便秘严重程度和自闭症的累积发病率。本研究还进行了亚组分析。

结果

便秘组中ASD的发病率为每10万人月12.36例,高于非便秘对照组每10万人月7.84例的发病率。与非便秘组相比,便秘儿童患自闭症的风险显著更高(粗相对风险=1.458,95%CI=1.116-1.904;调整后风险比=1.445,95%CI=1.095-1.907)。此外,与非便秘组相比,在便秘儿童中,更高数量的泻药处方、男性、婴儿期便秘和特应性皮炎与患ASD的较高风险显著相关。

结论

幼儿便秘与ASD风险显著增加相关。临床医生应注意便秘儿童患ASD的可能性。有必要进一步研究这种关联的可能病理生理机制。

https://cdn.ncbi.nlm.nih.gov/pmc/blobs/6df5/10098334/7afa69d8427a/fpsyt-14-1116239-g001.jpg

文献AI研究员

20分钟写一篇综述,助力文献阅读效率提升50倍。

立即体验

用中文搜PubMed

大模型驱动的PubMed中文搜索引擎

马上搜索

文档翻译

学术文献翻译模型,支持多种主流文档格式。

立即体验