Suppr超能文献

猪血细胞和脑组织能量代谢:“早期生活应激”的影响

Porcine blood cell and brain tissue energy metabolism: Effects of "early life stress".

作者信息

Münz Franziska, Wolfschmitt Eva-Maria, Zink Fabian, Abele Nadja, Hogg Melanie, Hoffmann Andrea, Gröger Michael, Calzia Enrico, Waller Christiane, Radermacher Peter, Merz Tamara

机构信息

Institute for Anesthesiological Pathophysiology and Process Engineering, Ulm University Medical Center, Ulm, Germany.

Clinic for Anesthesiology and Intensive Care, Ulm University Medical Center, Ulm, Germany.

出版信息

Front Mol Biosci. 2023 Apr 17;10:1113570. doi: 10.3389/fmolb.2023.1113570. eCollection 2023.

Abstract

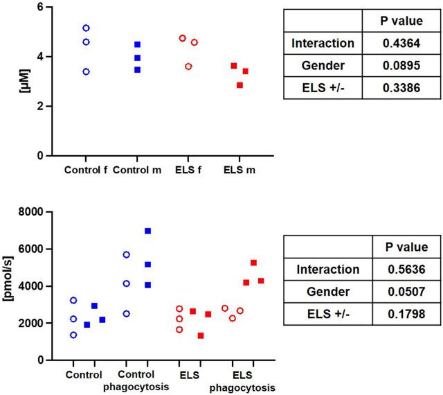
Early Life Stress (ELS) may exert long-lasting biological effects, e.g., on PBMC energy metabolism and mitochondrial respiration. Data on its effect on brain tissue mitochondrial respiration is scarce, and it is unclear whether blood cell mitochondrial activity mirrors that of brain tissue. This study investigated blood immune cell and brain tissue mitochondrial respiratory activity in a porcine ELS model. This prospective randomized, controlled, animal investigation comprised 12 German Large White swine of either sex, which were weaned at PND (postnatal day) 28-35 (control) or PND21 (ELS). At 20-24 weeks, animals were anesthetized, mechanically ventilated and surgically instrumented. We determined serum hormone, cytokine, and "brain injury marker" levels, superoxide anion (O ¯) formation and mitochondrial respiration in isolated immune cells and immediate frontal cortex brain tissue. ELS animals presented with higher glucose levels, lower mean arterial pressure. Most determined serum factors did not differ. In male controls, TNFα and IL-10 levels were both higher than in female controls as well as, no matter the gender in ELS animals. MAP-2, GFAP, and NSE were also higher in male controls than in the other three groups. Neither PBMC routine respiration and brain tissue oxidative phosphorylation nor maximal electron transfer capacity in the uncoupled state (ETC) showed any difference between ELS and controls. There was no significant relation between brain tissue and PBMC, ETC, or brain tissue, ETC, and PBMC bioenergetic health index. Whole blood O ¯ concentrations and PBMC O ¯ production were comparable between groups. However, granulocyte O ¯ production after stimulation with was lower in the ELS group, and this effect was sex-specific: increased O ¯ production increased upon stimulation in all control animals, which was abolished in the female ELS swine. This study provides evidence that ELS ) may, gender-specifically, affect the immune response to general anesthesia as well as O ¯ radical production at sexual maturity, ) has limited effects on brain and peripheral blood immune cell mitochondrial respiratory activity, and ) mitochondrial respiratory activity of peripheral blood immune cells and brain tissue do not correlate.

摘要

早年生活应激(ELS)可能会产生持久的生物学效应,例如对外周血单核细胞(PBMC)能量代谢和线粒体呼吸的影响。关于其对脑组织线粒体呼吸影响的数据很少,并且尚不清楚血细胞线粒体活性是否反映脑组织的线粒体活性。本研究在猪ELS模型中调查了血液免疫细胞和脑组织的线粒体呼吸活性。 这项前瞻性随机对照动物研究包括12头不同性别的德国大白猪,它们在出生后第28 - 35天(对照组)或第21天(ELS组)断奶。在20 - 24周时,对动物进行麻醉、机械通气并进行手术插管。我们测定了血清激素、细胞因子和“脑损伤标志物”水平、超氧阴离子(O¯)的形成以及分离的免疫细胞和额叶皮质脑组织中的线粒体呼吸。ELS组动物血糖水平较高,平均动脉压较低。大多数测定的血清因子没有差异。在雄性对照组中,肿瘤坏死因子α(TNFα)和白细胞介素10(IL - 10)水平均高于雌性对照组,并且在ELS组动物中,无论性别如何均是如此。微管相关蛋白2(MAP - 2)、胶质纤维酸性蛋白(GFAP)和神经元特异性烯醇化酶(NSE)在雄性对照组中也高于其他三组。ELS组和对照组之间,PBMC常规呼吸、脑组织氧化磷酸化以及解偶联状态下的最大电子传递能力(ETC)均未显示出任何差异。脑组织与PBMC、ETC之间,或脑组织、ETC与PBMC生物能量健康指数之间均无显著关系。各组之间全血O¯浓度和PBMC的O¯产生相当。然而,ELS组中用 刺激后粒细胞的O¯产生较低,并且这种效应具有性别特异性:在所有对照动物中,刺激后O¯产生增加,而在雌性ELS猪中这种增加被消除。本研究提供的证据表明,ELS)可能会按性别特异性地影响对全身麻醉的免疫反应以及性成熟时O¯自由基的产生,)对脑和外周血免疫细胞线粒体呼吸活性的影响有限,并且)外周血免疫细胞和脑组织的线粒体呼吸活性不相关。

https://cdn.ncbi.nlm.nih.gov/pmc/blobs/ad9c/10150084/93ee3bac9ea4/fmolb-10-1113570-g001.jpg

文献AI研究员

20分钟写一篇综述,助力文献阅读效率提升50倍。

立即体验

用中文搜PubMed

大模型驱动的PubMed中文搜索引擎

马上搜索

文档翻译

学术文献翻译模型,支持多种主流文档格式。

立即体验