Suppr超能文献

基于 DTG 的抗逆转录病毒疗法的疗效、便利性、安全性和持久性:来自意大利 MaSTER 队列前瞻性研究的证据。

Efficacy, Convenience, Safety and Durability of DTG-Based Antiretroviral Therapies: Evidence from a Prospective Study by the Italian MaSTER Cohort.

机构信息

Infectious Diseases Unit, Department of Medical and Surgical Sciences, "Magna Graecia" University, 88100 Catanzaro, Italy.

University Division of Infectious and Tropical Diseases, University of Brescia and Brescia ASST Spedali Civili Hospital, 25123 Brescia, Italy.

出版信息

Viruses. 2023 Apr 6;15(4):924. doi: 10.3390/v15040924.

Abstract

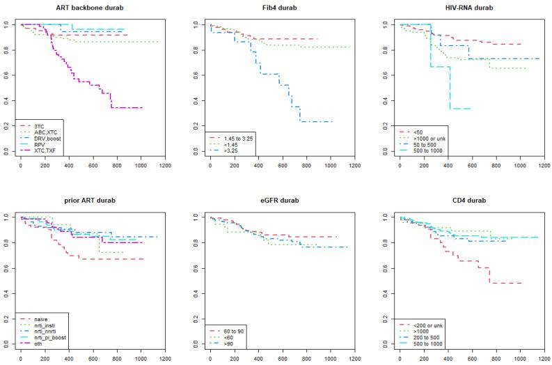
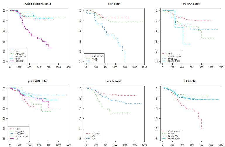
: Dolutegravir (DTG) is recommended by international guidelines as a main component of an optimal initial regimen of cART (combination antiretroviral treatment) in people living with HIV (PLWH) and in case of switching for failure or optimization strategies. However, studies on the performance of DTG-containing regimens and indications for switching therapies in the long term are sparse. The purpose of this study was to evaluate prospectively the performance of DTG-based regimens, using the metrics of "efficacy", "safety", "convenience" and ''durability'', among a nationally representative cohort of PLWH in Italy. : We selected all PLWH in four centers of the MaSTER cohort who initiated a DTG-based regimen either when naïve or following a regimen switch between 11 July 2018 and 2 July 2021. Participants were followed until the outcomes were recorded or until the end of the study on 4 August 2022, whichever occurred first. Interruption was reported even when a participant switched to another DTG-containing regimen. Survival regression models were fitted to evaluate associations between therapy performance and age, sex, nationality, risk of HIV transmission, HIV RNA suppression status, CD4+ T-cell count, year of HIV diagnosis, cART status (naïve or experienced), cART backbone and viral hepatitis coinfection. : There were 371 participants in our cohort who initiated a DTG-based cART regimen in the time frame of the study. The population was predominantly male (75.2%), of Italian nationality (83.3%), with a history of cART use (80.9%), and the majority initiated a DTG-based regimen following a switch strategy in 2019 (80.1%). Median age was 53 years (interquartile range (IQR): 45-58). Prior cART regimen was based mostly on a combination of NRTI drugs plus a PI-boosted drug (34.2%), followed by a combination of NRTIs plus an NNRTI (23.5%). Concerning the NRTI backbone, the majority comprised 3TC plus ABC (34.5%), followed by 3TC alone (28.6%). The most reported transmission risk factor was heterosexual intercourse (44.2%). Total interruptions of the first DTG-based regimen were registered in 58 (15.6%) participants. The most frequent reason for interruption was due to cART simplification strategies, which accounted for 52%. Only 1 death was reported during the study period. The median time of total follow-up was 556 days (IQR: 316.5-722.5). Risk factors for poor performance of DTG-containing-regimens were found to be: a backbone regimen containing tenofovir, being cART naïve, having detectable HIV RNA at baseline, FIB-4 score above 3.25 and having a cancer diagnosis. By contrast, protective factors were found to be: higher CD4+ T-cell counts and higher CD4/CD8 ratio at baseline. DTG-based regimens were used mainly as a switching therapy in our cohort of PLWH who had undetectable HIV RNA and a good immune status. In this type of population, the durability of DTG-based regimens was maintained in 84.4% of participants with a modest incidence of interruptions mostly due to cART simplification strategies. The results of this prospective real-life study confirm the apparent low risk of changing DTG-containing regimens due to virological failure. They may also help physicians to identify people with increased risk of interruption for different reasons, suggesting targeted medical interventions.

摘要

多替拉韦(DTG)被国际指南推荐作为 HIV 感染者(PLWH)接受最佳初始 cART(联合抗逆转录病毒治疗)方案的主要组成部分,也推荐用于治疗失败或优化治疗策略时的转换。然而,关于包含 DTG 的方案的性能和长期转换治疗的适应证的研究仍然很少。本研究旨在通过意大利全国代表性的 PLWH 队列前瞻性评估基于 DTG 的方案的疗效、安全性、便利性和耐久性等方面的表现。

我们选择了 MaSTER 队列的四个中心在 2018 年 7 月 11 日至 2021 年 7 月 2 日期间首次使用 DTG 方案或方案转换后开始使用 DTG 方案的所有 PLWH。参与者被随访至记录到结局或截至 2022 年 8 月 4 日研究结束,以先发生者为准。即使参与者转换为另一种含 DTG 的方案,也报告了中断。我们使用生存回归模型来评估治疗方案表现与年龄、性别、国籍、HIV 传播风险、HIV RNA 抑制状态、CD4+ T 细胞计数、HIV 诊断年份、cART 状态(初治或经验治疗)、cART 骨架和病毒性肝炎合并感染之间的关联。

在我们的队列中有 371 名参与者在研究期间开始了基于 DTG 的 cART 方案。该人群主要为男性(75.2%),意大利国籍(83.3%),有 cART 使用史(80.9%),大多数人在 2019 年开始了基于 DTG 的方案转换策略(80.1%)。中位年龄为 53 岁(四分位距(IQR):45-58)。先前的 cART 方案主要基于 NRTI 药物联合 PI 增强药物(34.2%)或 NRTIs 联合 NNRTI(23.5%)。关于 NRTI 骨架,大部分包含 3TC 加 ABC(34.5%),其次是 3TC 单药(28.6%)。最常见的传播风险因素是异性性接触(44.2%)。在 58 名(15.6%)参与者中记录了首次基于 DTG 的方案的总中断。中断的最常见原因是 cART 简化策略,占 52%。研究期间仅报告了 1 例死亡。总随访时间的中位数为 556 天(IQR:316.5-722.5)。发现包含替诺福韦的骨架方案、cART 初治、基线时 HIV RNA 可检测、FIB-4 评分高于 3.25 和有癌症诊断是 DTG 方案性能不良的风险因素。相反,较高的 CD4+ T 细胞计数和基线时较高的 CD4/CD8 比值是保护因素。

在我们的 PLWH 队列中,DTG 方案主要用作可检测到 HIV RNA 和良好免疫状态的转换治疗。在这种人群中,基于 DTG 的方案的持久性在 84.4%的参与者中得以维持,中断的发生率适中,主要是由于 cART 简化策略。这项前瞻性真实世界研究的结果证实了由于病毒学失败而改变包含 DTG 的方案的风险似乎较低。它们还可以帮助医生识别因不同原因中断风险增加的患者,从而建议进行针对性的医疗干预。

https://cdn.ncbi.nlm.nih.gov/pmc/blobs/24bc/10145592/004ddf64f101/viruses-15-00924-g001.jpg

文献AI研究员

20分钟写一篇综述,助力文献阅读效率提升50倍。

立即体验

用中文搜PubMed

大模型驱动的PubMed中文搜索引擎

马上搜索

文档翻译

学术文献翻译模型,支持多种主流文档格式。

立即体验