Suppr超能文献

看森林还是看树木取决于个性:来自全局/局部视觉搜索任务中过程沟通模型的证据。

Seeing the forest or the tree depends on personality: Evidence from process communication model during global/local visual search task.

机构信息

Psychologist, PCM Trainer, PCM R&D Projects, Croisy-sur-Eure, France.

Université de Rouen Normandie, UR7475, CRFDP, Rouen, France.

出版信息

PLoS One. 2023 Apr 21;18(4):e0284596. doi: 10.1371/journal.pone.0284596. eCollection 2023.

Abstract

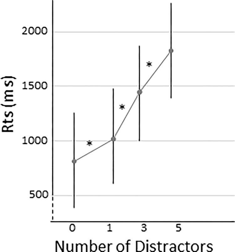
In everyday life, we are continuously confronted with multiple levels of visual information processes (e.g., global information, the forest, and local information, the tree) and we must select information that has to be processed. In the present study, we investigated the relation between personality and the ability to process global and local visual information. Global precedence phenomenon was assessed by a standard global/local visual search task used in many visuo-spatial precedent studies, and the 77 participants were also presented with the standard Process Communication Model (PCM) questionnaire. Results suggest that the ability to process global and local properties of visual stimuli varied according to the Base type of participants. Even if four among six Base types (Thinker, Persister, Harmonizer and Promoter) presented a classical global visual precedence, the two other Base types (Rebel and Imaginer) presented only an effect of distractors and an effect of global advantage, respectively. Taken together, these results evidenced that each human being does not equally perceive the "forest" (global information) and the "tree" (local information). Even if objectively presented with similar visual stimuli, individual responses differ according to the Base, an inter-individual variability that could be taken into account during daily life situations.

摘要

在日常生活中,我们不断面临着多层次的视觉信息处理(例如,全局信息、森林,以及局部信息、树木),我们必须选择要处理的信息。在本研究中,我们调查了人格与处理全局和局部视觉信息能力之间的关系。全局优先现象通过许多视空间优先研究中使用的标准全局/局部视觉搜索任务来评估,77 名参与者还接受了标准的过程沟通模型(PCM)问卷。结果表明,处理视觉刺激全局和局部属性的能力取决于参与者的基础类型。即使在六个基础类型中的四个(思考者、坚持者、调和者和促进者)呈现出经典的全局视觉优先,另外两个基础类型(叛逆者和想象者)分别只呈现出干扰效应和全局优势效应。总之,这些结果表明,每个人并不平等地感知“森林”(全局信息)和“树木”(局部信息)。即使客观地呈现出类似的视觉刺激,个体的反应也会因基础类型而异,这是一种个体间的可变性,在日常生活中可以考虑到这种可变性。

https://cdn.ncbi.nlm.nih.gov/pmc/blobs/fcd5/10121018/d9acacaba402/pone.0284596.g001.jpg

文献AI研究员

20分钟写一篇综述,助力文献阅读效率提升50倍。

立即体验

用中文搜PubMed

大模型驱动的PubMed中文搜索引擎

马上搜索

文档翻译

学术文献翻译模型,支持多种主流文档格式。

立即体验