• 文献检索
  • 文档翻译
  • 深度研究
  • 学术资讯
  • Suppr Zotero 插件Zotero 插件
  • 邀请有礼
  • 套餐&价格
  • 历史记录
应用&插件
Suppr Zotero 插件Zotero 插件浏览器插件Mac 客户端Windows 客户端微信小程序
定价
高级版会员购买积分包购买API积分包
服务
文献检索文档翻译深度研究API 文档MCP 服务
关于我们
关于 Suppr公司介绍联系我们用户协议隐私条款
关注我们

Suppr 超能文献

核心技术专利:CN118964589B侵权必究
粤ICP备2023148730 号-1Suppr @ 2026

文献检索

告别复杂PubMed语法,用中文像聊天一样搜索,搜遍4000万医学文献。AI智能推荐,让科研检索更轻松。

立即免费搜索

文件翻译

保留排版,准确专业,支持PDF/Word/PPT等文件格式,支持 12+语言互译。

免费翻译文档

深度研究

AI帮你快速写综述,25分钟生成高质量综述,智能提取关键信息,辅助科研写作。

立即免费体验

阿片生物碱、生物合成、药理学及其与癌症发生的关系。

Opium alkaloids, biosynthesis, pharmacology and association with cancer occurrence.

机构信息

School of Bioengineering and Biosciences, Lovely Professional University, Phagwara 144411, India.

School of chemical engineering and Physical sciences, Lovely Professional University, Phagwara 144411, India.

出版信息

Open Biol. 2023 May;13(5):220355. doi: 10.1098/rsob.220355. Epub 2023 May 3.

DOI:10.1098/rsob.220355
PMID:37132222
原文链接:https://pmc.ncbi.nlm.nih.gov/articles/PMC10154933/
Abstract

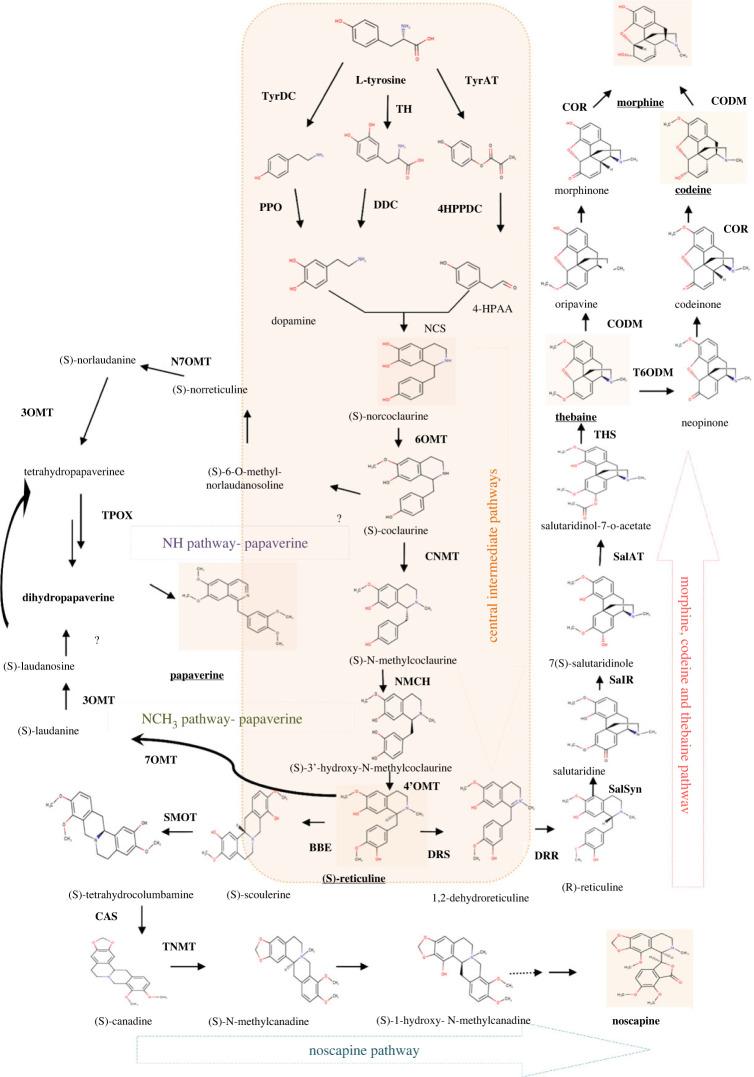
L. (Family: Papaveraceae) is a species well known for its diverse alkaloids (100 different benzylisoquinoline alkaloids (BIAs)). L-tyrosine serves as a precursor of several specific metabolites like BIAs. It has been used as an antitussive and potent analgesic to alleviate mild to extreme pain since ancient times. The extraction of pharmaceutically important alkaloids like morphine and codeine from poppy plant reflects the need for the most suitable and standard methods. Several analytical and extraction techniques have been reported in open literature for morphine, codeine and other important alkaloids which play a vital function in drug development and drug discovery. Many studies suggest that opioids are also responsible for adverse effects or secondary complications like dependence and withdrawal. In recent years, opium consumption and addiction are the most important risk factors. Many evidence-based reviews suggest that opium consumption is directly linked or acts as a risk factor for different cancers. In this review, we highlight significant efforts related to research which have been done over the past 5 decades and the complete information on including its phytochemistry, pharmacological actions, biosynthetic pathways and analytical techniques of opium alkaloid extraction and the link between opium consumption and cancer-related updates.

摘要

罂粟(家族:罂粟科)是一种以其多样化的生物碱(100 种不同的苄基异喹啉生物碱(BIAs))而闻名的物种。L-酪氨酸是几种特定代谢物(如 BIAs)的前体。自古以来,它就被用作镇咳药和强效镇痛药,以缓解轻度至重度疼痛。从罂粟植物中提取具有药用价值的生物碱,如吗啡和可待因,反映了对最合适和标准方法的需求。在公开文献中,已有报道称有几种分析和提取技术可用于提取吗啡、可待因和其他在药物开发和药物发现中起重要作用的重要生物碱。许多研究表明,阿片类药物也会导致不良反应或继发性并发症,如依赖和戒断。近年来,鸦片消费和成瘾是最重要的风险因素。许多基于证据的综述表明,鸦片消费与不同癌症之间存在直接联系或作为风险因素。在这篇综述中,我们强调了过去 50 年来与研究相关的重要努力,以及有关鸦片生物碱提取的植物化学、药理学作用、生物合成途径和分析技术以及鸦片消费与癌症相关更新之间的完整信息。

https://cdn.ncbi.nlm.nih.gov/pmc/blobs/2b70/10154933/feb4a884301e/rsob220355f03.jpg
https://cdn.ncbi.nlm.nih.gov/pmc/blobs/2b70/10154933/a0c877898468/rsob220355f01.jpg
https://cdn.ncbi.nlm.nih.gov/pmc/blobs/2b70/10154933/c3ab90dbd46b/rsob220355f02.jpg
https://cdn.ncbi.nlm.nih.gov/pmc/blobs/2b70/10154933/feb4a884301e/rsob220355f03.jpg
https://cdn.ncbi.nlm.nih.gov/pmc/blobs/2b70/10154933/a0c877898468/rsob220355f01.jpg
https://cdn.ncbi.nlm.nih.gov/pmc/blobs/2b70/10154933/c3ab90dbd46b/rsob220355f02.jpg
https://cdn.ncbi.nlm.nih.gov/pmc/blobs/2b70/10154933/feb4a884301e/rsob220355f03.jpg

相似文献

1
Opium alkaloids, biosynthesis, pharmacology and association with cancer occurrence.阿片生物碱、生物合成、药理学及其与癌症发生的关系。
Open Biol. 2023 May;13(5):220355. doi: 10.1098/rsob.220355. Epub 2023 May 3.
2
Benzylisoquinoline alkaloid biosynthesis in opium poppy.罂粟中苄基异喹啉生物碱的生物合成。
Planta. 2014 Jul;240(1):19-32. doi: 10.1007/s00425-014-2056-8. Epub 2014 Mar 27.
3
Phloem-specific localization of benzylisoquinoline alkaloid metabolism in opium poppy.在罂粟中苯乙异喹啉生物碱代谢的韧皮部特异性定位。
J Plant Physiol. 2022 Apr;271:153641. doi: 10.1016/j.jplph.2022.153641. Epub 2022 Feb 16.
4
Integration of deep transcriptome and proteome analyses reveals the components of alkaloid metabolism in opium poppy cell cultures.深度转录组和蛋白质组分析的整合揭示了罂粟细胞培养物中生物碱代谢的成分。
BMC Plant Biol. 2010 Nov 18;10:252. doi: 10.1186/1471-2229-10-252.
5
Inhibition of phospholipases influences the metabolism of wound-induced benzylisoquinoline alkaloids in Papaver somniferum L.抑制磷脂酶影响罂粟中创伤诱导的苄基异喹啉生物碱的代谢。
J Plant Physiol. 2018 Apr;223:1-8. doi: 10.1016/j.jplph.2018.01.007. Epub 2018 Jan 31.
6
The roles of latex and the vascular bundle in morphine biosynthesis in the opium poppy, Papaver somniferum.乳胶和维管束在罂粟(Papaver somniferum)吗啡生物合成中的作用。
Proc Natl Acad Sci U S A. 2004 Sep 21;101(38):13957-62. doi: 10.1073/pnas.0405704101. Epub 2004 Sep 7.
7
Comparative analysis of transcription factor gene families from Papaver somniferum: identification of regulatory factors involved in benzylisoquinoline alkaloid biosynthesis.罂粟转录因子基因家族的比较分析:参与苄基异喹啉生物碱生物合成的调控因子鉴定
Protoplasma. 2016 May;253(3):857-871. doi: 10.1007/s00709-015-0848-8. Epub 2015 Jun 25.
8
Benzylisoquinoline alkaloid metabolism: a century of discovery and a brave new world.苯并异喹啉生物碱代谢:一个世纪的发现和一个崭新的世界。
Plant Cell Physiol. 2013 May;54(5):647-72. doi: 10.1093/pcp/pct020. Epub 2013 Feb 5.
9
Silencing nature's narcotics: metabolic engineering of the opium poppy.沉默自然的麻醉剂:罂粟的代谢工程
Trends Biotechnol. 2005 Jul;23(7):331-3. doi: 10.1016/j.tibtech.2005.05.001.
10
Tyrosine aminotransferase contributes to benzylisoquinoline alkaloid biosynthesis in opium poppy.酪氨酸转氨酶有助于罂粟中苄基异喹啉生物碱的生物合成。
Plant Physiol. 2011 Nov;157(3):1067-78. doi: 10.1104/pp.111.185512. Epub 2011 Sep 23.

引用本文的文献

1
Topical Delivery Systems for Plant-Derived Antimicrobial Agents: A Review of Current Advances.植物源抗菌剂的局部给药系统:当前进展综述
Int J Biomater. 2025 Jul 27;2025:4251091. doi: 10.1155/ijbm/4251091. eCollection 2025.
2
Rapid and cost-effective colorimetric detection of alkaloids in botanical extracts using a novel protocol with compressed tablets.使用含压缩片剂的新方法对植物提取物中的生物碱进行快速且经济高效的比色检测。
Sci Rep. 2025 Jul 20;15(1):26332. doi: 10.1038/s41598-025-11907-w.
3
Emerging paradigms for target discovery of traditional medicines: A genome-wide pan-GPCR perspective.

本文引用的文献

1
Interleukin-33 and Soluble ST2 as Potential Biomarkers of Cancer in Opium Users: A Nested Case-Control Study.白细胞介素-33 和可溶性 ST2 作为阿片类药物使用者癌症的潜在生物标志物:一项巢式病例对照研究。
Iran J Med Sci. 2022 Nov;47(6):541-548. doi: 10.30476/IJMS.2021.92335.2360.
2
The Biological Relevance of Papaverine in Cancer Cells.罂粟碱在癌细胞中的生物学相关性。
Cells. 2022 Oct 26;11(21):3385. doi: 10.3390/cells11213385.
3
Opium Use and Cancer Risk: A Comprehensive Systematic Review and Meta-Analysis of Observational Studies.鸦片类物质使用与癌症风险:观察性研究的综合系统评价和荟萃分析。
传统药物靶点发现的新兴模式:全基因组泛G蛋白偶联受体视角
Innovation (Camb). 2025 Jan 17;6(3):100774. doi: 10.1016/j.xinn.2024.100774. eCollection 2025 Mar 3.
4
Exploring Chemical Composition, Antioxidant, Enzyme Inhibitory and Cytotoxic Properties of Hausskn. & Bornm. from Turkey Flora: A Novel Source of Bioactive Agents to Design Functional Applications.探索土耳其植物区系中豪斯克恩和博恩姆植物的化学成分、抗氧化、酶抑制和细胞毒性特性:一种设计功能应用的生物活性剂新来源。
Antioxidants (Basel). 2024 May 25;13(6):643. doi: 10.3390/antiox13060643.
5
From Plant to Chemistry: Sources of Antinociceptive Non-Opioid Active Principles for Medicinal Chemistry and Drug Design.从植物到化学:用于药物化学和药物设计的具有抗伤害感受活性的非阿片类活性化合物的来源。
Molecules. 2024 Feb 9;29(4):815. doi: 10.3390/molecules29040815.
6
Involvement of the Opioid Peptide Family in Cancer Progression.阿片肽家族在癌症进展中的作用
Biomedicines. 2023 Jul 14;11(7):1993. doi: 10.3390/biomedicines11071993.
Int J Clin Pract. 2022 Feb 18;2022:5397449. doi: 10.1155/2022/5397449. eCollection 2022.
4
Phloem-specific localization of benzylisoquinoline alkaloid metabolism in opium poppy.在罂粟中苯乙异喹啉生物碱代谢的韧皮部特异性定位。
J Plant Physiol. 2022 Apr;271:153641. doi: 10.1016/j.jplph.2022.153641. Epub 2022 Feb 16.
5
Does Opium Consumption Have Shared Impact on Atherosclerotic Cardiovascular Disease and Cancer?鸦片吸食对动脉粥样硬化性心血管疾病和癌症有共同影响吗?
Arch Iran Med. 2022 Jan 1;25(1):50-63. doi: 10.34172/aim.2022.08.
6
Opium Use and the Risk of Cataract: a Hospital-based, Group-matched, Case-control Study in Iran.鸦片使用与白内障风险:伊朗基于医院的、分组匹配的病例对照研究。
Ophthalmic Epidemiol. 2023 Feb;30(1):66-73. doi: 10.1080/09286586.2022.2028296. Epub 2022 Jan 26.
7
Micronization of Thebaine Extracted from Papaver bracteatum Lindl. Using Supercritical Fluid Technology.采用超临界流体技术对从紫罂粟中提取的蒂巴因进行微粉化处理。
J AOAC Int. 2022 Mar 15;105(2):593-602. doi: 10.1093/jaoacint/qsab118.
8
Opium Usage and Risk of Head and Neck Cancer: A Systematic Review and Meta-Analysis.鸦片类药物使用与头颈部癌症风险:系统评价和荟萃分析。
Asian Pac J Cancer Prev. 2021 Mar 1;22(3):661-670. doi: 10.31557/APJCP.2021.22.3.661.
9
Determination of morphine and oxymorphone in exhaled breath condensate samples: Application of microwave enhanced three-component deep eutectic solvent-based air-assisted liquid-liquid microextraction and derivatization prior to gas chromatography-mass spectrometry.测定呼出气冷凝物样品中的吗啡和羟吗啡:应用微波增强的三元深共晶溶剂辅助气液微萃取和衍生化,然后进行气相色谱-质谱分析。
J Chromatogr B Analyt Technol Biomed Life Sci. 2020 Sep 1;1152:122256. doi: 10.1016/j.jchromb.2020.122256. Epub 2020 Jun 25.
10
American Civil War medical practice, the post-bellum opium crisis and modern comparisons.美国内战时期的医疗实践、战后鸦片危机及现代比较。
Hist Psychiatry. 2020 Dec;31(4):483-494. doi: 10.1177/0957154X20946304. Epub 2020 Aug 2.