Suppr超能文献

血清尿酸升高与肾功能正常成年人肾功能快速下降的相关性:中国乌鲁木齐的一项回顾性研究。

Correlation between the increase in serum uric acid and the rapid decline in kidney function in adults with normal kidney function: a retrospective study in Urumqi, China.

机构信息

Health Management Center, First Affiliated Hospital of Xinjiang Medical University, Urumqi, China.

Department of Cardiology, First Affiliated Hospital of Xinjiang Medical University, Urumqi, China.

出版信息

BMC Nephrol. 2023 Apr 21;24(1):103. doi: 10.1186/s12882-023-03151-z.

Abstract

BACKGROUND

To examine the association between elevated serum uric acid (SUA) levels and the rapid decline in kidney function by conducting a retrospective cohort study on a physically healthy population in Urumqi, China.

METHODS

A cohort study of 2,802 physically healthy people with a normal estimated glomerular filtration rate (eGFR) was investigated from 2018 to 2021. The examination procedure included using questionnaires, taking physical measurements, and blood sampling. The rapid decline in kidney function was defined as eGFR > 5 mL·min ·(1.73 m ) year. The relationship between elevated SUA levels and the rapid decline in kidney function was assessed.

RESULTS

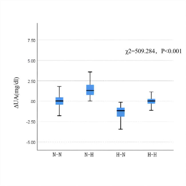
When performing the three-year retrospective analysis, 688 (28.55%) cases experienced a rapid decline in kidney function, and 52 (1.9%) cases developed chronic kidney disease (CKD). They were divided into the stable group and the rapidly declining kidney function group according to eGFR > 15 mL·min·(1.73 m ). The comparison revealed a greater increase in uric acid in the rapidly declining kidney function group [0.30 (-0.29, 0.82) mg/dL vs. - 0.07(-0.54, 0.37) mg/dL, Z = - 8.822, P < 0.001]. The participants were further divided into four groups according to their uric acid levels in 2018 and 2021, which included the normal to normal (N-N) group, the normal to hyperuricemia (HUA) (N-H) group, the HUA to normal (H-N) group, and the persistently HUA (H-H) group. The decrease in eGFR was significantly higher in the N-H group than in the other three groups (χ = 20.580, P < 0.001). The results of the multifactorial logistic regression analysis showed that elevated uric acid was a risk factor for the rapid decline in kidney function (OR = 1.640, P < 0.001).

CONCLUSION

Elevated SUA levels were a risk factor for the rapid decline in kidney function in the Chinese health examination population. Higher SUA levels might predict the occurrence of progressive kidney impairment.

摘要

背景

通过对中国乌鲁木齐地区的体检人群进行回顾性队列研究,探讨血清尿酸(SUA)水平升高与肾功能快速下降之间的关系。

方法

对 2018 年至 2021 年期间 2802 名身体状况良好、估算肾小球滤过率(eGFR)正常的人群进行了队列研究。检查程序包括问卷调查、体格测量和血液采样。肾功能快速下降定义为 eGFR>5 mL·min·(1.73 m ) 年。评估了升高的 SUA 水平与肾功能快速下降之间的关系。

结果

进行三年回顾性分析时,688 例(28.55%)发生肾功能快速下降,52 例(1.9%)发生慢性肾脏病(CKD)。根据 eGFR>15 mL·min·(1.73 m ) ,他们被分为稳定组和肾功能快速下降组。比较发现肾功能快速下降组尿酸升高更为明显[0.30(-0.29,0.82)mg/dL 比-0.07(-0.54,0.37)mg/dL,Z=-8.822,P<0.001]。根据 2018 年和 2021 年的尿酸水平,将参与者进一步分为四组,包括正常至正常(N-N)组、正常至高尿酸血症(HUA)(N-H)组、HUA 至正常(H-N)组和持续 HUA(H-H)组。与其他三组相比,N-H 组 eGFR 的下降更为显著(χ²=20.580,P<0.001)。多因素逻辑回归分析结果显示,尿酸升高是肾功能快速下降的危险因素(OR=1.640,P<0.001)。

结论

在我国健康体检人群中,SUA 水平升高是肾功能快速下降的危险因素。较高的 SUA 水平可能预示着进行性肾损害的发生。

https://cdn.ncbi.nlm.nih.gov/pmc/blobs/4826/10122314/93ea444e0509/12882_2023_3151_Fig2_HTML.jpg

文献AI研究员

20分钟写一篇综述,助力文献阅读效率提升50倍。

立即体验

用中文搜PubMed

大模型驱动的PubMed中文搜索引擎

马上搜索

文档翻译

学术文献翻译模型,支持多种主流文档格式。

立即体验