Suppr超能文献

在计算机网络环境中使用进化路由算法解决多商品流问题。

Solving the multicommodity flow problem using an evolutionary routing algorithm in a computer network environment.

机构信息

Department of Communications and Computer Engineering, University of Malta, Msida, Malta.

出版信息

PLoS One. 2023 Apr 19;18(4):e0278317. doi: 10.1371/journal.pone.0278317. eCollection 2023.

Abstract

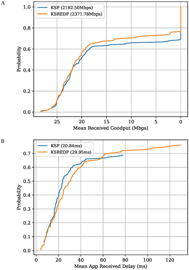
The continued increase in Internet traffic requires that routing algorithms make the best use of all available network resources. Most of the current deployed networks are not doing so due to their use of single path routing algorithms. In this work we propose the use of a multipath capable routing algorithm using Evolutionary Algorithms (EAs) that take into account all the traffic going over the network and the link capacities by leveraging the information available at the Software Defined Network (SDN) controller. The designed routing algorithm uses Per-Packet multipath routing to make the best use of the network's resources. Per-Packet multipath is known to have adverse affects when used with TCP, so we propose modifications to the Multipath TCP (MPTCP) protocol to overcome this. Network simulations are performed on a real world network model with 41 nodes and 60 bidirectional links. Results for the EA routing solution with the modified MPTCP protocol show a 29% increase in the total network Goodput, and a more than 50% average reduction in a flow's end-to-end delay, when compared to OSPF and standard TCP under the same network topology and flow request conditions.

摘要

互联网流量持续增长,要求路由算法充分利用所有可用的网络资源。由于当前大多数部署的网络使用单路径路由算法,因此无法做到这一点。在这项工作中,我们提出使用一种多路径路由算法,该算法使用进化算法 (EAs),通过利用软件定义网络 (SDN) 控制器中可用的信息,考虑网络上的所有流量和链路容量。设计的路由算法使用逐包多路径路由来充分利用网络资源。众所周知,逐包多路径在与 TCP 一起使用时会产生不利影响,因此我们提出修改多路径 TCP (MPTCP) 协议以克服这一问题。在具有 41 个节点和 60 个双向链路的真实网络模型上进行网络模拟。与相同网络拓扑和流量请求条件下的 OSPF 和标准 TCP 相比,修改后的 MPTCP 协议的 EA 路由解决方案的结果显示,总网络吞吐量增加了 29%,流的端到端延迟平均减少了 50%以上。

https://cdn.ncbi.nlm.nih.gov/pmc/blobs/3ee6/10115275/020fcec74752/pone.0278317.g001.jpg

文献检索

告别复杂PubMed语法,用中文像聊天一样搜索,搜遍4000万医学文献。AI智能推荐,让科研检索更轻松。

立即免费搜索

文件翻译

保留排版,准确专业,支持PDF/Word/PPT等文件格式,支持 12+语言互译。

免费翻译文档

深度研究

AI帮你快速写综述,25分钟生成高质量综述,智能提取关键信息,辅助科研写作。

立即免费体验