Suppr超能文献

基于一锅法直接金刚烷基包含的 1,3-二取代脲的合成及性质。

Synthesis and Properties of 1,3-Disubstituted Ureas Containing (Adamantan-1-yl)(phenyl)methyl Fragment Based on One-Pot Direct Adamantane Moiety Inclusion.

机构信息

Department of Technology of Organic and Petrochemical Synthesis, Volgograd State Technical University (VSTU), 28 Lenin Avenue, Volgograd 400005, Russia.

Volzhsky Polytechnic Institute (Branch), Volgograd State Technical University (VSTU), 42a Engels Street, Volzhsky 404121, Russia.

出版信息

Molecules. 2023 Apr 19;28(8):3577. doi: 10.3390/molecules28083577.

Abstract

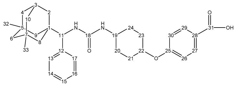
A one-stage method for the preparation of 1-[isocyanato(phenyl)methyl]adamantane containing a phenylmethylene fragment located between the adamantane fragment and the isocyanate group, and 1-[isocyanato(phenyl)methyl]-3,5-dimethyladamantane with additional methyl groups at the nodal positions of adamantane, with a yield of 95% and 89%, respectively, is described. The method includes the direct inclusion of an adamantane moiety through the reaction of phenylacetic acid ethyl ester with 1,3-dehydroadamantane or 3,5-dimethyl-1,3-dehydroadamantane followed by the hydrolysis of the obtained esters. The reaction of 1-[isocyanato(phenyl)methyl]adamantane with fluorine(chlorine)-containing anilines gave a series of 1,3-disubstituted ureas with 25-85% yield. 1-[Isocyanato(phenyl)methyl]-3,5-dimethyladamantane was involved in the reactions with fluorine(chlorine)-containing anilines and trans-4-amino-(cyclohexyloxy)benzoic acid to obtain another series of ureas with a yield of 29-74%. The resulting 1,3-disubstituted ureas are promising inhibitors of the human soluble epoxide hydrolase (hsEH).

摘要

一种一步法制备了含有苯亚甲基片段的 1-[异氰酸基(苯基)甲基]金刚烷,该片段位于金刚烷片段和异氰酸基团之间,以及在金刚烷的节点位置额外含有甲基的 1-[异氰酸基(苯基)甲基]-3,5-二甲基金刚烷,产率分别为 95%和 89%。该方法包括通过苯基乙酸乙酯与 1,3-去氢金刚烷或 3,5-二甲基-1,3-去氢金刚烷的直接加成反应,随后水解得到的酯,从而引入金刚烷部分。1-[异氰酸基(苯基)甲基]金刚烷与含氟(氯)苯胺的反应得到了一系列产率为 25-85%的 1,3-二取代脲。1-[异氰酸基(苯基)甲基]-3,5-二甲基金刚烷与含氟(氯)苯胺和反式-4-氨基-(环己氧基)苯甲酸的反应得到了另一系列产率为 29-74%的脲。所得的 1,3-二取代脲是有前途的人可溶性环氧合酶水解酶(hsEH)抑制剂。

https://cdn.ncbi.nlm.nih.gov/pmc/blobs/be9c/10143370/c1bcc675d574/molecules-28-03577-sch001.jpg

文献AI研究员

20分钟写一篇综述,助力文献阅读效率提升50倍。

立即体验

用中文搜PubMed

大模型驱动的PubMed中文搜索引擎

马上搜索

文档翻译

学术文献翻译模型,支持多种主流文档格式。

立即体验